Discrete Element Simulation on Sand-Bed Collision Considering Surface Moisture Content
Abstract
:1. Introduction
2. Model Description
2.1. Cohesive Force Equations
2.2. Particle Motion Equations
2.3. Simulation Procedures
3. Results and Discussion
3.1. Motion and Force Characteristics
3.2. Force Chains and Energy Dissipation Characteristics
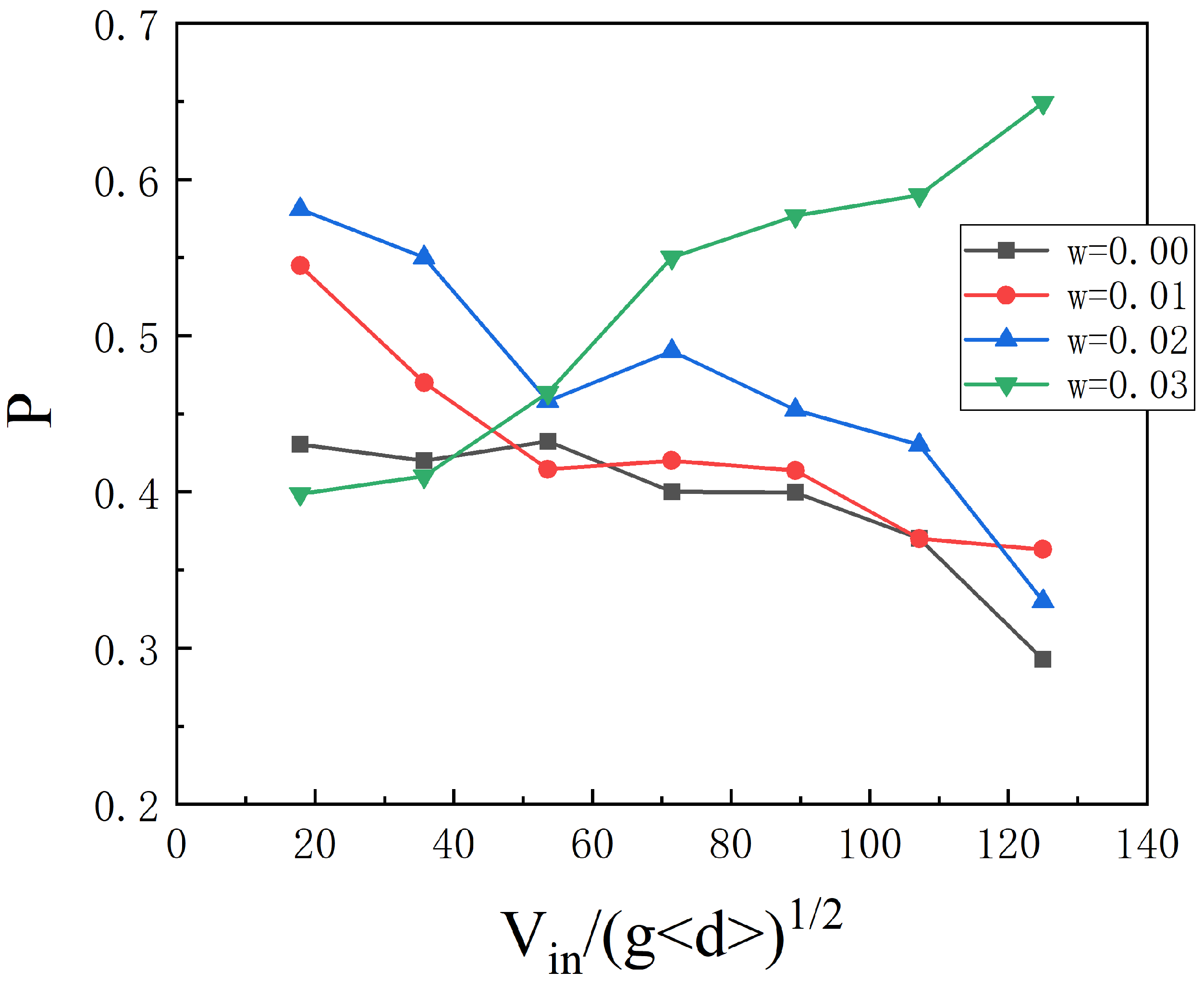
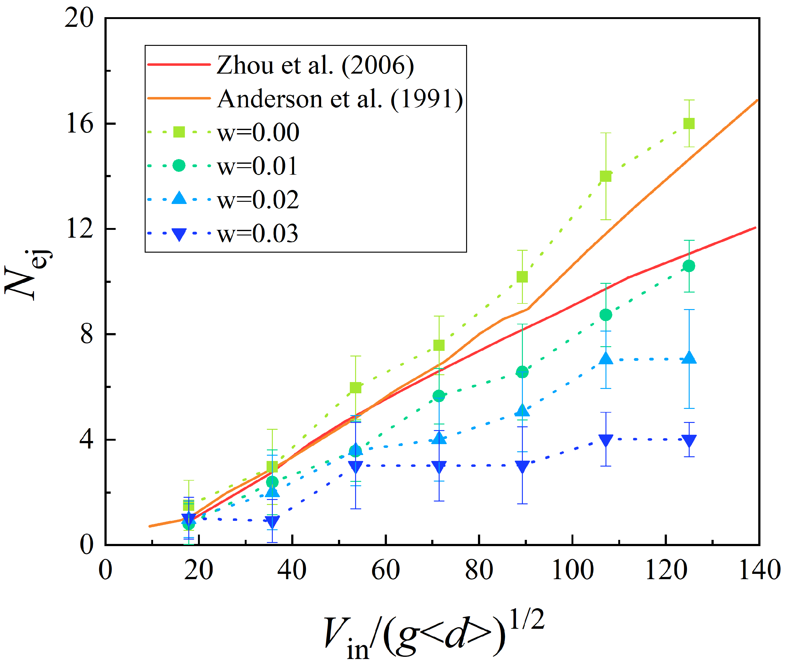
3.3. Statistical Analysis of Sand Grains
4. Conclusions
Author Contributions
Funding
Institutional Review Board Statement
Informed Consent Statement
Data Availability Statement
Conflicts of Interest
References
- Bagnold, R.A. The Physics of Blown Sand and Desert Dunes; Courier Corporation: Washington, DC, USA, 1942. [Google Scholar]
- Sherman, D.J.; Jackson, D.; Namikas, S.L.; Wang, J. Wind-blown sand on beaches: An evaluation of models. Geomorphology 1998, 22, 113–133. [Google Scholar] [CrossRef]
- Kroy, K.; Sauermann, G.; Herrmann, H.J. Minimal model for aeolian sand dunes. Phys. Rev. E Stat. Nonlinear Soft Matter Phys. 2002, 66, 031302. [Google Scholar] [CrossRef] [Green Version]
- Shao, Y. Physics and Modelling of Wind Erosion; Springer Science and Business Media: New York, NY, USA, 2009. [Google Scholar]
- Namikas, S.L.; Edwards, B.L.; Bitton, M.; Booth, J.L.; Zhu, Y. Temporal and spatial variabilities in the surface moisture content of a fine-grained beach—ScienceDirect. Geomorphology 2010, 114, 303–310. [Google Scholar] [CrossRef]
- Jackson, N.L.; Nordstrom, K.F. Effects of Time-dependent Moisture Content of Surface Sediments on Aeolian Transport Rates Across a Beach, Wildwood, New Jersey, U.S.A. Earth Surf. Process. Landf. 2015, 22, 611–621. [Google Scholar] [CrossRef]
- Smit, Y.; Ruessink, G.; Brakenho, L.B.; Donker, J. Measuring spatial and temporal variation in surface moisture on a coastal beach with a near-infrared terrestrial laser scanner. Aeolian Res. 2017, 31, 19–27. [Google Scholar] [CrossRef]
- Haines, W.B. Studies in the physical properties of soils: II. A note on the cohesion developed by capillary forces in an ideal soil1. J. Agric. Sci. 1925, 15, 529–535. [Google Scholar] [CrossRef]
- Fisher, R.A. On the Capillary Forces in an Ideal Soil; Correction of Formulae Given by W. B. Haines. J. Agric. Sci. 1926, 16, 492–505. [Google Scholar] [CrossRef]
- Bisal, F.; Hsieh, J. Influence of moisture on erodibility of soil by wind. Soil Sci. 1966, 102, 143–146. [Google Scholar] [CrossRef]
- Hotta, K.; Takeda, K.; Iinoya, K. The capillary binding force of a liquid bridge. Powder Technol. 1974, 10, 231–242. [Google Scholar] [CrossRef]
- Logie, M. Influence of roughness elements and soil moisture on the resistance of sand to wind erosion. Catena 1982, 1, 161–173. [Google Scholar]
- Mckenna-Neuman, C.; Nickling, W.G. A Theoretical and Wind Tunnel Investigation of the Effect of Capillary Water on the Entrainment of Sediment by Wind. Can. J. Soil Sci. 1989, 69, 79–96. [Google Scholar] [CrossRef]
- Namikas, S.L.; Sherman, D.J. A Review of the Effects of Surface Moisture Content on Aeolian Sand Transport; Desert Aeolian Processes; Springer: Dordrecht, The Netherlands, 1995. [Google Scholar]
- Liu, X.P.; Dong, Z.B. Wind Threshold Shear Velocities of Sands at Moistened State. Bull. Soil Water Conserv. 2002, 22, 1–4. [Google Scholar]
- Wang, Z.T. Influence of moisture on the entrainment of sand by wind. Powder Technol. 2006, 9270, 89–93. [Google Scholar] [CrossRef]
- Owen, P.R. Saltation of uniform grains in air. J. Fluid Mech. 1964, 20, 225. [Google Scholar] [CrossRef]
- Almeida, M.P.; Parteli, E.; Andrade, J.S., Jr.; Herrmann, H.J. Giant saltation on Mars. Proc. Natl. Acad. Sci. USA 2008, 105, 6222–6226. [Google Scholar] [CrossRef] [Green Version]
- Neuman, M.K.; Scott, M.M. A wind tunnel study of the influence of pore water on aeolian sediment transport. J. Arid Environ. 1998, 39, 403–419. [Google Scholar] [CrossRef]
- Han, Q.; Qu, J.; Liao, K.; Zhang, K.; Zu, R.; Niu, Q. A wind tunnel study of the parameters for aeolian sand transport above a wetted sand surface using sands from a tropical humid coastal region of southern China. Environ. Earth Sci. 2012, 67, 243–250. [Google Scholar] [CrossRef]
- Cornelis, W.M.; Oltenfreiter, G.; Gabriels, D.; Hartmann, R. Splash-Saltation of Sand due to Wind-Driven Rain: Vertical Deposition Flux and Sediment Transport Rate. Soil Sci. Soc. Am. J. 2004, 68, 32–40. [Google Scholar] [CrossRef]
- Dong, Z.; Wang, H.; Liu, X.; Wang, X. A wind tunnel investigation of the influences of fetch length on the flux profile of a sand cloud blowing over a gravel surface. Earth Surf. Process. Landf. 2004, 29, 1613–1626. [Google Scholar] [CrossRef]
- Dong, Z.; Mu, Q.; Liu, X. Defining the threshold wind velocity for moistened sediments. J. Geophys. Res. 2007, 112, 1–10. [Google Scholar] [CrossRef] [Green Version]
- Ishizuka, M.; Mikami, M.; Leys, J.; Yamada, Y.; Heidenreich, S.; Shao, Y.; Mctainsh, G.H. Effects of soil moisture and dried raindroplet crust on saltation and dust emission. J. Geophys. Res. Atmos. 2008, 113, D24212. [Google Scholar] [CrossRef] [Green Version]
- Han, Q.; Qu, J.; Zhang, K.; Zu, R.; Niu, Q.; Liao, K. Wind tunnel investigation of the influence of surface moisture content on the entrainment and erosion of beach sand by wind using sands from tropical humid coastal southern China. Geomorphology 2009, 104, 230–237. [Google Scholar] [CrossRef]
- Lv, P.; Dong, Z. The status of research on the development and characteristics of mass-flux-density profiles above wind-eroded sediments: A literature review. Environ. Earth Sci. 2014, 71, 5183–5194. [Google Scholar] [CrossRef]
- Bergametti, G.; Rajot, J.L.; Pierre, C.; Bouet, C.; Marticorena, B. How long does precipitation inhibit wind erosion in the Sahel? Geophys. Res. Lett. 2016, 43, 6643–6649. [Google Scholar] [CrossRef] [Green Version]
- Johnson, K.L.; Kendall, K.; Roberts, A.D. Surface Energy and the Contact of Elastic Solids. Proc. R. Soc. Lond. A Math. Phys. Sci. 1971, 324, 301–313. [Google Scholar]
- Savkoor, A.R.; Briggs, G.A.D. The Effect of Tangential Force on the Contact of Elastic Solids in Adhesion. Proc. R. Soc. A Math. 1977, 356, 103–114. [Google Scholar]
- Lian, G.; AdAms, M.J.; Thornton, C. Elastohydrodynamic collisions of solid spheres. J. Fluid Mech. 1996, 311, 141–152. [Google Scholar] [CrossRef]
- Radjai, F.; Topin, V.; Richefeu, V.; Voivret, C.; Youssoufi, S.E. Force Transmission in Cohesive Granular Media. Am. Inst. Phys. 2010, 1227, 240–259. [Google Scholar]
- Khan, A.; Afzal, A. Influence of initial stress and gravity on refraction and reflection of SV wave at interface between two viscoelastic liquid under three thermoelastic theories. J. Braz. Soc. Mech. Sci. Eng. 2018, 40, 1–13. [Google Scholar] [CrossRef]
- Khan, A.A.; Tanveer, S. Transmission and reflection of SV waves at micropolar solid–liquid interface with dual-phase lag theory. Indian J. Phys. 2021. [Google Scholar] [CrossRef]
- Anderson, R.S.; Haff, P.K. Wind Modification and Bed Response during Saltation of Sand in Air; Springer: Vienna, Austria, 1991. [Google Scholar]
- Zhou, Y.H.; Li, W.Q.; Zheng, X.J. Particle dynamics method simulations of stochastic collisions of sandy grain bed with mixed size in aeolian sand saltation. J. Geophys. Res. Atmos. 2006, 111, D15108. [Google Scholar] [CrossRef]
- Oger, L.; Ammi, M.; Valance, A.; Beladjine, D. Study of the collision of one rapid sphere on 3D packings: Experimental and numerical results. Comput. Math. Appl. 2008, 55, 132–148. [Google Scholar] [CrossRef]
- Lian, G.; Thornton, C.; Adams, M.J. Discrete particle simulation of agglomerate impact coalescence. Chem. Eng. Sci. 1998, 53, 3381–3391. [Google Scholar] [CrossRef]
- Xin, Y.A.; Ning, H.B.; Cong, J.A.; Ejrp, C.; Jie, Z.B. Splash function for the collision of sand-sized particles onto an inclined granular bed, based on discrete-element-simulations—ScienceDirect. Powder Technol. 2021, 378, 348–358. [Google Scholar]
- Lian, G.; Thornton, C.; Adams, M.J. A Theoretical Study of the Liquid Bridge Forces between Two Rigid Spherical Bodies. J. Colloid Interface Sci. 1993, 161, 138–147. [Google Scholar] [CrossRef]
- Goldman, A.J.; Cox, R.G.; Brenner, H. Slow viscous motion of a sphere parallel to a plane wall—I Motion through a quiescent fluid. Chem. Eng. Sci. 1967, 22, 637–651. [Google Scholar] [CrossRef]
- Cundall, P.A.; Strack, O. A discrete numerical model for granular assemblies. Géotechnique 1979, 29, 47–65. [Google Scholar] [CrossRef]
- Knuth, D.E. The Art of Computer Programming; China Machine Press: Beijing, China, 1976. [Google Scholar]
- Rice, M.A. An experimental study of multiple grain-size ejecta produced by collisions of saltating grains with a flat bed. Sedimentology 2010, 42, 695–706. [Google Scholar] [CrossRef]
- Willetts, B.B.; Rice, M.A. Collisions of quartz grains with a sand bed: The influence of incident angle. Earth Surf. Process. Landf. 1989, 14, 719–730. [Google Scholar] [CrossRef]
- Haff, P.K.; Anderson, R.S. Grain scale simulations of loose sedimentary beds: The example of grain-bed impacts in aeolian saltation. Sedimentology 2010, 40, 175–198. [Google Scholar] [CrossRef]
- Lu, N.; Likos, W.J. Unsaturated Soil Mechanics; John Wiley and Sons Inc.: Hoboken, NJ, USA, 2004. [Google Scholar]
- Chen, Y.X.; Huang, N.; Xu, B. An experimental study on splash functions of natural Sand-bed collision. J. Geophys. Res. Atmos. 2019, 124, 7226–7235. [Google Scholar] [CrossRef]










Publisher’s Note: MDPI stays neutral with regard to jurisdictional claims in published maps and institutional affiliations. |
© 2021 by the authors. Licensee MDPI, Basel, Switzerland. This article is an open access article distributed under the terms and conditions of the Creative Commons Attribution (CC BY) license (https://creativecommons.org/licenses/by/4.0/).
Share and Cite
Dun, H.; Yue, P.; Huang, N.; Zhang, J. Discrete Element Simulation on Sand-Bed Collision Considering Surface Moisture Content. Processes 2022, 10, 52. https://doi.org/10.3390/pr10010052
Dun H, Yue P, Huang N, Zhang J. Discrete Element Simulation on Sand-Bed Collision Considering Surface Moisture Content. Processes. 2022; 10(1):52. https://doi.org/10.3390/pr10010052
Chicago/Turabian StyleDun, Hongchao, Peng Yue, Ning Huang, and Jie Zhang. 2022. "Discrete Element Simulation on Sand-Bed Collision Considering Surface Moisture Content" Processes 10, no. 1: 52. https://doi.org/10.3390/pr10010052
APA StyleDun, H., Yue, P., Huang, N., & Zhang, J. (2022). Discrete Element Simulation on Sand-Bed Collision Considering Surface Moisture Content. Processes, 10(1), 52. https://doi.org/10.3390/pr10010052

