Next Article in Journal
Inhibition of Necroptosis in Acute Pancreatitis: Screening for RIPK1 Inhibitors
Previous Article in Journal
Biodegradation of Alachlor by a Newly Isolated Bacterium: Degradation Pathway and Product Analysis
 
 
Font Type:
Arial Georgia Verdana
Font Size:
Aa Aa Aa
Line Spacing:
Column Width:
Background:
Article

Optimal Decisions on Harmful Chemical Limits in Consumer Goods within an Acceptable Risk Level

1
School of Management, China University of Mining and Technology (Beijing), Beijing 100083, China
2
School of Banking and Finance, University of International Business and Economics, Beijing 100029, China
3
School of Economics and Management, North China University of Technology, Beijing 100144, China
4
School of Economics and Management, Beijing University of Chemical Technology, Beijing 100029, China
*
Author to whom correspondence should be addressed.
Processes 2022, 10(11), 2259; https://doi.org/10.3390/pr10112259
Submission received: 7 June 2022 / Revised: 25 October 2022 / Accepted: 27 October 2022 / Published: 2 November 2022
(This article belongs to the Section Manufacturing Processes and Systems)

Abstract

Standard limits for harmful chemicals in consumer goods are important for consumer safety and the development of relevant industries. This paper proposes a method for determining content limits of chemicals in consumer goods by extending the “as low as reasonably practicable” (ALARP) principle by adding the impact of price and cost changes. While giving due consideration to the price and cost factors of consumer goods, this method derives such limits by measuring “acceptable consumer risk level” on the demand side and “industrial tolerance to chemical limits” on the supply side to obtain the ALARP area. Through a combination of functional relations between different factors and chemical limits, including consumer welfare, producer welfare, and external cost, a general chemical limit decision model can be created for the determination of the general limits of chemicals. This research provides a new methodology for studying decisions on chemical limits by considering consumer and industry affordability. In the final part of this paper, the feasibility and effectiveness of the proposed method are verified based on data of Bisphenol A used in the production of polycarbonate (PC) toys; the data were obtained from enterprise surveys and consumer questionnaires. Through our method, in this paper, a more suitable determination of harmful chemical substances can be obtained.

1. Introduction

As the largest producer and user of consumer goods worldwide, China is now facing increasingly challenging issues related to the quality and safety of consumer goods. As chemicals are used in large amounts of product, a lack of pertinent chemical limit standards can cause substantial harm to the health of consumers. Conversely, too stringent limit standards can hamper the growth of the relevant industries. In-depth research on consumer good risk management and decisions on chemical limits has been conducted in both the industrial and the academic fields. The chemical industry is able to contribute to a fair transition towards greater economic, environmental, and social sustainability [1]. Basketter et al. [2] assessed a quantitative risk assessment approach, to study the acceptable levels of potential sensitizers in consumer products. Hartmann et al. [3] investigated the awareness of 1030 consumers on harmful substances in everyday products using an online survey. They found that almost all participants believed that legislators should be responsible for the reduction of harmful substances in consumer products. Studies on the impact of chemical limits on consumer interests and industrial development are limited in the existing literature. Developing a sound methodology is necessary to alleviate the complexity of the risk. Bahootoroody et al. [4] sought to develop an advanced risk-based maintenance methodology for prioritizing maintenance operations, by addressing fluctuations that accompany event data. Rastayesh et al. [5] used a system engineering approach based on the failure mode and effect analysis (FMEA) methodology to perform a risk analysis. Few researchers have viewed chemical limit standardization as an industrial policy and used a quantitative method to evaluate consumer interests, producer interests, and external factors for maximizing social welfare [6].
Compared with previous research, the main contribution of this paper lies in (1) adding both the tolerance level of consumers and producers to the ALARP model; (2) determining the ALARP region, by taking into account the impact of price changes on the tolerance of both consumers and producers. Compared with the traditional ALARP model, our method is consistent with it in terms of security. In addition, our model also considers the economic affordability of both the consumers and the industries when the quantity of limits changes. Thus, this makes the ALARP model more feasible for industrial application. It means that our method can meet the needs of both consumers and producers, which is a “strict ALARP”. Next, we define the tolerance level of both consumers and industries for chemicals (acceptable level of consumer risk and industrial tolerance level), and explain how this is calculated. Finally, a case study is given, to illustrate how to determine the ALARP region using our ALARP model. The ALARP model proposed in this paper can be applied to many fields, especially those considering both safety and economics.
The development of chemical limit standards for consumer goods requires consideration of both supply and demand factors. On the demand side, consumer goods should match the purchasing power of the target consumers, while properly addressing their safety concerns. A strict chemical limit standard for a certain type of consumer good probably leads to lower safety risks, on the one hand, and higher prices, on the other hand, meaning that the consumers buy safer goods at a premium. This is a particular concern when it comes to the necessities for daily life. That is why chemical limit standards must be developed with a view to meeting the basic needs of disadvantaged groups and low-income populations. On the supply side, the impact of chemical limit standards for consumer goods on relevant industries and supply chains also needs to be taken into account. Such impacts can be measured by what we call the “industrial tolerance”, i.e., the ability of industrial players to take market risks. It is worth noting that such tolerances vary among different types of enterprises. Small and micro businesses are generally more sensitive to the external environment, due to their scale [7]. The characteristics and internal structures of specific industries should therefore be well considered when setting the content limits for chemicals.
The ALARP principle, which is now widely applied in safety decision-making, requires that those responsible for safety in the workplace should reduce risks to levels that are “as low as reasonably practicable”. ALARP is recognized as a key principle in the research realm of risk management and decision-making [8,9,10]. In the left part of Figure 1, risks fall into three zones, based on the traditional ALARP principle: unacceptable risk, ALARP risk, and acceptable risk. This traditional ALARP principle has been broadly applied in industrial production, construction, and environment protection [11,12,13]. However, it only covers static safety restrictions and fails to depict the influence of other endogenous variables arising from safety changes in the ALARP zone.
In this paper, we innovatively modify the traditional ALARP principle by considering it from the viewpoint of both consumers and manufacturers. The “consumer goods price/industrial cost” factors that change dynamically when limits are included in the ALARP principle [14]. According to the ALARP guidelines, the feasible area is determined by the area above the industry tolerance level and below the consumer risk acceptable level, which can be seen from the right part of Figure 1. A price-dependent ALARP zone is established on this basis, and the general chemical limits are then logically determined, with the aim of realizing maximal social welfare. The acceptable consumer risk level represents a trade-off on the consumer side, between the limits of harmful chemicals and the sales price of goods, with the latter being deemed the highest price average consumers are willing to pay for specific chemical limits. The industrial tolerance represents a trade-off on the manufacturer side between chemical limits and industrial costs, which are the costs that manufacturers must bear to meet specific limit requirements.
With the whole market subject to the restrictions set by theoretical content limits, if a limit exceeds the acceptable consumer risk level, the consumers will be reluctant to pay a premium for the corresponding products. If a limit drops below the industrial tolerance level, the resulting industrial costs will be beyond the tolerance of manufacturers. Only a theoretically reasonable limit value lying between the acceptable consumer risk level and the industrial tolerance level can satisfy both consumers and enterprises. An ALARP zone can be delineated using such limits. Within this ALARP zone, it is necessary to further balance costs and benefits, to achieve the maximum social welfare. The limit corresponding to the maximum social welfare is regarded as the general limit. Here, the concept of social welfare covers not only the gain and loss of consumer health and industrial growth, but also the external costs and benefits as a result of limit changes, such as environmental benefits and social costs. In the last section of this paper, the feasibility of the above approach will be proven using the example of Bisphenol A used for polycarbonate toys.

2. Product Safety Acceptable Risk Level among Consumers

An acceptable risk level generally represents to what extent industrial risks can be accepted among communities, organizations, enterprises, or the public [15,16]. It serves as a key link between risk evaluation and risk management. According to a survey of 1573 Chinese consumers conducted by Han et al., food quality and safety information is a critical criterion for food selection and purchase [17]. Hassauer and Roosen [18] argued that food safety standards are perceived on two levels—quantitative standards established from scientific experiments, and cognitive standards related to value choices of consumers–and that the latter dominate final purchasing behaviors.
In this paper, we define the consumer acceptable risk level as the level of risk related to a specific variety of consumer goods that is acceptable to consumers after they become fully aware of the pathological and toxicological harm of chemicals with a specified limit in the goods. This level represents the risk psychology of consumers and the risk compensation they are willing to afford for reduced risks (i.e., stricter content limits). The consumer acceptable risk level determines the upper limit of chemicals.

2.1. Consumer Risk Psychological Analysis

Consumer risk psychological analysis involves consumers’ risk perception and risk aversion awareness. There are two measures for risk perception: attention paid to product quality and safety risks by consumers, and their judgements on the probability of unfavorable results. Risk aversion awareness is assessed from three different angles: risk information acquisition, risk prevention behaviors in daily life, and risk disposal ability. Risk information acquisition refers to the process in which consumers evaluate product risks based on information from external sources, such as safety management authorities and quality testing agencies. Risk prevention behaviors are effective measures taken by consumers to avoid the occurrence of product quality and safety risks, including buying products with quality assurance and making use of commercial or medical insurance. The risk disposal ability of consumers directly shapes the results of risk events. Such events can be effectively controlled if properly handled, but improper actions may lead to wider and more severe consequences.

2.2. Consumer Risk Premium Ability Analysis

Changes to the limits of harmful chemicals in consumer goods have a direct bearing on manufacturing costs. Generally, stricter limits require the use of greener and safer raw materials and an improvement of existing production processes by enterprises, which naturally result in higher costs and product prices. Consumer risk premium ability analysis is intended to quantify the risk compensation that consumers are willing to make for a lower limit of a chemical, namely the premium they can accept for the purpose of risk reduction. Consumer risk premium ability analysis draws on consumer risk psychology assessment to depict the risk level that is acceptable to consumers from the viewpoint of purchasing power.

2.3. Acceptable Product Safety Risk Level among Consumers

In order to determine the acceptable risk level among consumers, we need to combine a consumer risk psychological analysis with risk premium ability analysis. Risk psychological analysis helps reveal what degree consumers are aware of product safety risks and manage to avoid them. Given the potential harm of chemicals and the limitations of manufacturing processes, consumers should neither ignore nor overestimate such risks. Through consumer risk psychological analysis, consumers with an abnormal risk appetite can be excluded from evaluation. Then, a risk premium ability analysis can be performed on mainstream consumers, to reveal the risk premium they are ready to pay for reduced risks. At a fixed price for a specific product, the upper limit of chemicals acceptable to consumers can be identified.

3. Evaluation of Industrial Tolerance to Chemical Limits

An industry is commonly defined as a collection of enterprises providing similar commodities and services, and which pursue business in the same value chain or related value chains. This can be seen as a meso-economy, a concept lying between macro and micro economic levels. The term “tolerance” originally referred to the attribute of supporting or bearing physical weight or pressure, and by extension it means the ability to accept and live with mental stress and a changing environment. The tolerance evaluation method can be regarded as an approach to solving practical issues based on the principles of system engineering, as well as an organizational management technique aimed at achieving optimal system performance. Industrial tolerance usually represents the ability and competence of an industry in dealing with evolving internal and external environments. Such an ability should be measured by considering both market realities and the tolerance to changes of the enterprise.
Industrial tolerance to chemical limits indicates the ability and competence of an industry in responding properly to changing limits of chemicals in relevant products. The tolerance level is shaped by two factors, the industrial chain and market structure, and varies with time. This covers two major aspects: the short-term tolerance to evolving limits, and long-term tolerance to stabilized limits. The evaluation of such industrial tolerance follows a “macro–micro–macro” analytic sequence. First, starting from the industrial chain and market structure concerned, the key links affected by a chemical limit change are identified. Next, the tolerance of enterprises in the key sector to a chemical limit change is assessed. Finally, the general industrial tolerance is derived from the results of the enterprise tolerance assessment, in view of the industrial chain and market structure given in the first step.

3.1. Industrial Chain and Market Structure

The subjects in an industrial chain may differ in their operational strategy, operational form, and business pattern, but their production and operational activities center on common products. For this reason, industrial tolerance evaluation should cover, not only product manufacturers, but also upstream and downstream players, implying that an industrial chain perspective should be taken. During the evaluation of the impact of chemical limit changes in consumer goods on industrial tolerance, the links pertinent to the chemicals concerned in the industrial chain should be first delineated. This is followed by identification of key links in the industrial chain, i.e., those bearing the brunt of such changes. The opinions of industrial experts and scholars can be solicited during the investigation.
Market structure also plays a role in industrial tolerance evaluation. According to industrial organization theories, and depending on the intensity of market competition, industrial structures fall into four categories: perfect competition, monopolistic competition, oligopoly, and pure monopoly [19]. In a perfect competition market, a large number of medium, small, and micro enterprises exist, and industrial tolerance evaluation is mainly required to focus on the effects of chemical limit changes on these enterprises. In a monopolistic competition market, much attention should be given to potential competition relations in the industry, since players with a cost and technical edge are very likely to erode the market share of disadvantaged players following changes to chemical limits. In an oligopoly market, the cost increases due to chemical limit changes may be easily passed on to consumers. In a pure monopoly market, industrial tolerance is liable to be influenced by government subsidies.
In summary, industrial chain and market structure studies help characterize the current industrial realities of consumer goods. Industrial chain analysis reveals the key links for industrial tolerance evaluation, while market structure analysis provides guidance for the conversion of enterprise tolerance into industrial tolerance.

3.2. Enterprise Tolerance Evaluation Index System

After the identification of the key sector affected by chemical limits through industrial chain analysis, the enterprises in these key part become the critical subjects of research. On the basis of a literature review, survey analysis, and expert interview, an objective index system for evaluating enterprises’ tolerance to chemical limits in consumer goods was built in our study. This system enables analysis of the short-term and long-term tolerance of enterprises in key sector to certain chemical limits or limit ranges. The specific index system are listed in Table 1 below.
Some of the evaluation indexes listed in Table 1 will be further explained below.
Supply chain production transmission refers to the ability of upstream suppliers to offer upstream products, in line with new chemical limits, to manufacturing enterprises in need. Lack of such a transmission ability among suppliers can result in deficiency of compliant upstream products, which will likely in turn drive up the price of such products. It is likely that the limited upstream products will be completely consumed by large-scale enterprises, thus depriving smaller enterprises of opportunities to sustain their production.
Pollutant disposal cost is another factor in chemical limit tolerance. New limit standards tend to be more rigorous in nature. The changes in production process and raw materials in response to the new standards may lead to lower pollutant emissions and lower pollutant disposal costs, or more emissions and higher disposal costs.
It should be noted that the same index may vary across different time spans following a limit change. Ordinarily, in the initial stage after a limit change, the affected enterprises have to invest more money and manpower in the R&D of new technologies, upgrading of existing systems, the purchase of production equipment, and operator training. These actions can increase the operational cost dramatically in the short term, and some enterprises may even withdraw from the market due to non-compliance with the new limit. The industrial tolerance of the limit change is essentially weaker in the short term.
As time goes on, with backward capacities gradually phased out, the remaining enterprises will enter a mature phase, characterized by a general balance between supply and demand in upstream and downstream markets. This is the stage where upfront R&D expenses and fixed asset investments can be fully amortized. The long-term tolerance to chemical limits will be mainly shaped by enterprises’ raw material cost, production process cost, and pollutant disposal cost. In general, due to the amortization of limit change costs, industrial players will become more competitive and profitable. Long-term industrial tolerance is therefore typically stronger than short-term tolerance.

3.3. Industrial Tolerance Evaluation

The means of converting the tolerance of individual enterprises in key links into general industrial tolerance is a function of industrial structure.
In a perfect competition market, the large number of competitors makes it impossible to evaluate all enterprises exhaustively. Hence, a random sampling approach is usually employed to investigate representative enterprises’ tolerance to chemical limit changes, thus gaining a complete picture of the whole industry. Common sampling methods such as bootstrap sampling can be adopted for this purpose. In a monopolistic competition market, the enterprises can be sorted in a descending order of tolerance, and the tolerance of enterprises accounting for the majority of output value can be taken as the industrial tolerance. In oligopoly and pure monopoly markets, considering the limited number of enterprises, an exhaustive approach should be preferably adopted, to cover all market players concerned. Statistics of the chemical limit tolerances of all enterprises will help determine the general industrial tolerance level.
Industrial policies are also an influencing factor on industrial tolerance. In the nationwide economic transition from “high-speed growth” to “high-quality growth”, industrial upgrading and reforms on the supply side are critically important. During the evaluation of industrial tolerance to chemical limits, the impact of policies on the consumer goods sectors should also be taken into consideration. For instance, with an industrial policy demanding elimination of 20% of backward production capacity for industrial upgrading, the lowest tolerance level among all enterprises constituting the remaining 80% capacity may be adopted as the industrial tolerance.

4. A Model for Determining General Chemical Limits in Consumer Goods

As previously mentioned, the upper and lower limits of the ALARP zone can be defined by the acceptable consumer risk level and the industrial tolerance level, respectively. The next question is how to find the optimum limit values in this zone. Dardis et al. [20] argued that a comprehensive cost–benefit analysis should be used in consumer good related acceptable risk level studies, in order to ascertain the risk exposure level acceptable to consumers. On this basis, general limits of consumer goods chemicals corresponding to the maximum social welfare should be located within the ALARP zone, by means of monetized cost–benefit analysis.
The Registration, Evaluation, Authorization, and Restriction of Chemicals (REACH) published by the European Union contains a recommendation that chemical limit research should be conducted with a view to social, environmental, and other pertinent factors [21]. Depending on the specific consumer goods and chemicals under evaluation, the factors to be considered may vary. This paper only lists some common factors, including consumer welfare and producer welfare, directly shaped by changes to chemical limits of consumer goods, as well as the consequential external costs of such changes.

4.1. Consumer Welfare

The contribution of chemical limit changes to consumer welfare is epitomized by the health benefits gained by consumers. Stricter chemical limit standards for consumer goods can lead to a significantly lower probability of diseases due to exposure to harmful chemicals, such as skin symptoms and cancers caused by chemicals, and an improve health level of consumers. A critical step in quantifying health welfare is calculating the probability of illness as a function of the corresponding limits, and measuring health welfare through monetization. The probability of illness needs to be measured in two dimensions. The first dimension is the characteristics of the consumer groups, such as age and health conditions. The second dimension is use habits, including the frequency and duration of utilization. Calculation of the probability of illness is often backed by pathological and toxicological experiment data. Knowing the relation function between the probability of illness and a chemical limit, we can monetize health welfare using a disability-adjusted life year (DALY) method.

4.2. Producer Welfare

The impact of chemical limit changes on producer welfare can take the form of welfare loss or welfare gain.
Producer welfare loss signifies the increases in industrial costs as a consequence of chemical limit changes. Although some producers with pricing power, such as those operating in a monopolistic market, may opt to pass on the additional cost to consumers, the ways in which such costs are shared among producers and consumers will not change the fact that the general production costs across the industry rise with the changing limits. Compared with consumers, statistics from producers tend to be more thorough and precise, as they often need to record their production and operation activities in detail. In this sense, the quantification of value loss, such as resource consumption as a result of higher costs, is more accurate from the perspective of producer welfare.
Producer welfare gain refers to additional profits arising from chemical limit changes. Such profit may be attributable to a higher level of product safety under stricter standards and the resulting increase in sales volume. For instance, domestic manufacturers complying with new standards, such as those producing PC toys, may gain an increased market share from imports. However, profit increases due to higher prices are not counted as part of the producer’s welfare gain. Arguably, such increases are equal to the wealth loss of the corresponding consumers, and represent a form of wealth redistribution among producers and consumers. They are by no means any improvements in public welfare.

4.3. External Costs and Benefits

The influence of changes in chemical limit standards is not limited to consumers and industries. A spillover effect may occur involving external subjects. Such external effects are primarily environmental and social.
External environmental influence: Reacting to a new chemical limit standard, manufacturers may alter their production processes or resort to alternative chemicals. Consequently, the types and amounts of pollutant emitted may change, and the ecological conditions will evolve accordingly. In some cases, residents in the neighborhood may suffer financial losses. The external environmental cost of a new chemical limit standard can be either positive or negative, and should be examined on a case-by-case basis through investigation.
External social influence: A new chemical limit standard may speed up industrial process upgrading, reshape industrial structures, or even have severe consequences, such as the closing down of SMEs and unemployment. On the other hand, the positive social effects of stricter limit standards can also be prominent. Examples of such effects include stronger public awareness of consumer good safety and firmer consumer confidence in the safety of domestic products. Another consideration is the social supervision cost related to new limit standards. Such costs may be borne by a third-party non-government agency, such as an industrial association, or by a government authority [22].
In this paper, the combined effect analysis approach put forward in REACH is employed to summarize the external factors required for a general limit evaluation based on the actual circumstances in China. These factors are listed in Table 2 below.

4.4. Determination of General Limits—A Maximum Social Welfare Model

Subject to the limits set by the industrial tolerance level and consumer acceptable risk level, the target of maximum social welfare naturally translates into the maximum arithmetic sum of four parts: consumer welfare, producer welfare, supervision cost, and external impacts.
In our calculations, we define x as a standard chemical limit, and U(x) as a relational function between consumer good risk level and the chemical limit, which represents acceptable consumer risk level. Umax is used to represent the highest risk level (upper limit of the chemical) acceptable to consumers at an established price. ITs(x) is a relational function between the short-term industrial tolerance level and the chemical limit, while ITl(x) is a relational function between the long-term industrial tolerance level and the chemical limit. We use ITs,low to denote the lowest short-term industrial tolerance level (lower limit of the chemical) at the established price and ITl,low to denote the lowest long-term industrial tolerance level (lower limit of the chemical) at the established price. We further define x0 as an existing standard chemical limit. As constraints, the function of the consumer risk acceptability level on the chemical substance limit U(x) is less than the maximum consumer acceptable risk value Umax, and the short-term industry tolerance levels ITs(x) and long-term industry tolerance levels ITl(x) are greater than the minimum short-term tolerance values ITs,low and long-term tolerance values ITl,low, respectively. The proposed methodology includes a quantitative evaluation of consumer loss and gain, the industrial economic loss and gain, and the external cost and benefit. Under this constraint, a cost–benefit approach is used to maximize consumer and producer welfare and the externalities caused by changes to limits. Where, H(x) and E(x) are two functions that represent the relation between consumer welfare and the chemical limit, and that between producer welfare and the chemical limit, respectively. EX(x) is another function adopted to depict the relation between external impacts and the chemical limit. In a cost–benefit analysis, losses or costs are calculated as negative values, and benefits as positive ones. Without going beyond the limits set by the acceptable consumer risk level, industrial tolerance level, and theoretical extreme values, we can derive a general limit corresponding to maximum social welfare W(x) with the following model:
max W x = H x + E x + E X x
s . t U x U m a x I T s , l o w   I T s x I T l , l o w   I T l x x x 0

5. Application Case

In this section, the example of determining the content limit of Bisphenol A used in the production of PC toys is taken as an instance, verifying the feasibility of the method proposed in this paper. According to current national standard for PC toys, the migration volume of Bisphenol A should not exceed 0.05 mg/L. In our study, the consumer data were sourced from a questionnaire survey, whereas the industrial tolerance data came from subjective scores based on interviews with relevant enterprises. We used this method to verify the limit determination of 10 types of harmful chemical substances. Due to the limitation of the article content, we only showed the results of Bisphenol A used in the production of PC toys.

5.1. Acceptable Consumer Risk Level

In order to ensure consumers fully understood the specific hazards of Bisphenol A, some preliminary training was conducted on the potential hazards of Bisphenol A to consumers before their filling out of the questionnaire; for example, the possible diseases caused by Bisphenol A, the possible prevalence rate of Bisphenol A with different limits in consumer goods, and the treatment costs of related diseases. A total of 226 valid questionnaires were recovered in the survey (the details of the questionnaires are not mentioned here due to limited space. We have supplemented the Appendix A with the questionnaire for consumers, in which specific information is explained to consumers to fully understand the impact of hazardous chemicals. Therefore, the ALARP zones are based on the valid subjective risk perceptions provided by consumers). basic demographic characteristics of the consumers are given in Figure 2.
Five characteristics are listed in Figure 2 include gender, age, organization, income, and education level. Options A-H represent different categories of respondents under the corresponding survey questions. It can be seen that the sample characteristics of the respondents in this questionnaire are relatively scattered, which generally meets the requirements for the extensiveness of the sample of respondents, except for the uneven distribution of respondents’ educational level. The education categories D and E, which are the largest two categories, representing undergraduate and postgraduate degrees, account for more than 96%. This indicates that our sample population has a relatively high education level and that the respondents could fully understand the risk level. This limitation exists in the survey due to the lack of heterogeneity among the sample, although this limitation does not affect the verification of the feasibility of the proposed method in a significant way. An analysis of the acceptable levels of consumer risk could be performed.

5.1.1. Consumer Risk Psychology Analysis

In the survey, a scale from 1 to 4 was used to measure the chemical risk awareness of respondents, with 4 representing the strongest risk awareness and 1 the weakest. For every respondent, the average of scores for all questions was taken as his/her general risk awareness level. A score of 4 indicates that the respondent was very concerned about chemical risks, while a score of 1 indicates that he/she was totally unconcerned. The distribution of risk awareness scores among the consumers surveyed is shown in Figure 3 below:
It can be seen from Figure 3 that most consumers surveyed have a score in the range of 3.2–3.4, implying a high level of risk awareness. The score of a small proportion of the respondents is around 2.5, which corresponds to a moderate risk sentiment. Generally speaking, most consumers perceived and viewed chemical risks in a balanced way, meaning that they can accept risks to a certain degree. From the consumer risk awareness scores, we eliminated the values greater than the 90th percentile and those smaller than the 10th percentile as outliers, before evaluating the risk premium ability of the remaining mainstream consumers.

5.1.2. Consumer Risk Premium Ability Analysis

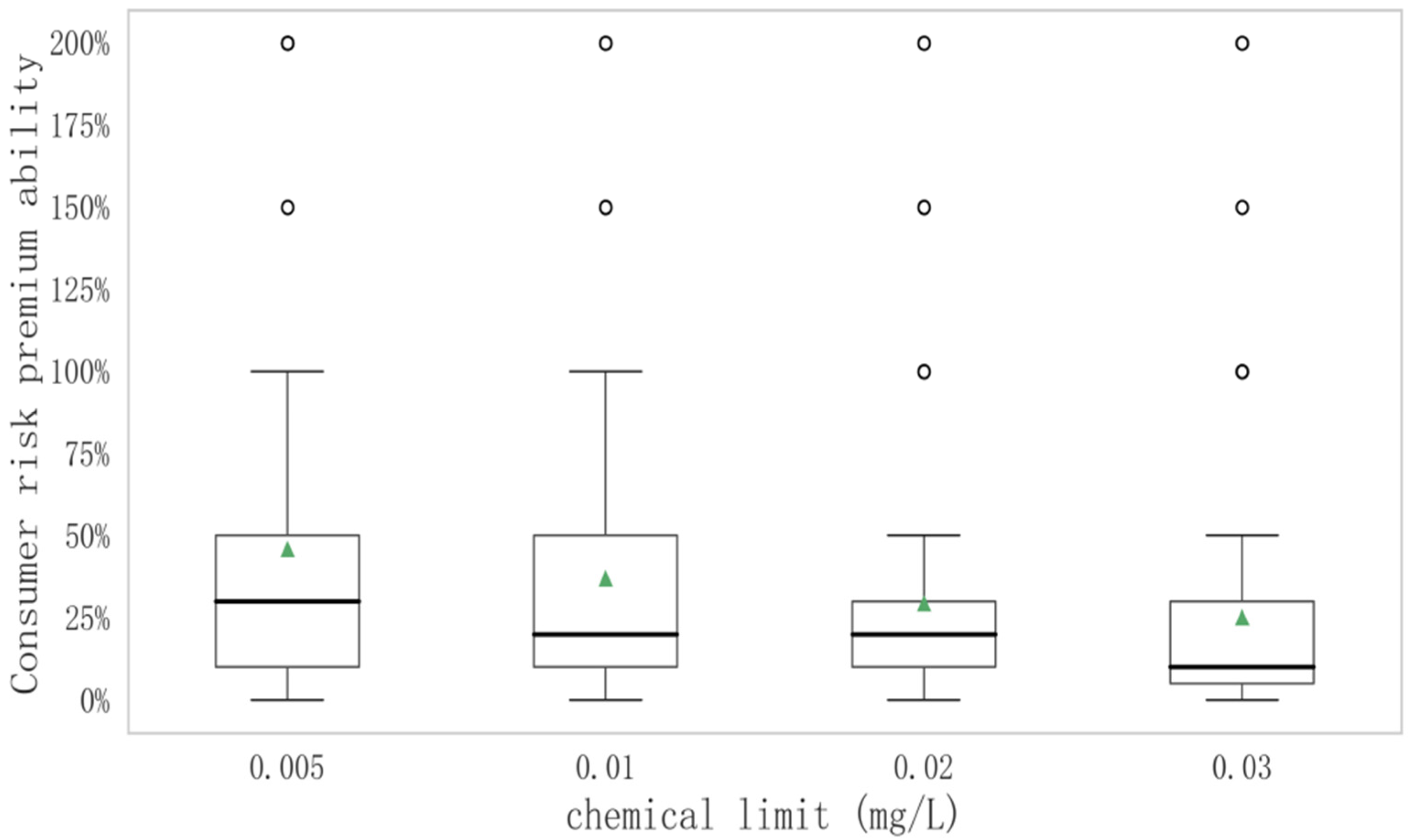
In the consumer risk premium ability analysis, the acceptable risk level among consumers was studied from the angle of real purchasing power. We asked the 226 respondents to give the highest price rise they would accept for different chemical limits, and the statistical results are given in Figure 4.
Figure 4 clearly shows that, as the limit value moves to the left along the horizontal axis (towards stricter standard), the consumers are willing to pay a higher premium for reduced risks. However, it is also worth noting that not everyone is capable of paying the premium. As indicated in Figure 4, with the limit growing stricter, the difference of the willingness to pay premium becomes more distinct among consumers. Hence, determination of the general acceptable consumer risk level should be based on a holistic view.

5.1.3. Acceptable Consumer Risk Level

Looking from the demand side, the formulation of a chemical limit standard should consider the general demand of average consumers, leaving personalized needs to be satisfied by market mechanisms. For this reason, after excluding consumers with abnormal risk appetites from our evaluation through the previously mentioned consumer psychology risk analysis, we determined the acceptable consumer risk level, i.e., the upper limit of the ALARP zone, by using the acceptable price rise data of the remaining 80% consumers, as shown in Figure 5.
According to Figure 5, it can be seen that with the increase of the chemical limit, the acceptable level of consumers decreases.

5.2. Industrial Tolerance

With the aid of the enterprise interview data, we decided that in the industrial chain affected by the changing limit of Bisphenol A, the key sector is the PC toy manufacturers. Subjective marks were then assigned to the enterprises, based on the evaluation indexes listed in Table 1. The grading criteria are shown in Table 3. The greater the change in cost, the lower affordability it has. For the sake of simplicity, long-term industrial tolerance and short-term industrial tolerance were assumed to be the same in our evaluation. The industrial tolerance scores of 13 enterprises interviewed in response to changes to the Bisphenol A limit are given in Figure 6.
According to Figure 6, as the limit value moves to the left along the horizontal axis (towards stricter standard), the manufacturers’ industrial tolerance, notably declines and becomes more divergent. Assuming that the launch of a new chemical limit standard will result in the elimination of 10% of the most backward production capacity, the tolerance level of the enterprises at the 90th percentile can be taken as the general industrial tolerance for that standard, i.e., ITlow. Based on the grading criteria, in terms of the tolerance level and cost changes in Table 3, a relation between industrial cost variation and chemical limit can be derived, as shown in Figure 7.
According to Figure 7, it can be seen that with the increase of the chemical limit, the industrial tolerance decreases and is lower than the acceptable level of consumers.

5.3. Determination of the ALARP Zone

The upper and lower limits of the ALARP zone are indicated by the acceptable consumer risk level and the industrial tolerance level, respectively. By combining Figure 5 and Figure 7, an ALARP zone, as shown in Figure 8, was delineated. This is the biggest difference between this paper and other research works.
Figure 8 shows that (1) to ensure the safety of consumer products, the content of Bisphenol A should be less than 0.03 mg/L; (2) 0.007 mg/L is the critical value to guarantee a price level that consumers can accept.
According to our improved criteria, the ALARP zone is (0.007, 0.03). Next, we will follow the guidance of REACH to calculate the optimal limit. In other words, a limit value leading to maximal social welfare or what we call the general chemical limit can be identified in this ALARP zone.

5.4. Determination of the General Limit

For determination of a general limit in the ALARP zone, monetized consumer loss and gain, industrial economic loss and gain, and external cost and benefit should be properly measured. Given the complexity of monetization and its limited impact on feasibility verification, we present here a simplified numerical process, to illustrate the general evaluation method.
The impact shock (short term) period is defined as the first year of the limit change, and the impact steady state (long term) period is the second to 20th year after the limit change. The annual discount rate adopted the 1-year LPR rate of 3.85% in April 2021. Since it is not feasible to conduct an SEA analysis for every small change in the limit, referring to REACH (2011), key nodes (0.03 mg/L, 0.02 mg/L, 0.01 mg/L) were selected for the cost–benefit analysis in the analysis. Industrial economic loss and gain includes the change in the cost–benefit of the PC toy industry caused by the “change case” relative to the “base case”.

5.4.1. Consumer Loss and Gain

Consumer loss and gain is dependent on the harm to human health caused by chemicals. A quantitative analysis of consumer loss and gain can be realized using the disability-adjusted life year (DALY) method.
H(x) = −DALY (x) × AGDP = (YLL (x) + YLD (x)) × AGDP
The concept of disability-adjusted life year refers to all years of healthy life lost from disease through to death, including years of life lost (YLL) and years lived with disability due to illness (YLD). We view the monetized DALY as a function of the limit x, and H(x) was calculated based on this in our study.
D A L Y   ( x ) = u = a u = a + l D ( x ) c u e β u e r ( u a ) d u = D ( x ) C e ( r a ) / ( β + r ) 2 e ( β + r ) ( l + a ) [ ( β + r ) ( l + a ) 1 ] e ( β + r ) a [ ( β + r ) a 1 ]
where r = 3%, AGDP = 72,000 yuan, β = 0.04 , C = 0.1658, a = 0, and l = 14. D is the disability weight associated with the limit x.
Bisphenol A is a common phenolic environmental estrogen that interferes with the endocrine system of humans and animals, resulting in reproductive issues and embryotoxicity, such as genital abnormalities and feminization of male characteristics. Excessive intake of Bisphenol A in children can lead to child growth and development problems and diseases related to the reproductive system. According to the National Bureau of Statistics, as of 2019, the number of children aged 0–14 in China was 235 million. According to our consumer research, at least 15% of children have used BPA-containing PC toys for a long time. The consumer loss due to the limit change is shown in Table 4.

5.4.2. Industrial Economic Loss and Gain

The general industrial economic loss and gain can be measured using industrial average costs and benefits. In this case, this is expressed as E x in the following equation:
E x = p r o d u c t i o n Δ C x + Δ s a l e s p r i c e
where production denotes the product output value, Δ C x denotes the industrial average cost change, Δ s a l e s denotes the sales variation in domestic and foreign markets resulting from a limit change, and price denotes the average price of a product.
As of 2019, the domestic market size of the toy industry was CNY 75.97 billion (China Toys and Baby Products Association “2020 China Toys and Baby Products Industry Development Report”). The main audience for toys is children aged 0–14. According to the statistics of the China Toys and Baby Products Association, in 2019, the per capita toy consumption of children in the country was CNY 323.4, an increase of 8% year-on-year, and an increase of CNY 24 compared with the CNY 299.5 in 2018. However, compared with the per capita consumption level of children’s toys of CNY 1000–2000 in developed countries, such as in Europe and the United States, there is still a large gap. As residents’ disposable income continues to rise, residents’ purchasing power increases, and their willingness to consume toys increases; the full liberalization of the two-child policy will help ease the pressure on the decline in the number of newborn children. The industry’s market size will grow to CNY 314.03 billion in 2023, with a compound annual growth rate of 6.0% during the period (Toubao Research Institute “2019 China Toy Industry Overview”). Assuming that the output value of China’s toy industry maintains this growth rate until 2040, the predicted 2021–2040 domestic sales market size will be as shown in Figure 9.
(1)
Fixed asset investment
According to the three key limit values provided, the interviewed companies indicated that when the limit dropped to 0.01 mg/L, they would need to purchase new production lines and processing equipment. However, the rate of increase in cost varied among companies, with fixed cost increases ranging from 1% to 15%. From the time boundary, this cost increase was mainly concentrated in the impact shock period (the first year of the change in the limit) and would not last until the impact steady state period; from the geographical boundary, the export products only need to meet domestic standards, so only the impact of the setting of the limit standard on the domestic sales share was studied. The average value of 8% of the cost change of the interviewed enterprises was selected as the reference for the increase of industrial fixed asset investment, and only the impact of the setting of the limit standard on the domestic production line production during the impact period was calculated. The result is shown in Table 5.
(2)
Patent use and R&D expenses
A survey of enterprises mainly involved in domestic sales found that although PC toys seem to be technically simple, the R&D expenditure of enterprises cannot be ignored. The annual R&D investment accounts for 5–10% of the annual operating income; in addition, for product R&D, the cycle is long, and it generally took about a year for the products of the interviewed companies to move from research and development to official production. Not all products under development can be completed and put into production smoothly. The surveyed companies generally launch less than 10 new products each year. According to the three key limit values we provided, companies reported that when the limit value is greater than 0.01 mg/L, the requirements can usually be met through technical research and development, and as the limit value decreases, the R&D cost increases; the standard requires more than its research and development capabilities, and the company prefers to directly purchase patents. It is estimated that the patent purchase cost would account for about 20% of the annual output value. With the improvement of the standard, the patent cost will increase. The cost changes caused by different “change scenarios” in the first year are shown in Table 6.
(3)
Raw material cost
The reduction of the limit of the chemical substance Bisphenol A in PC toys requires increasing the proportion of other raw materials in the production process, to ensure the performance of PC toys. The survey results of 20 PC toy manufacturing enterprises showed that the cost of PC materials currently accounts for about 20% of the total cost. During the current period, the geographical boundary is limited to domestic products, and the cost changes caused are shown in Table 7.
(4)
Process cost
According to the survey of the enterprises in the sample, with the reduction of the Bisphenol A limit, the process cost of PC toy manufacturing increased, but the proportion of process cost increases in different enterprises is different. The percentage is calculated based on the weighted average of the output value of each enterprise. Similarly to the study of raw material cost above, the time boundary is the impact period and the steady-state period, and the geographical boundary is limited to domestic products And the cost changes caused by it are shown in Table 8.
Finally, the comprehensive calculation of industrial economic loss and gain is as follows in Table 9:

5.4.3. External Cost and Benefits

In this case, the external impact was divided into the environmental costs and benefits and the government costs. Based on interviews with local government authorities and industrial organizations, the impact on environment and government costs would only occur after the chemical limit reaches a certain threshold. Adopting a threshold of 0.010 mg/L, we can give the corresponding environmental cost and loss and government cost.
The government cost is the cost paid by the government to ensure the implementation of the limit standard of harmful chemical substances in consumer products, mainly the testing costs incurred in the supervision process. Interviews were conducted with the heads of testing institutions in major PC toy producing areas such as Shanghai and Zhejiang. The testing fee for Bisphenol A in the interviewed testing institutions ranged from CNY 200 to 1500. This report took the average testing cost of the interviewed testing institutions at CNY 775. The additional testing costs caused by the establishment of limit standards were calculated. When the limit standard was 0.01 mg/L, the survey of PC toy manufacturers showed that the average proportion of their product testing was about 0.04% and the average price of PC toys was about CNY 75. The forecast of the output value of the toy industry could be estimated from 2021 to 2040. The annual output of toys could be calculated based on the discounted testing cost of the whole society. Since there is no relevant standard for the content of Bisphenol A in PC toys in China at present, the establishment of any limit standard would lead to an increase in testing costs. The increased testing costs are shown in Table 10.
The environmental risk assessment assesses the potential risks of chemical substances to the inland and marine environment. Risk assessment of the inland environment generally includes inland aquatic environments (including sediment), terrestrial environments, atmospheric environments, top predators, and the microbial environment of sewage treatment systems. Risk assessment of the marine environment generally includes the marine water environment (including sediment) and top predators. The PC toy manufacturers and relevant industry associations were consulted, and the interviewed companies all believed that the formulation of the limit standard for Bisphenol A in PC toys exceeded the threshold, which will reduce the corresponding environmental risks.
The preventive expenditure approach in the revealed preference approach infers people’s valuation of environmental values based on how much people are prepared to spend to prevent environmental degradation. According to the preventive expenditure approach, and asking the environmental protection department about the expenditure over the years, it can be seen that when the threshold was checked using the standard, the income gained is 42.30 (CNY 100 million). The environmental benefit and government costs are shown in Table 11.

5.4.4. Cost–Benefit Analysis

The general cost and benefit in the ALARP zone can be derived using the above-mentioned consumer gain and loss, industrial economic gain and loss, and the external cost and benefit analyses, as shown in Table 5. A comparison of the total cost and benefit at the limits of 0.03 mg/L, 0.02 mg/L, and 0.01 mg/L can reveal the limit level corresponding to the maximum social welfare. This limit is the general limit of Bisphenol A in this case.
Summarizing the above data, the cost is recorded as a negative value, and the benefit is recorded as a positive value, and the SEA analysis of the “change situation” of the limit value using the cost–benefit method is obtained as shown in Table 12.
It can be seen from the above table that when the consumer loss and gain, industrial economic loss and gain, environmental cost and benefit, and government costs are comprehensively considered, the greatest social benefit can be obtained with the limit standard of 0.02 mg/L. Therefore, it can be determined that the comprehensive limit value of Bisphenol A in PC toys is 0.02 mg/L.
This method is feasible when we generalize the above example to multiple limit values or continuous cases. The functions of indicators in the cost–benefit analysis are monotonically bounded, so the maximum value of social welfare can be found within a feasible region.

6. Conclusions

The concept of industrial tolerance to content limits of chemicals is presented for the first time in this paper. Another innovative idea in this paper is that the introduction of the price factor into the ALARP principle, which helps extend the applicability of the model. The evaluation in the ALARP zone not only covers consumer loss and gain and industrial tolerance, but also takes broader social, economic, and environment effects into consideration. This approach enables the identification of the limits corresponding to maximum social welfare. Based on our findings and a comparative study on relative domestic and foreign standards [23,24], we hereby make the following recommendations concerning decisions on chemical limits:
First, limit indexes should be improved stage by stage. Transitional periods may be set and transitional mechanisms may be established to minimize direct short-term impacts. Reasonable regulatory requirements and intermediate arrangements should be put in place to prevent drastic industrial and market fluctuations in the short run and to ensure a smooth transition. Higher standards for chemical limits for long-term growth can be promulgated after the market becomes stable and balanced.
Second, product safety indexes can be defined at different levels, including compulsory ones (minimum requirements) and recommended voluntary ones (higher requirements). For local and enterprise standards of a voluntary nature, implementation should be encouraged flexibly, aiming to promote new products and save social resources at the same time.
Third, government subsidies for mitigating the impact of chemical limit changes should be granted, especially to SMEs in a disadvantaged position in the market. It is also necessary to support start-ups and technical and commercial innovation with favorable policies. Enterprises’ efforts towards modernization, business expansion, and global competition should be encouraged and backed. It is also advisable to give priority to the development of regenerative functions of SMEs and industrial structure optimization. Financial institutions and a credit system geared to the needs of SMEs could be established to reduce financing costs of SMEs, and provide them with technical, market, and operation information, and assist them with industry-specific modernization planning.
Fourth, for consumer goods in strict compliance with chemical limit standards and with a high safety level, favorable market mechanisms such as certification can be implemented. Appropriate pricing models may be adopted to achieve wider promotion of high-quality consumer goods at affordable prices, and to guide enterprises to fulfill their social responsibilities [25,26,27]. Concrete steps towards industrial structure optimization and industrial upgrading will give a strong impetus to structural reforms on the supply side.
In summary, in this paper, a method for determining limits of harmful chemicals in consumer goods is proposed, based on the actual circumstances of China. This can be used as a reference for decisions concerning limits of harmful chemicals in domestic consumer goods.

Author Contributions

Conceptualization, Y.Y., Z.S., X.L. and J.W.; methodology, Y.Y., Z.S., X.L. and J.W.; software, Z.S. and X.L.; validation, W.J.; formal analysis, Z.S. and X.L.; investigation, Y.Y., Z.S. and X.L.; resources, Y.Y.; data curation, Z.S. and X.L.; writing—original draft preparation, Y.Y., Z.S. and X.L.; writing—review and editing, J.W. and W.J.; visualization, Z.S. and X.L.; supervision, J.W.; project administration, Y.Y. and J.W.; funding acquisition, Y.Y. and J.W. All authors have read and agreed to the published version of the manuscript.

Funding

This research was funded by National Key R&D Program of China (No. 2021YFF0600400), Major Project of the National Social Science Fund of China (No.18ZDA079) and Beijing Natural Science Foundation (No.9222024).

Informed Consent Statement

Informed consent was obtained from all subjects involved in the study.

Data Availability Statement

Not applicable.

Conflicts of Interest

The authors declare no conflict of interest.

Appendix A. Consumer Risk Acceptability Survey on Chemical Limits in Plastic Toys

Dear consumers:
This questionnaire is only used for subject research. The relevant data is based on small-scale experiments and reasonable assumptions, and does not represent the actual status of the current product.
We promise: the information collected by this questionnaire will not be used for other purposes than subject research, thank you for your support and help!
  • Basic information
Your gender: [One choice only] *
○Male
○Female
Your age: [One choice only] *
○19 and below
○20–25
○26–30
○31–40
○41–50
○51 and above
Your work: [One choice only] *
○Government or public institution personnel
○Individual industrial and commercial households
○Foreign-funded enterprises
○State-owned enterprises
○Private enterprise
○Farmer
○Other: _________________
Your Average Monthly Income: [One choice only] *
○RMB 2000 and below
○2000 (excluding)–5000 (including)
○5000(excluding)–10,000 (including)
○10,000 or more
Your education level: [One choice only] *
○Junior high school and below
○High school or technical secondary school
○College
○Undergraduate
○Postgraduate
2.
Consumption habits
What do you think is the current level of risk in the quality and safety of children’s PC toys? [One choice only] *
○High risk
○General risk
○Minor risk
○There is no risk
Are you concerned about the material of children’s PC toys: [One choice only] *
○Very concerned
○Pretty concerned
○General attention
○Not concerned
When you buy children’s PC toys, how do you view the quality risk of the product? [One choice only] *
○It is my first concern
○Consider but focus more on performance or other
○Rarely considered
○never considered
How many harmful chemicals can you name that may be in children’s PC toys: [One choice only] *
○Three or more
○Two kinds
○One kind
○I can’t name anyone of them
Do you pay attention to whether the outer packaging of PC toys is standardized, and whether the product manual is complete: [One choice only] *
○Very concerned, the toy packaging must be standardized and the instructions are complete
○I am more concerned. When purchasing, I often check whether the toy packaging is standardized and whether the instructions are complete.
○General attention, occasionally checking toy packaging and instructions
○Not concerned, it’s just a toy, don’t care about the packaging of the toy and its instructions, etc.
Will you read the instructions for PC toys: [One choice only] *
○Read carefully
○Pay attention to the instructions for some specific toys (such as chewy toys)
○Occasionally look at it, more casually
○never read
I am used to getting information about the quality and safety of PC toy products from the media [One choice only] *
○Strongly agree
○Agree
○General
○Disagree
I am concerned about the quality and safety information related to PC toy products released by testing and inspection agencies [One choice only] *
○Strongly agree
○Agree
○General
○Disagree
The most common channels you use to buy children’s PC toys are: [One choice only] *
○Large shopping mall brand toy counter/online official store
○Toy shelves or counters in chain supermarkets
○Ordinary supermarket toy shelves or counters/general online stores
○Small vendors
I prefer to buy PC toy products from well-known brands [One choice only] *
○Strongly agree
○Agree
○General
○Disagree
If a friend tells you that a PC toy product has quality problems, would you still consider buying this toy? [One choice only] *
○will not buy
○Rarely considered
○will consider
○Will buy
Have you purchased commercial insurance or medical insurance? [One choice only] *
○Purchased
○will consider
○Rarely considered
○will not buy
If the PC toy products you buy have quality problems, what measures will you take to protect your own interests? [One choice only Questions] *
□File a complaint to the relevant department
□Find the manufacturer for replacement or repair
□Notify relatives and friends, etc.
□Take no action
3.
The price acceptance level of Bisphenol A
Bisphenol A is used to synthesize materials such as polycarbonate (PC) and epoxy resin, and is widely used in the production of PC toys. Excessive Bisphenol A has the potential risk of affecting the growth and development of children and causing diseases of the reproductive system in children. At present, our country has not yet formulated a national standard for the limit of Bisphenol A in toys.
Experiments have found that the theoretical limit of Bisphenol A migration is 0.05 mg/L. Under the current limit, the probability of illness in children aged 6 and under who use it for a long time can be controlled to less than 5%. The maximum price increase you can accept for this is: [One choice only] *
○0%
○5%–If the original price is 50 yuan, the price will increase to 52.5 yuan
○10%–If the original price is 50 yuan, the price will increase to 55 yuan
○20%–If the original price is 50 yuan, the price will increase to 60 yuan
○30%–If the original price is 50 yuan, the price will increase to 65 yuan
○50%–If the original price is 50 yuan, the price will increase to 75 yuan
○100%–If the original price is 50 yuan, the price will increase to 100 yuan
○150%–If the original price is 50 yuan, the price will increase to 125 yuan
○200%–If the original price is 50 yuan, the price will increase to 150 yuan
When the limit of Bisphenol A in PC toys is 0.03 mg/L, the probability of disease caused by this substance in children aged 6 and below can be controlled to be less than 2.5%. The maximum price increase you can accept for this is: [One choice only] *
○0%
○5%–If the original price is 50 yuan, the price will increase to 52.5 yuan
○10%–If the original price is 50 yuan, the price will increase to 55 yuan
○20%–If the original price is 50 yuan, the price will increase to 60 yuan
○30%–If the original price is 50 yuan, the price will increase to 65 yuan
○50%–If the original price is 50 yuan, the price will increase to 75 yuan
○100%–If the original price is 50 yuan, the price will increase to 100 yuan
○150%–If the original price is 50 yuan, the price will increase to 125 yuan
○200%–If the original price is 50 yuan, the price will increase to 150 yuan
When the limit of Bisphenol A in PC toys is 0.02 mg/L, the probability of disease caused by this substance in children aged 6 and below can be controlled to less than 1%. The maximum price increase you can accept for this is: [One choice only] *
○0%
○5%–If the original price is 50 yuan, the price will increase to 52.5 yuan
○10%–If the original price is 50 yuan, the price will increase to 55 yuan
○20%–If the original price is 50 yuan, the price will increase to 60 yuan
○30%–If the original price is 50 yuan, the price will increase to 65 yuan
○50%–If the original price is 50 yuan, the price will increase to 75 yuan
○100%–If the original price is 50 yuan, the price will increase to 100 yuan
○150%–If the original price is 50 yuan, the price will increase to 125 yuan
○200%–If the original price is 50 yuan, the price will increase to 150 yuan
When the limit of Bisphenol A in PC toys is 0.01 mg/L, the probability of disease caused by this substance in children aged 6 and below can be controlled to be less than 0.5%. The maximum price increase you can accept for this is: [One choice only] *
○0%
○5%–If the original price is 50 yuan, the price will increase to 52.5 yuan
○10%–If the original price is 50 yuan, the price will increase to 55 yuan
○20%–If the original price is 50 yuan, the price will increase to 60 yuan
○30%–If the original price is 50 yuan, the price will increase to 65 yuan
○50%–If the original price is 50 yuan, the price will increase to 75 yuan
○100%–If the original price is 50 yuan, the price will increase to 100 yuan
○150%–If the original price is 50 yuan, the price will increase to 125 yuan
○200%–If the original price is 50 yuan, the price will increase to 150 yuan
When the limit of Bisphenol A in PC toys is 0.005 mg/L, the probability of disease caused by this substance in children aged 6 and below can be controlled to be less than 0.1%. The maximum price increase you can accept for this is: [One choice only] *
○0%
○5%–If the original price is 50 yuan, the price will increase to 52.5 yuan
○10%–If the original price is 50 yuan, the price will increase to 55 yuan
○20%–If the original price is 50 yuan, the price will increase to 60 yuan
○30%–If the original price is 50 yuan, the price will increase to 65 yuan
○50%–If the original price is 50 yuan, the price will increase to 75 yuan
○100%–If the original price is 50 yuan, the price will increase to 100 yuan
○150%–If the original price is 50 yuan, the price will increase to 125 yuan
○200%–If the original price is 50 yuan, the price will increase to 150 yuan

References

  1. Silvestri, C.; Silvestri, L.; Forcina, A.; Di Bona, G.; Falcone, D. Green chemistry contribution towards more equitable global sustainability and greater circular economy: A systematic literature review. J. Clean. Prod. 2021, 294, 126137. [Google Scholar] [CrossRef]
  2. Basketter, D.A.; Clapp, C.J.; Safford, B.J.; Jowsey, I.R.; McNamee, P.; Ryan, C.A.; Gerberick, F.G. Preservatives and skin sensitization quantitative risk assessment. Dermatitis 2008, 19, 20–27. [Google Scholar] [CrossRef] [PubMed]
  3. Hartmann, S.; Klaschka, U. Interested consumers’ awareness of harmful chemicals in everyday products. Environ. Sci. Eur. 2017, 29, 29. [Google Scholar] [CrossRef]
  4. BahooToroody, F.; Khalaj, S.; Leoni, L.; De Carlo, F.; Di Bona, G.; Forcina, A. Reliability estimation of reinforced slopes to prioritize maintenance actions. Int. J. Environ. Res. Public Health 2021, 18, 373. [Google Scholar] [CrossRef] [PubMed]
  5. Rastayesh, S.; Bahrebar, S.; Blaabjerg, F.; Zhou, D.; Wang, H.; Dalsgaard Sørensen, J. A system engineering approach using fmea and bayesian network for risk analysis—A case study. Sustainability 2019, 12, 77. [Google Scholar] [CrossRef]
  6. Silbergeld, E.K.; Mandrioli, D.; Cranor, C.F. Regulating chemicals: Law, science, and the unbearable burdens of regulation. Annu. Rev. Public Health 2015, 36, 175–191. [Google Scholar] [CrossRef]
  7. Melchers, R.E. On the ALARP approach to risk management. Reliab. Eng. Syst. Saf. 2001, 71, 201–208. [Google Scholar] [CrossRef]
  8. Jones-Lee, M.; Aven, T. ALARP—What does it really mean? Reliab. Eng. Syst. Saf. 2011, 96, 877–882. [Google Scholar] [CrossRef]
  9. SAIC National Small and Micro Enterprise Development Report Research Group. SAIC: National Small and Micro Enterprise Development Report (Summary); SAIC: Shanghai, China, 2014. [Google Scholar]
  10. Ale, B.J.M.; Hartford, D.N.D.; Slater, D. ALARP and CBA all in the same game. Saf. Sci. 2015, 76, 90–100. [Google Scholar] [CrossRef]
  11. Abrahamsen, E.B.; Abrahamsen, H.B.; Milazzo, M.F.; Selvik, J.T. Using the ALARP principle for safety management in the energy production sector of chemical industry. Reliab. Eng. Syst. Saf. 2018, 169, 160–165. [Google Scholar] [CrossRef]
  12. Sørskår, L.I.K.; Selvik, J.T.; Abrahamsen, E.T. On the use of the vision zero principle and the ALARP principle for production loss in the oil and gas industry. Reliab. Eng. Syst. Saf. 2019, 191, 106541. [Google Scholar] [CrossRef]
  13. Zhang, P.; Qin, G.J.; Wang, Y.H. Optimal maintenance decision method for urban gas pipelines based on as low as reasonably practicable principle. Sustainability 2019, 11, 153. [Google Scholar] [CrossRef]
  14. Manuele, F.A. Acceptable Risk. Prof. Saf. 2010, 55, 30–38. [Google Scholar]
  15. Du, X.; Zhang, Z.; Dong, L.; Liu, J.; Borthwick, A.G.L.; Liu, R. Acceptable risk analysis for abrupt environmental pollution accidents in Zhangjiakou City, China. Int. J. Environ. Res. Public Health 2017, 14, 443. [Google Scholar] [CrossRef] [PubMed]
  16. Miao, C.; Liu, X. Characterization of acceptable risk for debris flows in China: Comparison in Debris-Flow prone areas and nonprone areas. Int. J. Disaster Risk Reduct. 2020, 42, 101405. [Google Scholar] [CrossRef]
  17. Han, Y.; Cao, B.; Chen, J.; Mao, Z. Analysis of different needs for food quality and safety information among Chinese consumers–validation with data of 1573 consumers. China Soft Sci. 2014, 2, 32–45. [Google Scholar]
  18. Hassauer, C.; Roosen, J. Toward a conceptual framework for food safety criteria: Analyzing evidence practices using the case of plant protection products. Saf. Sci. 2020, 127, 104683. [Google Scholar] [CrossRef]
  19. Su, D. Industrial Economics, 3rd ed.; Higher Education Press: Beijing, China, 2010. [Google Scholar]
  20. Dardis, R.; Gail, D.; Janet, K.; Janet, M. Risk-benefit analysis and the determination of acceptable risk. J. Consum. Aff. 1983, 17, 38–56. [Google Scholar] [CrossRef]
  21. Guidance on the Preparation of Socio-Economic Analysis as Part of an Application for Authorization. Available online: https://echa.europa.eu/documents/10162/23036412/sea_authorisation_en.pdf/aadf96ec-fbfa-4bc7-9740-a3f6ceb68e6e (accessed on 31 January 2011).
  22. Burrows, P. Combining regulation and legal liability for the control of external costs. Int. Rev. Law Econ. 1999, 19, 227–244. [Google Scholar] [CrossRef]
  23. Zhu, T.; Zhu, X.; Niu, W.; Yu, Y.; Ren, X.; Lin, J. A comparative study on volatile organic matter emission standards in China and foreign countries. J. Min. Sci. Technol. 2020, 5, 209–218. [Google Scholar]
  24. Ke, Y.; Liu, R.; Chen, X.; Feng, Y.; Gao, P.; Huang, H.; Fan, L.; Ye, D. Volatile organic compounds concentration profiles and control strategy in container manufacturing industry: Case studies in China. J. Environ. Sci. 2021, 104, 296–306. [Google Scholar] [CrossRef] [PubMed]
  25. Bendapudi, N.; Singh, S.N.; Bendapudi, V. Enhancing helping behavior: An integrative framework for promotion planning. J. Mark. 1996, 60, 33–49. [Google Scholar] [CrossRef]
  26. Lichtenstein, D.R.; Braig, B.M. The effect of corporate social responsibility on customer donations to corporate-supported non-profits. J. Mark. 2004, 68, 16–32. [Google Scholar] [CrossRef]
  27. Singh, J. The influence of CSR and ethical self-identity in consumer evaluation of cobrands. J. Bus. Ethics 2016, 138, 311–326. [Google Scholar] [CrossRef]
Figure 1. (a) Traditional ALARP principle; (b) ALARP principle for determining general chemical limits.
Figure 1. (a) Traditional ALARP principle; (b) ALARP principle for determining general chemical limits.
Processes 10 02259 g001
Figure 2. Basic demographic characteristics of the consumers.
Figure 2. Basic demographic characteristics of the consumers.
Processes 10 02259 g002
Figure 3. Distribution of risk awareness scores among consumers.
Figure 3. Distribution of risk awareness scores among consumers.
Processes 10 02259 g003
Figure 4. Consumer risk premium ability.
Figure 4. Consumer risk premium ability.
Processes 10 02259 g004
Figure 5. Acceptable consumer risk level.
Figure 5. Acceptable consumer risk level.
Processes 10 02259 g005
Figure 6. Relation between the industrial tolerance mark and chemical limit.
Figure 6. Relation between the industrial tolerance mark and chemical limit.
Processes 10 02259 g006
Figure 7. Industrial tolerance.
Figure 7. Industrial tolerance.
Processes 10 02259 g007
Figure 8. ALARP zone.
Figure 8. ALARP zone.
Processes 10 02259 g008
Figure 9. 2021–2040 domestic sales market output value forecast (CNY 100 million).
Figure 9. 2021–2040 domestic sales market output value forecast (CNY 100 million).
Processes 10 02259 g009
Table 1. Enterprise chemical limit tolerance evaluation index system.
Table 1. Enterprise chemical limit tolerance evaluation index system.
Level 1 IndexesLevel 2 Indexes
Enterprise toleranceProduction costRaw material cost
Fixed asset investment
Process cost
Testing cost
Certification cost
R&D inputR&D expenses
Patent purchase
Supply chainSupply chain bargaining power
Supply chain production transmission ability
HR costEmployee training
Staff changes
Environment protection costPollutant disposal cost
Table 2. External factors related to a general limit evaluation.
Table 2. External factors related to a general limit evaluation.
External environmental factors
  • Changes in pollutant emissions due to production process alterations
  • Environmental impact due to use of alternative chemicals
  • Other environmental impacts (ecological system, natural resource supply, and landscape)
External social factors
  • Implications for employment
  • Stronger public awareness of consumer good safety
  • Firmer consumer confidence in domestic products and the resulting benefit to the domestic consumer goods industry
  • Supervision cost borne by the government
Table 3. Grading criteria based on tolerance and cost change.
Table 3. Grading criteria based on tolerance and cost change.
MarkABCDEFG
Tolerance7654321
Cost change0%1.5%4.5%8%12.5%17.5%20%
Table 4. Consumer loss due to the limit change.
Table 4. Consumer loss due to the limit change.
Limit (Higher than 0.007 mg/L)0.03 mg/L0.02 mg/L0.01 mg/L
D(x)0.00250.00150.001
DALY (x) per child0.02170.01300.0087
H(x) per child (CNY) 0.00770.00460.0031
Total H(x) (CNY 100 million) 551.51330.91220.61
Table 5. Fixed asset investment expenditure due to the limit change.
Table 5. Fixed asset investment expenditure due to the limit change.
Limit (Higher than 0.007 mg/L)0.03 mg/L0.02 mg/L0.01 mg/L
Cost increase as a percentage of domestic output value0%0%8%
Annual sales value in 2021 (CNY 100 million)853.60853.60853.60
Absolute value of cost increase (CNY 100 million)0.000.0068.29
Discounted cost increase (CNY 100 million)0.000.0068.29
Table 6. Patent use and R&D expenses due to the limit change.
Table 6. Patent use and R&D expenses due to the limit change.
Limit (Higher than 0.007 mg/L) 0.03 mg/L0.02 mg/L0.01 mg/L
Annual sales value in 2021 (CNY 100 million)853.60853.60853.60
The proportion of only domestic sales enterprises5%5%10%
Domestic sales output value of only domestic sales enterprises42.6842.6885.36
Cost increase as a percentage of output value2.10%2.30%15.00%
Absolute value of cost increase (CNY 100 million)0.900.9812.80
Discounted cost increase (CNY 100 million)0.870.9512.33
Table 7. Raw material cost expenses due to the limit change.
Table 7. Raw material cost expenses due to the limit change.
Limit (Higher than 0.007 mg/L)0.03 mg/L0.02 mg/L0.01 mg/L
Percentage increase in raw material cost (A1)4%5%7%
Proportion of PC material cost to total cost (A2)20%20%20%
Increase in cost increases as a proportion of output value (A3 = A1*A2)0.80%1.00%1.40%
2021–2040 Raw material cost added value (A3* domestic sales output value in the current year (CNY 100 million)) discount160.26200.32280.45
Table 8. Process cost expenses due to the limit change.
Table 8. Process cost expenses due to the limit change.
Limit (Higher than 0.007 mg/L)0.03 mg/L0.02 mg/L0.01 mg/L
Process cost increase ratio (B1)2.60%2.80%3.10%
Process cost as a percentage of output value (B2)10%10%10%
Proportion of increased cost to output value (B3 = B1*B2)0.26%0.28%0.31%
Process cost added value 2021–204052.0856.0962.10
Table 9. Industrial economic loss and gain due to the limit change.
Table 9. Industrial economic loss and gain due to the limit change.
Limit (Higher than 0.007 mg/L)0.03 mg/L0.02 mg/L0.01 mg/L
Discounted increase in cost of fixed assets0.000.00−68.29
Patent and R&D cost discounting−0.87−0.95−12.33
Discounted value added of raw material cost in 2021–2040−160.26−200.32−280.45
Discounted Process Cost Value Added 2021–2040−52.08−56.09−62.10
Total−213.21−257.36−423.17
Table 10. Increased government testing costs under the “change scenario”.
Table 10. Increased government testing costs under the “change scenario”.
Limit (Higher than 0.007 mg/L)0.01 mg/L
Single-piece inspection costs increase775
Annual number of inspection pieces (10,000 pieces)180.00
Annual new testing cost (CNY 10,000)139,500
Discounted value of testing costs in 2021–2040 (CNY 100 million)82.80
Table 11. Environmental benefit and government costs due to the limit change.
Table 11. Environmental benefit and government costs due to the limit change.
Limit (Higher than 0.007 mg/L)0.03 mg/L0.02 mg/L0.01 mg/L
Environmental benefit (RMB 100 million)0042.30
Government costs (RMB 100 million)00−82.80
Table 12. Cost–benefit analysis for determination of the general limit.
Table 12. Cost–benefit analysis for determination of the general limit.
Limit (Higher than 0.007 mg/L) 0.03 mg/L0.02 mg/L0.01 mg/L
Consumer loss and gain (RMB 100 million) −551.51−330.91−220.61
Industrial economic loss and gain (RMB 100 million)−213.21−257.36−423.17
Environment cost and benefit (RMB 100 million)0042.30
Government cost (RMB 100 million) 00−82.80
Total−764.72−588.27−684.28
Publisher’s Note: MDPI stays neutral with regard to jurisdictional claims in published maps and institutional affiliations.

Share and Cite

MDPI and ACS Style

Yang, Y.; Sun, Z.; Liu, X.; Jia, W.; Wu, J. Optimal Decisions on Harmful Chemical Limits in Consumer Goods within an Acceptable Risk Level. Processes 2022, 10, 2259. https://doi.org/10.3390/pr10112259

AMA Style

Yang Y, Sun Z, Liu X, Jia W, Wu J. Optimal Decisions on Harmful Chemical Limits in Consumer Goods within an Acceptable Risk Level. Processes. 2022; 10(11):2259. https://doi.org/10.3390/pr10112259

Chicago/Turabian Style

Yang, Yuexiang, Zhen Sun, Xiao Liu, Wenpeng Jia, and Jun Wu. 2022. "Optimal Decisions on Harmful Chemical Limits in Consumer Goods within an Acceptable Risk Level" Processes 10, no. 11: 2259. https://doi.org/10.3390/pr10112259

APA Style

Yang, Y., Sun, Z., Liu, X., Jia, W., & Wu, J. (2022). Optimal Decisions on Harmful Chemical Limits in Consumer Goods within an Acceptable Risk Level. Processes, 10(11), 2259. https://doi.org/10.3390/pr10112259

Note that from the first issue of 2016, this journal uses article numbers instead of page numbers. See further details here.

Article Metrics

Back to TopTop