Numerical Simulation of Multifracture Growth under Extremely Limited Entry Fracturing of Horizontal Well
Abstract
1. Introduction
2. Mathematical Model
2.1. Governing Equations
2.1.1. Elasticity
2.1.2. Fluid Flow in a Fracture
2.1.3. Wellbore Conditions
2.2. Initial Boundary Condition
3. Numerical Scheme
4. Results and Analysis of a Field Well
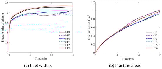
4.1. Base Case
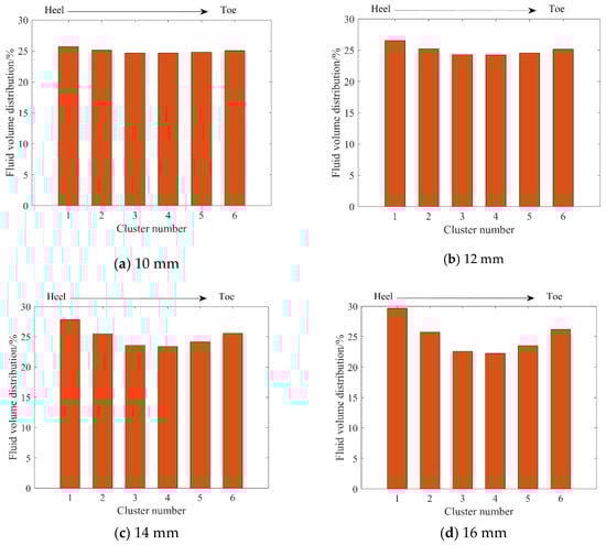
4.2. Effect of Perforation Diameter
4.3. Fracture Toughness Heterogeneity of Perforated Sections
4.4. Heterogeneous In Situ Stress of the Perforated Section
4.5. Therotiecal Analysis of Fluid Allocation among Multiple Fractures
5. Conclusions
- (1)
- The perforation friction in extremely limited entry fracturing of up to 5–6 MPa can counteract the difference in fluid allocation between fracture clusters caused by stress interference, resulting in an even fluid allocation between different clusters of perforations.
- (2)
- The path of hydraulic fracture reflects the principle of least action. In other words, fractures automatically grow along paths with the least resistance. Although fluid allocation between different fracture clusters in extremely limited entry fracturing is quite even, fractures of different clusters vary widely in geometry. The in situ stress profile and 3D fracture stress interference are the major factors affecting the patterns of fractures; fractures of the middle clusters could cross layers, causing the effective fracture area within the pay zone to decrease.
- (3)
- With an increase in perforation diameter, the flow limiting effect decreases, and the fluid allocation between clusters of fractures becomes less uniform.
- (4)
- The fracture toughness difference in a perforated section has little effect on the fluid allocation between different clusters of fractures in the section. In contrast, the stress distribution in a perforated section significantly affects the fluid allocation between the clusters of perforations. Fractures preferentially extend at perforation clusters with lower in situ stress and stress interference.
- (5)
- The reasonable perforation erosion model should be investigated to further analyze the effectiveness of ELE fracturing in future studies.
Author Contributions
Funding
Data Availability Statement
Conflicts of Interest
References
- King, G. Thirty Years of Gas Shale Fracturing: What Have We Learned? In Proceedings of the Presented at the SPE Annual Technical Conference and Exhibition, Florence, Italy, 19–22 September 2010. SPE-133456-MS. [Google Scholar]
- Guo, T.; Zhang, Y.; Zhang, W.; Niu, B.; He, J.; Chen, M.; Yu, Y.; Xiao, B.; Xu, R. Numerical simulation of geothermal energy productivity considering the evolution of permeability in various fractures. Appl. Therm. Eng. 2022, 201, 117756. [Google Scholar] [CrossRef]
- Ramurthy, M.; Richardson, J.; Brown, M.; Sahdev, N.; Wiener, J.; Garcia, M. Fiber-Optics Results from an Intra-Stage Diversion Design Completions Study in the Niobrara Formation of DJ Basin. In Proceedings of the Presented at the SPE Hydraulic Fracturing Technology Conference, The Woodlands, TX, USA, 9–11 February 2016. SPE-179106-MS. [Google Scholar]
- Roberts, G.; Lilly, T.B.; Tymons, T.R. Improved Well Stimulation Through the Application of Downhole Video Analytics. In Proceedings of the Presented at the SPE Hydraulic Fracturing Technology Conference and Exhibition, The Woodland, TX, USA, 23–25 January 2018. SPE-189851-MS. [Google Scholar]
- Cramer, D.; Friehauf, K.; Roberts, G.; Whittaker, J. Integrating DAS, treatment pressure analysis and video-based perforation imaging to evaluate limited entry treatment effectiveness. In Proceedings of the Paper Presented at the SPE Hydraulic Fracturing Technology Conference and Exhibition, The Woodlands, TX, USA, 5–7 February 2019. SPE 194334. [Google Scholar]
- Evans, S.; Holley, E.; Dawson, K.; Garrison, N.; Montes, M.; Preston, G.; Hudson, S. Eagle Ford Case History: Evaluation of Diversion Techniques to Increase Stimulation Effectiveness. In Proceedings of the Presented at the SPE/AAPG/SEG Unconventional Resources Technology Conference, San Antonio, TX, USA, 1–3 August 2016. URTeC 2459883. [Google Scholar]
- Zhang, S.C.; Chen, M.; Ma, X.; Zou, Y.S.; Guo, T.K. Research progress and development direction of hydraulic fracturing design model. Xinjiang Oil Gas 2021, 17, 67–73. [Google Scholar]
- Jin, Y.; Cheng, W.; Chen, M. Advances in numerical simulation techniques for fracturing shale gas reservoirs. Mech. Prac. 2016, 38, 1–9. [Google Scholar]
- Bunger, A.; Cardella, D.J. Spatial distribution of production in a Marcellus shale well: Evidence for hydraulic fracture stress interaction. J. Petrol. Sci. Eng. 2013, 133, 162–166. [Google Scholar] [CrossRef]
- Lecampion, B.; Desroches, J.; Weng, X.; Burghardt, J.; Brown, J.E. Can we engineer better multistage horizontal completions? evidence of the importance of near-wellbore fracture geometry from theory, lab and field experiments. In Proceedings of the Presented at the SPE Hydraulic Fracturing Technology Conference, The Woodlands, TX, USA, 3–5 February 2015. [Google Scholar]
- Manchanda, R.; Bryant, E.; Bhardwaj, P.; Cardiff, P.; Sharma, M.M. Strategies for effective stimulation of multiple perforation clusters in horizontal wells. SPE J. 2018, 33, 539–556. [Google Scholar] [CrossRef]
- Somanchi, K.; Brewer, J.; Reynolds, A. Extreme limited-entry design improves distribution efficiency in plug-and-perforate completions: Insights from fiber-optic diagnostics. SPE J. 2018, 33, 298–306. [Google Scholar] [CrossRef]
- Zhao, J.Z.; Chen, X.Y.; Li, Y.M.; Fu, B.; Xu, W.J. Simulation analysis and shot hole optimization of segmented multi-cluster fracturing in horizontal wells. Pet. Explor. Dev. 2017, 44, 117–124. [Google Scholar] [CrossRef]
- Hou, B.; Chang, Z.; Wu, A.A.; Derek, E. Simulation of competitive propagation of multifractures on shale oil reservoir multi-clustered fracturing in Jimsar sag. Acta Petrol. Sin. 2022, 43, 75–90. [Google Scholar]
- Linkov, A.M. Modern theory of hydraulic fracture modeling with using explicit and implicit schemes. Comput. Eng. Financ. Sci. 2019. Available online: https://arxiv.org/abs/1905.06811 (accessed on 18 May 2019).
- Adachi, J.; Siebrits, E.; Peirce, A.; Desroches, J. Computer simulation of hydraulic fractures. Int. J. Rock Mech. Min. 2007, 44, 739–757. [Google Scholar] [CrossRef]
- Lecampion, B.; Bunger, A.; Zhang, X. Numerical methods for hydraulic fracture propagation: A review of recent trends. J. Nat. Gas. Sci. Eng. 2018, 49, 66–83. [Google Scholar] [CrossRef]
- Gale, J.; Elliott, S.; Laubach, S.E. Hydraulic fractures in core from stimulated reservoirs: Core fracture description of HFTS slant core, Midland basin, West Texas. In Proceedings of the Presented at the SPE/AAPG/SEG Unconventional Resources Technology Conference, 23–25 July 2018; Houston, TX, USA. [Google Scholar]
- Raterman, K.T.; Farrell, H.E.; Mora, O.S.; Janssen, A.L.; Gomez, G.A.; Busetti, S.; McEwen, J.; Friehauf, K.; Rutherford, J.; Reid, R.; et al. Sampling a stimulated rock volume: An Eagle Ford Example. SPE Reserv. Eval. Eng. 2018, 21, 927–941. [Google Scholar] [CrossRef]
- Ugueto, G.A.; Todea, F.; Daredia, T.; Wojtaszek, M.; Huckabee, P.T.; Reynolds, A.; Laing, C.; Chavarria, J.A. 21. Can you feel the strain? DAS strain fronts for fracture geometry in the BC Montney, Groundbirch. In Proceedings of the Presented at the SPE Annual Technical Conference and Exhibition, Calgary, AB, Canada, 30 September–2 October 2019. SPE-195943-MS. [Google Scholar]
- Ugueto, G.A.; Wojtaszek, M.; Huckabee, P.T.; Savitski, A.A.; Guzik, A.; Jin, G.; Chavarria, J.A.; Kyle, H. An integrated view of hydraulic induced fracture geometry in hydraulic fracture test site 2. In Proceedings of the Presented at the SPE/AAPG/SEG Unconventional Resources Technology Conference, Houston, TX, USA, 26–28 July 2021. URTEC-2021-5396-MS. [Google Scholar]
- Chen, M.; Zhang, S.C.; Xu, Y.; Ma, X.F.; Zou, Y.S. A numerical method for simulating planar 3D multifracture propagation in multi-stage fracturing of horizontal wells. Pet. Explor. Dev. 2020, 47, 163–174. [Google Scholar] [CrossRef]
- Chen, M.; Zhang, S.C.; Zhou, T.; Ma, X.F.; Zou, Y.S. Optimization of in-stage diversion to promote uniform planar multifracture propagation: A numerical study. SPE J. 2020, 25, 3091–3110. [Google Scholar] [CrossRef]
- Chen, M.; Zhang, S.C.; Li, S.H.; Ma, X.F.; Zhang, X.; Zou, Y.S. An explicit algorithm for modeling planar 3D hydraulic fracture growth based on a super-time-stepping method. Int. J. Solids Struct. 2020, 191–192. [Google Scholar] [CrossRef]
- Chen, M.; Guo, T.; Zou, Y.; Zhang, S.C.; Qu, Z.Q. Numerical Simulation of Proppant Transport Coupled with Multi-Planar-3D Hydraulic Fracture Propagation for Multi-Cluster Fracturing. Rock Mech. Rock Eng. 2022, 55, 565–590. [Google Scholar] [CrossRef]
- Economides, M.J.; Nolte, K.G. Reservoir Stimulation, 3rd ed.; John Wiley & Sons: West Sussex, UK, 2000. [Google Scholar]
- Crouch, S.L.; Starfield, A.M. Boundary Element Methods in Solid Mechanics; Goerge Allen and Unwin: London, UK, 1983. [Google Scholar]
- Lecampion, B.; Zia, H. Slickwater hydraulic fracture propagation: Near-tip and radial geometry solutions. J. Fluid Mech. 2019, 880, 514–550. [Google Scholar] [CrossRef]
- Chen, X.; Zhao, J.; Li, Y.; Yan, W.; Zhang, X. Numerical Simulation of Simultaneous Hydraulic Fracture Growth Within a Rock Layer: Implications for Stimulation of Low-Permeability Reservoirs. J. Geophys. Res. Solid Earth 2019, 124, 13227–13249. [Google Scholar] [CrossRef]
- Crump, J.B.; Conway, M.W. Effects of perforation-entry friction on bottom hole treating analysis. J. Pet. Technol. 1988, 40, 1041–1048. [Google Scholar] [CrossRef]
- Churchill, S.W. Friction-factor equation spans all fluid-flow regimes. Chem. Eng. 1977, 84, 91–92. [Google Scholar]
- Olson, J.E. Fracture Mechanics Analysis of Joints and Veins. Ph.D. Thesis, Stanford University, Stanford, CA, USA, 1991. [Google Scholar]
- Chen, M.; Zhang, S.C.; Zhou, T.; Ma, X.F.; Zou, Y.S. A Semi-analytical model for predicting fluid partitioning among multiple hydraulic fractures from a horizontal well. J. Petrol. Sci. Eng. 2018, 171, 1041–1051. [Google Scholar] [CrossRef]
- Chen, M.; Guo, T.K.; Xu, Y.; Qu, Z.Q.; Zhang, S.C.; Zhou, T.; Wang, Y.P. Evolution mechanism of optical fiber strain induced by multifracture growth during fracturing in horizontal wells. Pet. Explor. Dev. 2022, 49, 183–193. [Google Scholar] [CrossRef]


















Publisher’s Note: MDPI stays neutral with regard to jurisdictional claims in published maps and institutional affiliations. |
© 2022 by the authors. Licensee MDPI, Basel, Switzerland. This article is an open access article distributed under the terms and conditions of the Creative Commons Attribution (CC BY) license (https://creativecommons.org/licenses/by/4.0/).
Share and Cite
Wang, T.; Chen, M.; Xu, Y.; Weng, D.; Yang, Z.; Liu, Z.; Ma, Z.; Jiang, H. Numerical Simulation of Multifracture Growth under Extremely Limited Entry Fracturing of Horizontal Well. Processes 2022, 10, 2508. https://doi.org/10.3390/pr10122508
Wang T, Chen M, Xu Y, Weng D, Yang Z, Liu Z, Ma Z, Jiang H. Numerical Simulation of Multifracture Growth under Extremely Limited Entry Fracturing of Horizontal Well. Processes. 2022; 10(12):2508. https://doi.org/10.3390/pr10122508
Chicago/Turabian StyleWang, Tengfei, Ming Chen, Yun Xu, Dingwei Weng, Zhanwei Yang, Zhaolong Liu, Zeyuan Ma, and Hao Jiang. 2022. "Numerical Simulation of Multifracture Growth under Extremely Limited Entry Fracturing of Horizontal Well" Processes 10, no. 12: 2508. https://doi.org/10.3390/pr10122508
APA StyleWang, T., Chen, M., Xu, Y., Weng, D., Yang, Z., Liu, Z., Ma, Z., & Jiang, H. (2022). Numerical Simulation of Multifracture Growth under Extremely Limited Entry Fracturing of Horizontal Well. Processes, 10(12), 2508. https://doi.org/10.3390/pr10122508
