Assessing Usability of Smartwatch Digital Health Devices for Home Blood Pressure Monitoring among Glaucoma Patients
Abstract
1. Introduction
2. Materials and Methods
2.1. Study Population
2.2. Study Procedures and Data Collection
2.3. Statistical Analyses
3. Results
3.1. Study Cohort Characteristics
3.2. Digital Health Literacy
3.3. Usability Scores
3.4. Data Quality Metrics
3.5. Themes from Open-Ended Responses
4. Discussion
Author Contributions
Funding
Institutional Review Board Statement
Informed Consent Statement
Data Availability Statement
Conflicts of Interest
Appendix A. eHEALS Questionnaire
- I know what health resources are available on the internet.
- I know where to find helpful health resources on the internet.
- I know how to find helpful health resources on the internet.
- I know how to use the Internet to answer my questions about health.
- I know how to use the health information I find on the internet to help me.
- I have the skills I need to evaluate the health resources I find on the internet.
- I can tell high quality health resources from low quality health resources on the internet.
- I feel confident in using information from the internet to make health decisions.
Appendix B. SUS
- I think I would like to use this tool frequently.
- I found the tool unnecessarily complex.
- I thought the tool was easy to use.
- I think that I would need the support of a technical person to be able to use this system.
- I found the various functions in this tool were well integrated.
- I thought there was too much inconsistency in this tool.
- I would imagine that most people would learn to use this tool very quickly.
- I found the tool very cumbersome to use.
- I felt very confident using the tool.
- I needed to learn a lot of things before I could get going with this tool.
Appendix C. PSSUQ
- Overall, I am satisfied with how easy it is to use this system.
- It was simple to use this system.
- I was able to complete the tasks and scenarios quickly using this system.
- I felt comfortable using this system.
- It was easy to learn to use this system.
- I believe I could become productive quickly using this system.
- The system gave error messages that clearly told me how to fix problems.
- Whenever I made a mistake using the system, I could recover easily and quickly.
- The information (such as online help, on-screen messages, and other documentation) provided with the system was clear.
- It was easy for me to find the information I needed.
- The information was effective in helping me complete the tasks and scenarios.
- The organization of information on the system screens was clear.
- The interface of this system was pleasant.
- I liked using the interface of this system.
- This system has all the functions and capabilities I expect it to have.
- Overall, I am satisfied with this system.
Appendix D. Follow-Up Questionnaire
- How useful was the information from the wearable smartwatch device?
- How much discomfort did the device cause you?
- How much did the device disrupt your sleep?
- How much did this device disrupt your typical physical activities?
- How valuable was the information provided by this device regarding your health or fitness?
- How likely would you be to use the device outside the context of this research study?
References
- Weinreb, R.N.; Aung, T.; Medeiros, F.A. The Pathophysiology and Treatment of Glaucoma: A review. JAMA 2014, 311, 1901–1911. [Google Scholar] [CrossRef] [PubMed]
- Tham, Y.-C.; Li, X.; Wong, T.Y.; Quigley, H.A.; Aung, T.; Cheng, C.-Y. Global Prevalence of Glaucoma and Projections of Glaucoma Burden through 2040: A systematic review and meta-analysis. Ophthalmology 2014, 121, 2081–2090. [Google Scholar] [CrossRef] [PubMed]
- Medeiros, F.A.; Zangwill, L.M.; Bowd, C.; Mansouri, K.; Weinreb, R.N. The Structure and Function Relationship in Glaucoma: Implications for Detection of Progression and Measurement of Rates of Change. Investig. Opthalmology Vis. Sci. 2012, 53, 6939–6946. [Google Scholar] [CrossRef] [PubMed]
- Bonomi, L.; Marchini, G.; Marraffa, M.; Bernardi, P.; Morbio, R.; Varotto, A. Vascular Risk Factors for Primary Open Angle Glaucoma the Egna-Neumarkt Study. Ophthalmology 2000, 107, 1287–1293. [Google Scholar] [CrossRef]
- McMonnies, C.W. Glaucoma History and Risk Factors. J. Optom. 2016, 10, 71–78. [Google Scholar] [CrossRef]
- Dielemans, I.; Vingerling, J.R.; Wolfs, R.C.; Hofman, A.; Grobbee, D.E.; de Jong, P.T. The Prevalence of Primary Open-angle Glaucoma in a Population-based Study in The Netherlands. Ophthalmology 1994, 101, 1851–1855. [Google Scholar] [CrossRef]
- Mitchell, P.; Lee, A.J.; Rochtchina, E.; Wang, J.J. Open-Angle Glaucoma and Systemic Hypertension. The Blue Mountains Eye Study. J. Glaucoma 2004, 13, 319–326. [Google Scholar] [CrossRef]
- Leske, M.C.; Connell, A.M.S.; Wu, S.-Y.; Hyman, L.G.; Schachat, A.P. Risk Factors for Open-angle Glaucoma. The Barbados Eye Study. Arch. Ophthalmol. 1995, 113, 918–924. [Google Scholar] [CrossRef]
- Jin, S.W.; Seo, H.R.; Rho, S.S.; Rho, S.H. The Effects of Nocturnal Dip and Blood Pressure Variability on Paracentral Scotoma in Early Open-Angle Glaucoma. Semin. Ophthalmol. 2016, 32, 504–510. [Google Scholar] [CrossRef]
- He, Z.; Vingrys, A.J.; Armitage, J.A.; Bui, B.V. The Role of Blood Pressure in Glaucoma. Clin. Exp. Optom. 2011, 94, 133–149. [Google Scholar] [CrossRef]
- George, J.; MacDonald, T. Home Blood Pressure Monitoring. Eur. Cardiol. Rev. 2015, 10, 95. [Google Scholar] [CrossRef] [PubMed]
- Iannucci, G.; Petramala, L.; La Torre, G.; Barbaro, B.; Balsano, C.; Curatulo, P.G.; Amadei, F.; Paroli, M.; Concistrè, A.; Letizia, C. Evaluation of Tolerance to Ambulatory Blood Pressure Monitoring: Analysis of Dipping Profile in a Large Cohort of Hypertensive Patients. Medicine 2017, 96, e9162. [Google Scholar] [CrossRef] [PubMed]
- Tompson, A.C.; Ward, A.M.; McManus, R.J.; Perera, R.; Thompson, M.J.; Heneghan, C.J.; Nunan, D. Acceptability and Psychological Impact of Out-of-Office Monitoring to Diagnose Hypertension: An Evaluation of Survey Data from Primary Care Patients. Br. J. Gen. Pract. 2019, 69, e389–e397. [Google Scholar] [CrossRef] [PubMed]
- Collignon, N.; Dewe, W.; Guillaume, S.; Collignon-Brach, J. Ambulatory Blood Pressure Monitoring in Glaucoma Patients. The Nocturnal Systolic Dip and Its Relationship with Disease Progression. Int. Ophthalmol. 1998, 22, 19–25. [Google Scholar] [CrossRef]
- Kuwabara, M.; Harada, K.; Ba, Y.H.; Kario, K. Validation of two watch-type wearable blood pressure monitors according to the ANSI/AAMI/ISO81060-2:2013 guidelines: Omron HEM-6410T-ZM and HEM-6410T-ZL. J. Clin. Hypertens. 2019, 21, 853–858. [Google Scholar] [CrossRef] [PubMed]
- Francis, J.; Ball, C.; Kadylak, T.; Cotten, S.R. Aging in the Digital Age: Conceptualizing Technology Adoption and Digital Inequalities. In Ageing and Digital Technology; Neves, B.B., Vetere, F., Eds.; Springer: Singapore, 2019; pp. 35–49. [Google Scholar] [CrossRef]
- Sample, P.A.; Girkin, C.A.; Zangwill, L.M.; Jain, S.; Racette, L.; Becerra, L.M.; Weinreb, R.N.; Medeiros, F.A.; Wilson, M.R.; De León-Ortega, J.; et al. The African Descent and Glaucoma Evaluation Study (ADAGES): Design and baseline data. Arch. Ophthalmol. 2009, 127, 1136–1145. [Google Scholar] [CrossRef]
- Girkin, C.A.; Sample, P.A.; Liebmann, J.M.; Jain, S.; Bowd, C.; Becerra, L.M.; Medeiros, F.A.; Racette, L.; Dirkes, K.A.; Weinreb, R.N.; et al. African Descent and Glaucoma Evaluation Study (ADAGES): II. Ancestry differences in optic disc, retinal nerve fiber layer, and macular structure in healthy subjects. Arch. Ophthalmol. 2010, 128, 541–550. [Google Scholar] [CrossRef]
- Norman, C.D.; Skinner, H.A. eHEALS: The eHealth Literacy Scale. J. Med. Internet Res. 2006, 8, e27. [Google Scholar] [CrossRef]
- Klug, B. An Overview of the System Usability Scale in Library Website and System Usability Testing. Weav. J. Libr. User Exp. 2017, 1. [Google Scholar] [CrossRef]
- Lewis, J.R. The System Usability Scale: Past, Present, and Future. Int. J. Human-Computer Interact. 2018, 34, 577–590. [Google Scholar] [CrossRef]
- Lewis, J.R. Psychometric Evaluation of the Post-Study System Usability Questionnaire: The PSSUQ. In Proceedings of the Human Factors Society 36th Annual Meeting, Los Angeles, GA, USA, 12–16 October 1992. [Google Scholar] [CrossRef]
- Ghazi, L.; Oparil, S. Impact of the SPRINT Trial on Hypertension Management. Annu. Rev. Med. 2018, 69, 81–95. [Google Scholar] [CrossRef] [PubMed]
- Ruiz-Hurtado, G.; Banegas, J.R.; Sarafidis, P.A.; Volpe, M.; Williams, B.; Ruilope, L.M. Has the SPRINT Trial Introduced a New Blood-Pressure Goal in Hypertension? Nat. Rev. Cardiol. 2017, 14, 560–565. [Google Scholar] [CrossRef] [PubMed]
- De Moraes, C.G.; Cioffi, G.A.; Weinreb, R.N.; Liebmann, J.M. New Recommendations for the Treatment of Systemic Hypertension and their Potential Implications for Glaucoma Management. J. Glaucoma 2018, 27, 567–571. [Google Scholar] [CrossRef] [PubMed]
- Méndez-Ulrich, J.L.; Sanz, A.; Feliu-Soler, A.; Álvarez, M.; Borràs, X. Could White Coat Ocular Hypertension Affect to the Accuracy of the Diagnosis of Glaucoma? Relationships Between Anxiety and Intraocular Pressure in a Simulated Clinical Setting. Appl. Psychophysiol. Biofeedback 2017, 43, 49–56. [Google Scholar] [CrossRef] [PubMed]
- Massoomi, M.R.; Handberg, E.M. Increasing and Evolving Role of Smart Devices in Modern Medicine. Eur. Cardiol. Rev. 2019, 14, 181–186. [Google Scholar] [CrossRef]
- Lewis, J.R.; Sauro, J. Item Benchmarks for the System Usability Scale. J. Usability Stud. 2018, 13, 158–167. [Google Scholar]
- Melnick, E.R.; Dyrbye, L.N.; Sinsky, C.A.; Trockel, M.; West, C.P.; Nedelec, L.; Tutty, M.A.; Shanafelt, T. The Association Between Perceived Electronic Health Record Usability and Professional Burnout Among US Physicians. Mayo Clin. Proc. 2020, 95, 476–487. [Google Scholar] [CrossRef]
- Baxter, S.L.; Marks, C.; Kuo, T.-T.; Ohno-Machado, L.; Weinreb, R.N. Machine Learning-Based Predictive Modeling of Surgical Intervention in Glaucoma Using Systemic Data from Electronic Health Records. Am. J. Ophthalmol. 2019, 208, 30–40. [Google Scholar] [CrossRef]
- Baxter, S.L.; Saseendrakumar, B.R.; Paul, P.; Kim, J.; Bonomi, L.; Kuo, T.-T.; Loperena, R.; Ratsimbazafy, F.; Boerwinkle, E.; Cicek, M.; et al. Predictive Analytics for Glaucoma Using Data from the All of Us Research Program. Am. J. Ophthalmol. 2021, 227, 74–86. [Google Scholar] [CrossRef]
- Vaportzis, E.; Clausen, M.G.; Gow, A.J. Older Adults Perceptions of Technology and Barriers to Interacting with Tablet Computers: A Focus Group Study. Front. Psychol. 2017, 8, 1687. [Google Scholar] [CrossRef]
- Lee, S. Analysis of the Effects of Smart Devices on Digital Divide in America. J. Korean Libr. Inf. Sci. Soc. 2012, 43, 29–52. [Google Scholar] [CrossRef]
- Seifert, A.; Cotten, S.R.; Xie, B. A Double Burden of Exclusion? Digital and Social Exclusion of Older Adults in Times of COVID-19. J. Gerontol. Ser. B Psychol. Sci. Soc. Sci. 2020, 76, e99–e103. [Google Scholar] [CrossRef] [PubMed]
- Wang, S.; Bolling, K.; Mao, W.; Reichstadt, J.; Jeste, D.; Kim, H.-C.; Nebeker, C. Technology to Support Aging in Place: Older Adults’ Perspectives. Healthcare 2019, 7, 60. [Google Scholar] [CrossRef] [PubMed]
- Van der Velden, M.; Mörtberg, C. Participatory Design and Design for Values. Handb. Ethics Values Technol. Des. Sources Theory Values Appl. Domains 2014, 41–66. [Google Scholar] [CrossRef]
- For Vast Majority of Seniors Who Own One, a Smartphone Equals “Freedom”. Pew Research Center. Available online: https://www.pewresearch.org/fact-tank/2015/04/29/seniors-smartphones (accessed on 15 June 2022).
- Rodeschini, G. Gerotechnology: A New Kind of Care for Aging? An Analysis of the Relationship Between Older People and Technology. Nurs. Health Sci. 2011, 13, 521–528. [Google Scholar] [CrossRef] [PubMed]
- Mahoney, D.F. An Evidence-Based Adoption of Technology Model for Remote Monitoring of Elders’ Daily Activities. Ageing Int. 2010, 36, 66–81. [Google Scholar] [CrossRef]
- Albrecht, L.; Wood, P.W.; Fradette, M.; McAlister, F.A.; Rabi, D.; Boulanger, P.; Padwal, R. Usability and Acceptability of a Home Blood Pressure Telemonitoring Device Among Community-Dwelling Senior Citizens with Hypertension: Qualitative Study. JMIR Aging 2018, 1, e10975. [Google Scholar] [CrossRef]
- De Marchi, B.; Frigerio, M.; De Nadai, S.; Longinotti-Buitoni, G.; Aliverti, A. Blood Pressure Continuous Measurement through a Wearable Device: Development and Validation of a Cuffless Method. Sensors 2021, 21, 7334. [Google Scholar] [CrossRef]
- Pena-Hernandez, C.; Nugent, K.; Tuncel, M. Twenty-Four-Hour Ambulatory Blood Pressure Monitoring. J. Prim. Care Community Health 2020, 11, 2150132720940519. [Google Scholar] [CrossRef]


| Number (%) | |
|---|---|
| Mean age (SD) in years | 66.1 (8.5) |
| Gender | |
| Male | 17 (33%) |
| Female | 34 (67%) |
| Ethnicity | |
| Not Hispanic or Latino | 46 (90%) |
| Hispanic or Latino | 3 (6%) |
| Not Reported | 2 (4%) |
| Race | |
| White | 29 (57%) |
| Black/African American | 11 (22%) |
| Asian | 9 (18%) |
| Native American/Alaskan Native | 1 (2%) |
| More than one race | 1 (2%) |
| Mean (SD) eHEALS Score | p-Value a | |
|---|---|---|
| Age | 0.11 | |
| 55 and under | 32.8 (4.8) | |
| 56–65 | 31.8 (2.7) | |
| 66–75 | 31.9 (5.6) | |
| 76 and older | 27.0 (3.6) | |
| Gender | 0.83 | |
| Male | 31.4 (5.6) | |
| Female | 31.7 (4.6) | |
| Race | 0.89 | |
| White Black/African American | 31.9 (4.5) 31.3 (6.5) | |
| Asian | 31.3 (4.8) | |
| American Indian/Alaskan | 27.0 (0) | |
| More than one race | 33.0 (0) |
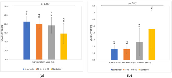
| Mean (SD) SUS Score | Mean (SD) PSSUQ Score | |||
|---|---|---|---|---|
| p-Value a | p-Value a | |||
| Age b | 0.006 ** | 0.017 ** | ||
| 55 and under | 85.5 (12.8) | 1.7 (0.5) | ||
| 56–65 | 80.4 (10.2) | 1.6 (0.6) | ||
| 66–75 | 77.2 (17.8) | 2.7 (2.0) | ||
| 76 and older | 58.8 (22.9) | 4.6 (2.8) | ||
| Gender | 0.94 | 0.90 | ||
| Male | 77.6 (21.1) | 2.5 (2.0) | ||
| Female | 77.3 (14.7) | 2.4 (1.8) | ||
| Race | 0.34 | 0.83 | ||
| White | 77.3 (16.0) | 2.3 (1.8) | ||
| Black/African American | 76.1 (21.9) | 2.4 (1.9) | ||
| Asian | 80.6 (10.4) | 3.0 (2.3) | ||
| American Indian/Alaskan | 95.0 (0) | 1.2 (0) | ||
| More than one race | 47.5 (0) | 3.2 (0) | ||
| Themes | Comments |
|---|---|
| Lack of Technological Skill | “I had problems with pairing the device. I had to stop and reboot it frequently. Sometimes I’d have to try a few times to get a reading and needed to adjust my arm. I think part of it was that I am not that technically savvy.” |
| “It was difficult to keep it charged.” | |
| “Not comfortable with installing apps or having to add information to the log sheet, and had a lot of error codes on the watch.” “Had difficulty using the app and monitor.” | |
| Uncomfortable/Improper Fit | “Would be more likely to use if the device was smaller.” |
| “Concerned about the durability of the interior of the cuff. It is flimsy and needs better durability.” Not used to wearing a watch and found it binding. “The watch is way too big.” “The monitor is size M and I think a small one would be better. My wrist is 5.8 inches. The monitor tended to slip around quite a lot. I have several ‘errors’ and ‘irregular heartbeats’ and am not sure if it is because it’s too big. The measurements were always quite different compared to my Omron cuff device.” “Watch is too chunky.” “The fit was not conducive, maybe a velcro band to make it more flexible.” | |
| Unable to Troubleshoot | “It didn’t register all the steps.” “It did not register readings correctly, came up with code 2, talking, without talking.” “Too difficult to find the correct position for taking a measurement.” “The manual does not have a description and solution for all error codes. No clear instructions on how to take action in certain situations. The display also disappears too quickly.” |
Publisher’s Note: MDPI stays neutral with regard to jurisdictional claims in published maps and institutional affiliations. |
© 2022 by the authors. Licensee MDPI, Basel, Switzerland. This article is an open access article distributed under the terms and conditions of the Creative Commons Attribution (CC BY) license (https://creativecommons.org/licenses/by/4.0/).
Share and Cite
Bhanvadia, S.B.; Brar, M.S.; Delavar, A.; Tavakoli, K.; Radha Saseendrakumar, B.; Weinreb, R.N.; Zangwill, L.M.; Baxter, S.L. Assessing Usability of Smartwatch Digital Health Devices for Home Blood Pressure Monitoring among Glaucoma Patients. Informatics 2022, 9, 79. https://doi.org/10.3390/informatics9040079
Bhanvadia SB, Brar MS, Delavar A, Tavakoli K, Radha Saseendrakumar B, Weinreb RN, Zangwill LM, Baxter SL. Assessing Usability of Smartwatch Digital Health Devices for Home Blood Pressure Monitoring among Glaucoma Patients. Informatics. 2022; 9(4):79. https://doi.org/10.3390/informatics9040079
Chicago/Turabian StyleBhanvadia, Sonali B., Manreet S. Brar, Arash Delavar, Kiana Tavakoli, Bharanidharan Radha Saseendrakumar, Robert N. Weinreb, Linda M. Zangwill, and Sally L. Baxter. 2022. "Assessing Usability of Smartwatch Digital Health Devices for Home Blood Pressure Monitoring among Glaucoma Patients" Informatics 9, no. 4: 79. https://doi.org/10.3390/informatics9040079
APA StyleBhanvadia, S. B., Brar, M. S., Delavar, A., Tavakoli, K., Radha Saseendrakumar, B., Weinreb, R. N., Zangwill, L. M., & Baxter, S. L. (2022). Assessing Usability of Smartwatch Digital Health Devices for Home Blood Pressure Monitoring among Glaucoma Patients. Informatics, 9(4), 79. https://doi.org/10.3390/informatics9040079

