Smart Energy Transition: An Evaluation of Cities in South Korea
Abstract
1. Introduction
2. Smart City and Smart Energy System
2.1. Smart City Concept
2.2. Energy Transition and Smart Energy System
2.3. Theoretical Framework
3. Smart City Development in South Korea
3.1. Smart City and Energy Policy
3.2. Smart Cities in South Korea
- First-wave smart city (SC1): U-Cities developed from 2009 to 2013 and smart city projects by LH and local governments focusing on transportation and security sectors.
- Second-wave smart city (SC2): Smart city projects providing comprehensive urban management services, including transportation information, facility management, security and disaster prevention, health and welfare, administration, and environment (including ongoing smart city projects.
- Non-smart cities (NSC): None of the above.
4. Methodology
4.1. Methods and Limitation
4.2. Constructing a Smart Energy Transition Index
- Renewable energy production *: There is provincial-level data on renewable energy production but not at the city-level. We divided provincial data by the number of cities in each province. Renewable energy sources include solar, photovoltaic, wind, hydro, geothermal, and biomass power.
- Smart grid *: The data available for a smart grid is the energy storage system (ESS) and advanced metering infrastructure (AMI) supply which are available at provincial level so we divided the data by the number of cities in each province. In addition, we found data on smart grid projects at smartgrid.or.kr. as well as ESS projects from DOE Global Energy Storage Database. We use multiple sources of data to triangulate the smart grid penetration.
- Civil initiatives in the energy sector: There are three forms of civil initiatives: cooperatives, social enterprise, and town enterprise. It is possible to access the full list of these initiatives and extract the ones specializing in the renewable energy sector. Most of them support residents in installing or renting solar paneling.
- Energy-saving behaviors *: This represents how much people try to reduce energy consumption in their daily lives. The data comes from the social survey which asks whether people try to use public transportation, participate in recycling, use fewer disposable goods, buy eco-friendly goods, and participate in energy conservation campaigns. These questions are asked on a scale of 1 to 5 with 5 being they are always participating and 1 being never or not interested. All provinces except for Gangwon, Chungnam, Jeonnam, and Gyeongnam have city-level data on each energy conservation behavior (n = 87). Gangwon, Chungnam, Jeonnam, and Gyeongnam (n = 74) provide only provincial-level data. It is risky to remove all missing cases, so we used provincial-level data as each city’s data.
- Energy consumption per capita: Energy consumption means electricity use. The Korean Statistical Information Service (KOSIS) provides city-level data on electricity usage and is divided into four purposes of use: home, public, service, and industry. We excluded industrial (agriculture, fisheries, forestry and mining, and manufacture) electricity use because those facilities are usually built outside the city. Only home, public, and service usage are considered. The total amount of electricity consumption is divided by the population.
- R&D budget for technology: The percent of R&D budget earmarked for technology (technology development, R&D and scientific technology in general) in the local government’s annual budget is used.
- Rules and regulations: Elis.go.kr provides a full list of each city’s current ordinances, rules, and regulations. We count the number of ordinances and rules that are related to energy. The titles that frequently appeared include ‘Energy Basic Ordinance’, ‘Ordinance on Green Roof’, ‘Ordinance on Response to Climate Change’, ‘Ordinance on Low-Carbon Green Growth’, and ‘Ordinance on Renewable Energy Provision’.
- Urban characteristics: As discussed in Section 2.3, the variables of the inherent smartness of the city are included in the analysis. These variables are population, financial independence ratio (FIR), gross regional domestic production (GRDP) per capita, and urbanized area per capita. The population represents the city’s size while GRDP per capita represents the economic status of the city. FIR shows to what extent the local government has the financial means to provide public services and the urbanized area represent the urban infrastructure and density of the city.
4.3. Analysis
- The data for each group is normally distributed (normality).
- The data for each group has a common variance (homogeneity in variance).
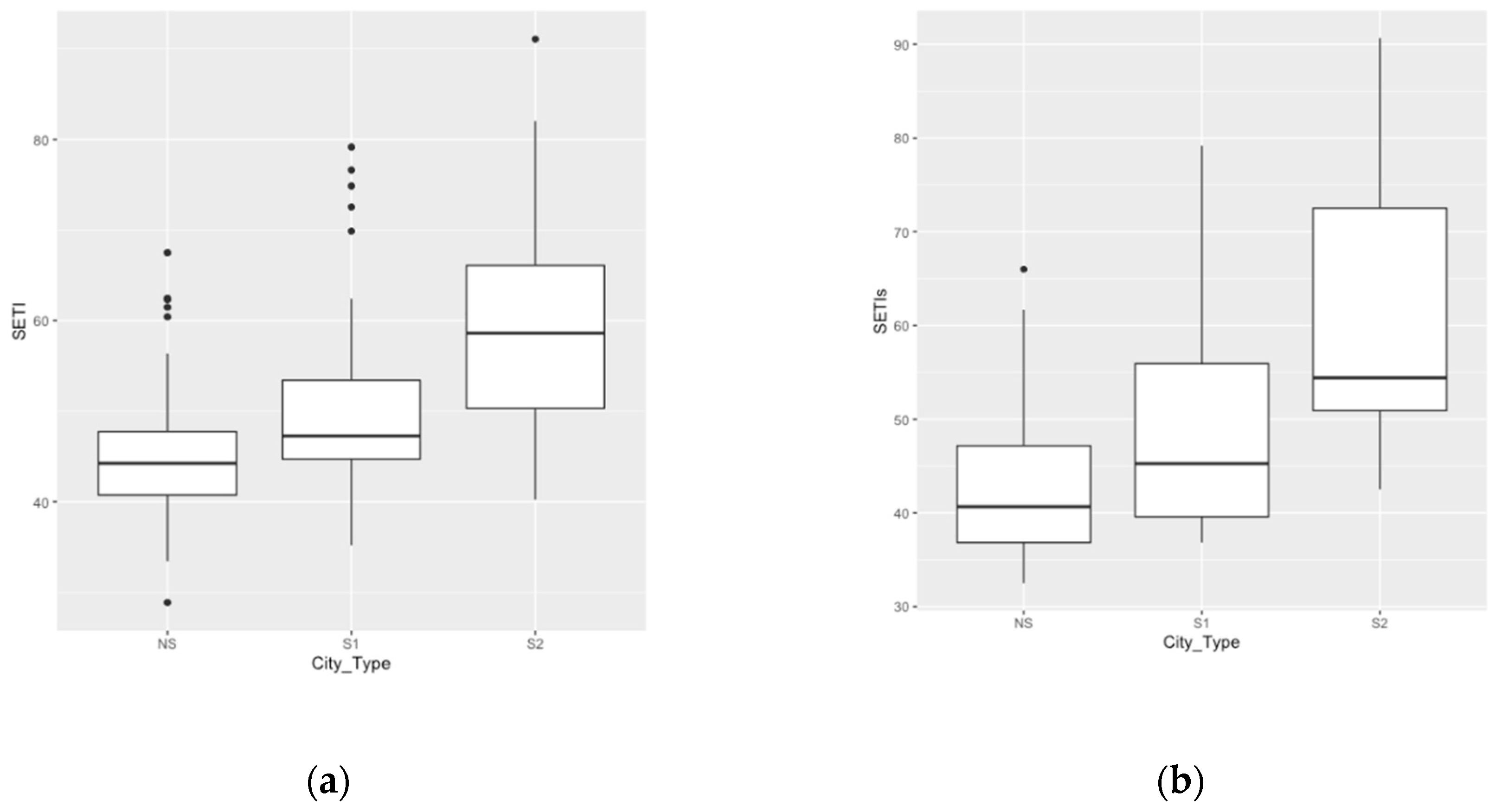
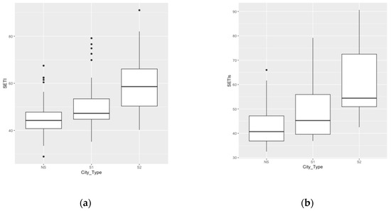
4.4. Findings of the Analysis
5. Conclusions
- There is a statistically significant difference in the mean index score among city groups.
- SC2 scored the highest, followed by SC1, and NSC.
- There were exceptional cases where an NSC was included in the top 10 cities and two SC1s were included in the bottom 10 cities.
- There is a positive correlation between population and FIR with the index score, and a negative correlation between the urbanized area per capita and the index score.
Author Contributions
Funding
Conflicts of Interest
List of Acronyms
| Acronym | Term |
| ICT | Information and Communication Technology |
| IoT | Internet of Things |
| GPS | Global Positioning System |
| U-city | Ubiquitous city |
| SC1 | First wave smart city |
| SC2 | Second wave smart city |
| NSC | Non-smart city |
| ESS | Energy storage system |
| AMI | Advanced metering infrastructure |
| RE | Renewable energy generation |
| SG | Smart gird |
| CI | Citizen initiatives in the energy sector |
| EB | Energy conservation behavior |
| EC | Energy consumption |
| RB | R&D budget for technology |
| RR | Rules and regulations on the energy sector |
| PP | Population |
| FI | FIR: financial independent ratio |
| GR | Gross regional domestic production per capita |
| UA | Urbanized area per capita |
References
- Neirotti, P.; de Marco, A.; Cagliano, A.C.; Mangano, G.; Scorrano, F. Current trends in smart city initiatives: Some stylised facts. Cities 2014, 38, 25–36. [Google Scholar] [CrossRef]
- Nam, T.; Pardo, T.A. Conceptualizing smart city with dimensions of technology, people, and institutions. In Proceedings of the 12th Annual International Digital Government Research Conference: Digital Government Innovation in Challenging Times, College Park, MD, USA, 12–15 June 2011; pp. 282–291. [Google Scholar]
- Ng, S.T.; Xu, F.J.; Yang, Y.; Lu, M. A Master Data Management Solution to Unlock the Value of Big Infrastructure Data for Smart, Sustainable and Resilient City Planning. Procedia Eng. 2017, 196, 939–947. [Google Scholar] [CrossRef]
- Talari, S.; Shafie-Khah, M.; Siano, P.; Loia, V.; Tommasetti, A.; Catalão, J.P.S. A review of smart cities based on the internet of things concept. Energies 2017, 10, 421. [Google Scholar] [CrossRef]
- Silva, B.N.; Khan, M.; Jung, C.; Seo, J.; Muhammad, D.; Han, J.; Yoon, Y.; Han, K. Urban planning and smart city decision management empowered by real-time data processing using big data analytics. Sensors 2018, 18, 2994. [Google Scholar] [CrossRef]
- Paskaleva, K.; Evans, J.; Martin, C.; Linjordet, T.; Yang, D.; Karvonen, A. Data Governance in the Sustainable Smart City. Informatics 2017, 4, 41. [Google Scholar] [CrossRef]
- Giest, S. Big data analytics for mitigating carbon emissions in smart cities: Opportunities and challenges. Eur. Plan. Stud. 2017, 25, 941–957. [Google Scholar] [CrossRef]
- IPCC. Climate Change 2014: Mitigation of Climate Change; Cambridge University Press: Cambridge, UK, 2015; Volume 3. [Google Scholar]
- Bridge, G.; Bouzarovski, S.; Bradshaw, M.; Eyre, N. Geographies of energy transition: Space, place and the low-carbon economy. Energy Policy 2013, 53, 331–340. [Google Scholar] [CrossRef]
- Rutherford, J.; Coutard, O. Urban Energy Transitions: Places, Processes and Politics of Socio-technical Change. Urban Stud. 2014, 51, 1353–1377. [Google Scholar] [CrossRef]
- Ou, T.C. Design of a Novel Voltage Controller for Conversion of Carbon Dioxide into Clean Fuels Using the Integration of a Vanadium Redox Battery with Solar Energy. Energies 2018, 11, 524. [Google Scholar] [CrossRef]
- Ou, T.C.; Hong, C.M. Dynamic operation and control of microgrid hybrid power systems. Energy 2014, 66, 2014. [Google Scholar] [CrossRef]
- Navarro, J.L.A.; Ruiz, V.R.L.; Peña, D.N. The effect of ICT use and capability on knowledge-based cities. Cities 2017, 60, 272–280. [Google Scholar] [CrossRef]
- Debnath, A.K.; Chin, H.C.; Haque, M.M.; Yuen, B. A methodological framework for benchmarking smart transport cities. Cities 2014, 37, 47–56. [Google Scholar] [CrossRef]
- Snow, C.C.; Hakonsson, D.D.; Obel, B. A Smart City Is a Collaborative Community: Lessons from Smart Aarhus. Calif. Manag. Rev. 2016, 59, 92–108. [Google Scholar] [CrossRef]
- Hara, M.; Nagao, T.; Hannoe, S.; Nakamura, J. New key performance indicators for a smart sustainable city. Sustainability 2016, 8, 206. [Google Scholar] [CrossRef]
- Geels, F.W.; Schwanen, T.; Sorrell, S.; Jenkins, K.; Sovacool, B.K. Reducing energy demand through low carbon innovation: A sociotechnical transitions perspective and thirteen research debates. Energy Res. Soc. Sci. 2018, 40, 23–35. [Google Scholar] [CrossRef]
- Alam, M.; Porras, J. Architecting and Designing Sustainable Smart City Services in a Living Lab Environment. Technologies 2018, 6, 99. [Google Scholar] [CrossRef]
- Hollands, R.G. Will the real smart city please stand up? Intelligent, progressive or entrepreneurial? City 2008, 12, 303–320. [Google Scholar] [CrossRef]
- Meijer, A.; Bolivar, M. Governing the Smart City: Scaling-Up the Search for Socio-Techno Synergy. Int. Rev. Adm. Sci. 2016, 82, 392–408. [Google Scholar] [CrossRef]
- Yigitcanlar, T.; Kamruzzaman, M.; Buys, L.; Ioppolo, G.; Sabatini-Marques, J.; da Costa, E.M.; Yun, J.J. Understanding ‘smart cities’: Intertwining development drivers with desired outcomes in a multidimensional framework. Cities 2018, 81, 145–160. [Google Scholar] [CrossRef]
- Kummitha, R.K.R.; Crutzen, N. How do we understand smart cities? An evolutionary perspective. Cities 2017, 67, 43–52. [Google Scholar] [CrossRef]
- Bakici, T.; Almirall, E.; Wareham, J. A smart city initiative: The case of Barcelona. J. Knowl. Econ. 2013, 4, 135–148. [Google Scholar] [CrossRef]
- Toppeta, D. The smart city vision: How innovation and ICT can build smart, ‘livable’, sustainable cities. Think Rep. 2010, 5, 1–9. [Google Scholar]
- Wagner, S.; Brandt, T.; Neumann, D. Smart City Planning-Developing an Urban Charging Infrastructure for Electric Vehicles. In Proceedings of the European Conference on Information Systems (ECIS), Tel Aviv, Israel, 9–11 June 2014; pp. 1–15. [Google Scholar]
- Trindade, E.P.; Hinnig, M.P.F.; da Costa, E.M.; Marques, J.S.; Bastos, R.C.; Yigitcanlar, T. Sustainable development of smart cities: A systematic review of the literature. J. Open Innov. Technol. Mark. Complex. 2017, 3, 11. [Google Scholar] [CrossRef]
- Hollands, R.G. Critical interventions into the corporate smart city. Camb. J. Reg. Econ. Soc. 2015, 8, 61–77. [Google Scholar] [CrossRef]
- Wiig, A. IBM’s smart city as techno-utopian policy mobility. City 2015, 19, 258–273. [Google Scholar] [CrossRef]
- Schaffers, H.; Komninos, N.; Pallot, M.; Trousse, B.; Nilsson, M.; Oliveira, A. Smart cities and the future internet: Towards cooperation frameworks for open innovation. In The Future Internet Assembly; Springer: Berlin, Germany, 2011; pp. 431–446. [Google Scholar]
- Washburn, D.; Sindhu, U.; Balaouras, S.; Dines, R.A.; Hayes, N.; Nelson, L.E. Helping CIOs understand ‘smart city’ initiatives. Growth 2009, 17, 1–17. [Google Scholar]
- Cimmino, A.; Pecorella, T.; Fantacci, R.; Granelli, F.; Rahman, T.F.; Sacchi, C.; Carlini, C.; Harsh, P. The role of small cell technology in future Smart City applications. Trans. Emerg. Telecommun. Technol. 2014, 25, 11–20. [Google Scholar] [CrossRef]
- Romanelli, M. E-city councils within Italian smart cities. In Proceedings of the Ifkad 2013 8th Int. Forum Knowl. Asset Dyn. Smart Growth Organ. Cities Communities, Zagreb, Croatia, 12–14 June 2013; pp. 390–406. [Google Scholar]
- Stratigea, A. The concept of ‘smart cities’. Towards community development? Netcom Réseaux Commun. Territ. 2012, 26, 375–388. [Google Scholar] [CrossRef]
- Gil-Garcia, J.R.; Zhang, J.; Puron-Cid, G. Conceptualizing smartness in government: An integrative and multi-dimensional view. Gov. Inf. Q. 2016, 33, 524–534. [Google Scholar] [CrossRef]
- Kanter, R.M.; Litow, S.S. Informed and Interconnected: A Manifesto for Smarter Cities. Harvard Business School Working Paper. 2009, 09–141, 1–27. [Google Scholar]
- Partridge, H.L. Developing a Human Perspective to the Digital Divide in the ‘Smart City’. In Proceedings of the ALIA 2014 Biennial Conference (Australian Library and Information Association), Gold Coast, QLD, Australia, 21–24 September 2004; pp. 1–7. [Google Scholar]
- Barns, S.; Cosgrave, E.; Acuto, M.; Mcneill, D. Digital infrastructures and urban governance. Urban Policy Res. 2017, 35, 20–31. [Google Scholar] [CrossRef]
- Odendaal, N. Information and communication technology and local governance: Understanding the difference between cities in developed and emerging economies. Comput. Environ. Urban Syst. 2003, 27, 585–607. [Google Scholar] [CrossRef]
- Kylili, A.; Fokaides, P.A. European smart cities: The role of zero energy buildings. Sustain. Cities Soc. 2015, 15, 86–95. [Google Scholar] [CrossRef]
- Mosannenzadeh, F.; Vettorato, D. Defining smart city: A Conceptual Framework Based on Keyword Analysis. TeMA J. Land Use Mobil. Environ. 2014, 684–694. [Google Scholar]
- Calvillo, C.F.; Sánchez-Miralles, A.; Villar, J. Energy management and planning in smart cities. Renew. Sustain. Energy Rev. 2016, 55, 273–287. [Google Scholar] [CrossRef]
- Seyfang, G.; Haxeltine, A. Growing Grassroots Innovations: Exploring the Role of Community-Based Initiatives in Governing Sustainable Energy Transitions. Environ. Plan. C 2012, 30, 381–400. [Google Scholar] [CrossRef]
- Grubler, A. Energy transitions research: Insights and cautionary tales. Energy Policy 2012, 50, 8–16. [Google Scholar] [CrossRef]
- Shahrokni, H.; Lazarevic, D.; Brandt, N. Smart Urban Metabolism: Towards a Real-Time Understanding of the Energy and Material Flows of a City and Its Citizens. J. Urban Technol. 2015, 22, 65–86. [Google Scholar] [CrossRef]
- Mosannenzadeh, F.; di Nucci, M.R.; Vettorato, D. Identifying and prioritizing barriers to implementation of smart energy city projects in Europe: An empirical approach. Energy Policy 2017, 105, 191–201. [Google Scholar] [CrossRef]
- Florida, R. Cities and the Creative Class; Routledge: London, UK, 2005. [Google Scholar]
- Baek, N. Strategy for Constructing Smart City Infrastructure. KOTI Spec. Ed. 2017, 2, 13–20. [Google Scholar]
- Yun, S. The Ideological Basis and the Reality of ‘Low Carbon Green Growth’. ECO 2009, 13, 219–266. [Google Scholar]
- Park, G.; Gang, M.; Lee, S. Establishing Seoul Smart City Model: A Policy Recommendation for Successful Seoul Smart City; Seoul Digital Foundation: Seoul, Korea, 2018. [Google Scholar]
- OECD. Handbook on Constructing Composite Indicators: Methodology and User Guide—OECD; OECD: Ispra, Italy, 2008. [Google Scholar]
- Shen, L.; Huang, Z.; Wong, S.W.; Liao, S.; Lou, Y. A holistic evaluation of smart city performance in the context of China. J. Clean. Prod. 2018, 200, 667–679. [Google Scholar] [CrossRef]
- Lund, H.; Østergaard, P.A.; Connolly, D.; Mathiesen, B.V. Smart energy and smart energy systems. Energy 2017, 137, 556–565. [Google Scholar] [CrossRef]





| Smart City Drivers | Traditional Energy System | → | New Energy System | ||||
|---|---|---|---|---|---|---|---|
| Energy Production | Energy Distribution & Storage | Energy Consumption | → | Energy Production | Energy Distribution & Storage | Energy Consumption | |
| Technology | 〇 | 〇 | × | → | 〇 | 〇 | △ |
| Community | × | × | 〇 | → | △ | △ | 〇 |
| Policy | 〇 | 〇 | △ | → | △ | △ | △ |
| Smart City Drivers | Contribution to Energy Transition |
|---|---|
| Technology |
|
| Community |
|
| Policy |
|
| Government | Year | Smart City | U-City (U-eco City) |
|---|---|---|---|
| Roh, Moo-hyun | 2003–2008 | 18 | 114 |
| Lee, Myung-bak | 2008–2013 | 126 | 175 |
| Park, Geun-hye | 2013–2017 | 525 | 66 |
| Moon, Jae-in | 2017–Present | 759 | 23 |
| Category | U-City | Smart City |
|---|---|---|
| Major Focus | Connected infrastructure (network) Focus on technology | Social infrastructure (human and social capital) Focus on functionality |
| Goal | Urban informatization (efficiency) | Urban intelligence (usability) |
| Solutions to Urban Problems | Ready-made procedure | Prescription based on data |
| Initiative | Top-down City focused and government-led Vertical collaboration | Bottom-up Citizen participation and multi-stakeholder Horizontal collaboration |
| Implementation/Operation | Limited urban services in telecommunication, security and disaster prevention Mostly implemented in newly developed cities Citizens adapt to provided urban services | Various urban services in administration, transportation, energy, water management, welfare, and environment Can be implemented in both new and old cities Provide citizen-centred urban services |
| City Type | SC1 | SC2 | NSC | |
|---|---|---|---|---|
| Metropolitan Cities (Including special districts) | Busan, Daegu, Gwangju, Ulsan, Jeju-do (5) | Seoul, Incheon, Daejeon, Sejong (4) | (0) | |
| Do (Province) | Gyeonggi | Uijeongbu-si, Bucheon-si, Gwangmyeong-si, Pyeongtaek-si, Ansan-si, Goyang-si, Namyangju-si, Osan-si, Siheung-si, Hanam-si, Icheon-si, Anseong-si, Gimpo-si, (13) | Suwon-si, Seongnam-si, Yongin-si, Paju-si, Hwaseong-si, Yangju-si (6) | (12) |
| Gangwon | Wonju-si, Gangneung-si, Samcheok-si (3) | - | (15) | |
| Chungbuk | Cheongju-si, Chungju-si, Jecheon-si, Jincheon-gun, Emseong-gun (5) | - | (6) | |
| Chungnam | Boryeong-si, Gyeryong-si, Hongseong-gun (3) | Cheonan-si, Asansi (2) | (10) | |
| Jeonbuk | Jeonju-si, Wanju-gun (2) | - | (12) | |
| Jeonnam | Yeosu-si, Naju-si (2) | - | (20) | |
| Gyeongbuk | Gyeongju-si, Gimcheon-si, Gumi-si, Yeongju-si, Yeongyang-gun (5) | - | (18) | |
| Gyeongnam | Changwon-si, Jinju-si, Gimhae-si, Yansgsan-si (4) | - | (14) | |
| Total | 42 | 12 | 107 | |
| Dimensions | Category | Indicator | Year | Unit | ||
|---|---|---|---|---|---|---|
| Technology | Renewable energy production * | (RE) | Provincial data divided by number of cities on renewable energy production | 2017 | TOE | |
| Smart Gird * | Smart Grid | (SG) | No. of ESS and smart grid projects | Up to 2018 | unit | |
| ESS | Amount of total ESS | Up to 2017 | kWh | |||
| AMI | No. of AMI installation | Up to 2017 | unit | |||
| Community | Citizen initiatives in the energy sector | (CI) | No. of civil initiatives specializing in renewable energy | Up to 2018 | unit | |
| Energy-saving behavior * | (EB) | Average energy-saving behavior | 2016 | score | ||
| Energy consumption | (EC) | Total amount of electricity use in houses, service sector and public sector per capita | 2016 | MWh | ||
| Policy | R&D budget for technology | (RB) | % of the budget for technology (scientific development) | 2016 | % | |
| Rules and regulations | (RR) | No. of local gov’t regulations, laws or legislation regarding energy sector | Up to 2018 | unit | ||
| Urban Characteristic | Population | (POP) | Population of city | 2017 | Ppl | |
| FIR | (FIR) | Financial independence ratio | 2017 | % | ||
| GRDP per capita | (GRD) | Gross regional domestic production per capita | 2016 | Million KRW | ||
| Urbanised Area per capita | (UA) | Per capita urbanised area (residential + commercial + industrial area) | 2017 | m2 | ||
| No | City Name | SETI Score | City Type | Population (ppl) | FIR (%) | GRDP per Capita (million KRW) | Urbanized Area per Capita (m2) | ||
|---|---|---|---|---|---|---|---|---|---|
| Top 10 cities with highest SETI score | |||||||||
| 1 | Incheon | 84.0 | SC2 | 2,948,542 | 65.4 | 27.4 | 71.7 | ||
| 2 | Seoul | 76.8 | SC2 | 9,857,426 | 85.0 | 36.5 | 37.7 | ||
| 3 | Deagu | 72.8 | SC1 | 2,475,231 | 56.6 | 20.1 | 73.0 | ||
| 4 | Ulsan | 70.8 | SC1 | 1,165,132 | 69.9 | 62.0 | 132.3 | ||
| 5 | Jeju | 70.0 | SC1 | 657,083 | 39.6 | 25.9 | 109.5 | ||
| 6 | Gwangju | 69.6 | SC1 | 1,463,770 | 49.2 | 23.2 | 82.1 | ||
| 7 | Pohang-si | 63.9 | NSC | 513,832 | 37.1 | 32.7 | 190.9 | ||
| 8 | Daejeon | 63.9 | SC2 | 1,502,227 | 57.1 | 23.5 | 63.2 | ||
| 9 | Yonhin-si | 63.0 | SC2 | 1,004,081 | 63.4 | 34.6 | 46.9 | ||
| 10 | Bucheon-si | 62.8 | SC1 | 850,329 | 42.4 | 20.0 | 36.7 | ||
| Bottom 10 cities with lowest SETI score | |||||||||
| 161 | Imsil-gun | 27.3 | NSC | 30,162 | 15.8 | 25.0 | 206.8 | ||
| 160 | Buan-gun | 33.5 | NSC | 56,086 | 15.1 | 22.5 | 321.3 | ||
| 159 | Seongju-gun | 33.6 | NSC | 45,138 | 15.3 | 41.0 | 290.0 | ||
| 158 | Wanju-gun | 33.6 | SC1 | 95,975 | 28.0 | 51.5 | 251.7 | ||
| 157 | Jinan-gun | 34.3 | NSC | 26,271 | 13.3 | 23.9 | 159.2 | ||
| 156 | Sunchang-gun | 35.1 | NSC | 29,698 | 16.3 | 25.0 | 94.4 | ||
| 155 | Goryeong-gun | 35.8 | NSC | 33,768 | 21.0 | 39.3 | 305.7 | ||
| 154 | Gimcheon-si | 36.7 | SC1 | 142,908 | 29.5 | 34.1 | 213.2 | ||
| 153 | Sacheon-si | 37.9 | NSC | 114,252 | 22.6 | 34.7 | 262.2 | ||
| 152 | Hapcheon-gun | 37.9 | NSC | 47,000 | 14.9 | 19.0 | 138.1 | ||
| - | Average | 47.6 | - | 325,104 | 27.9 | 32.0 | 191.2 | ||
| No | City Name | SETI Score | Average of | ||||||
| RE | SG | CI | EB | EC | RB | RR | |||
| 1 | Incheon | 84.0 | 99.1 | 57.8 | 99.9 | 64.6 | 56.4 | 100.0 | 100.0 |
| 2 | Seoul | 76.8 | 95.0 | 68.7 | 100.0 | 74.4 | 56.3 | 43.4 | 100.0 |
| 3 | Deagu | 72.8 | 74.1 | 61.7 | 32.7 | 64.7 | 56.4 | 100.0 | 98.4 |
| 4 | Ulsan | 70.8 | 100.0 | 35.3 | 90.7 | 77.8 | 56.3 | 41.2 | 98.4 |
| 5 | Jeju | 70.0 | 99.4 | 41.2 | 84.8 | 48.3 | 56.3 | 74.7 | 78.6 |
| 6 | Gwangju | 69.6 | 40.8 | 52.6 | 94.7 | 53.7 | 56.4 | 89.3 | 98.4 |
| 7 | Pohang-si | 63.9 | 51.2 | 48.8 | 32.7 | 68.4 | 56.4 | 100.0 | 78.6 |
| 8 | Daejeon | 63.9 | 55.5 | 58.4 | 43.9 | 36.0 | 56.3 | 10.0 | 78.6 |
| 9 | Yongin-si | 63.0 | 32.6 | 95.4 | 76.8 | 61.8 | 56.3 | 41.2 | 78.6 |
| 10 | Bucheon-si | 62.8 | 32.6 | 88.2 | 76.8 | 41.6 | 56.4 | 41.2 | 78.6 |
| 161 | Imsil-gun | 27.3 | 44.3 | 27.6 | 32.7 | 0.6 | 0.0 | 41.2 | 28.6 |
| 160 | Buan-gun | 33.5 | 44.3 | 27.6 | 32.7 | 0.3 | 56.3 | 41.2 | 28.6 |
| 159 | Seongju-gun | 33.6 | 51.2 | 37.7 | 32.7 | 13.7 | 56.4 | 41.2 | 2.7 |
| 158 | Wanju-gun | 33.6 | 44.3 | 27.6 | 32.7 | 2.8 | 54.7 | 41.2 | 28,6 |
| 157 | Jinan-gun | 34.3 | 44.3 | 27.6 | 32.7 | 7.0 | 56.3 | 41.2 | 28.6 |
| 156 | Sunchang-gun | 35.1 | 44.3 | 27.6 | 43.9 | 59.0 | 0.0 | 41.2 | 28.6 |
| 155 | Goryeong-gun | 35.8 | 51.2 | 37.1 | 32.7 | 33.5 | 56.3 | 41.2 | 2.7 |
| 154 | Gimcheon-si | 36.7 | 51.2 | 37.1 | 32.7 | 3.4 | 56.3 | 41.2 | 28.6 |
| 153 | Sacheon-si | 37.9 | 29.2 | 37.1 | 32.7 | 48.3 | 56.3 | 41.2 | 28.6 |
| 152 | Hapcheon-gun | 37.9 | 29.2 | 37.1 | 32.7 | 48.3 | 56.3 | 41.2 | 28.6 |
| - | Average | 47.6 | 47.0 | 45.9 | 46.6 | 49.2 | 54.9 | 44.8 | 47.8 |
| City Type | No. | SETI Score | Average of | ||||||
| Mean | Min | Max | Population | FIR | GRDP | UA | |||
| SC1 | 42 | 50.9 | 33.6 | 72.8 | 522,973 | 38.29 | 34.26 | 140.6 | |
| SC2 | 12 | 60.9 | 46.9 | 84.0 | 1,670,548 | 58.74 | 41.11 | 93.2 | |
| NSC | 107 | 44.8 | 27.3 | 63.9 | 91,281 | 20.40 | 30.46 | 222.8 | |
| Metropolitan | 9 | 69.4 | 54.8 | 84.0 | 2,646,685 | 61.49 | 29.06 | 90.1 | |
| Si | 75 | 49.8 | 36.7 | 63.9 | 322,961 | 35.38 | 33.03 | 144.8 | |
| Gun | 77 | 42.9 | 27.3 | 61.4 | 48,524 | 16.75 | 31.85 | 249.2 | |
| Total | 161 | 47.6 | 27.3 | 84.0 | 321,605 | 27.93 | 32.25 | 191.7 | |
| City Type | No. | SETI Score | Average of | ||||||
| RE | SG | CI | EB | EC | RB | RR | |||
| SC1 | 42 | 50.9 | 45.7 | 53.1 | 50.5 | 50.4 | 56.3 | 45.1 | 57.0 |
| SC2 | 12 | 60.9 | 50.5 | 64.5 | 63.3 | 49.6 | 56.3 | 60.4 | 77.1 |
| NSC | 107 | 44.8 | 47.0 | 40.6 | 43.3 | 48.6 | 54.2 | 42.9 | 40.8 |
| Metropolitan | 9 | 69.4 | 76.0 | 50.2 | 69.3 | 60.0 | 56.4 | 76.6 | 89.9 |
| Si | 75 | 49.8 | 41.9 | 53.7 | 49.7 | 46.8 | 55.6 | 44.3 | 57.5 |
| Gun | 77 | 42.9 | 48.4 | 37.3 | 41.0 | 50.2 | 54.1 | 41.5 | 33.3 |
| Total | 161 | 47.6 | 47.0 | 45.7 | 46.6 | 49.2 | 54.9 | 44.8 | 47.8 |
| Data: Smart Energy Transition Index Score by City Categories | |||
|---|---|---|---|
| Levene’s test | df | F-value | p-value |
| 2 | 8.9527 | 0.0002074 *** | |
| Kruskal-Wallis | Chi-squared | df | p-value |
| 20.97 | 2 | 0.00002795 | |
| Data: Smart Energy Transition Index Score by City Categories | |||
|---|---|---|---|
| Pairwise com | NS | SC1 | |
| SC1 | 0.0030 | - | |
| SC2 | 0.0005 | 0.0283 | |
| City | No. | Mean | Standard Deviation | Min | Max |
|---|---|---|---|---|---|
| SC1 | 42 | 49.8 (50.9) | 12.1 (9.0) | 36.8 (33.6) | 79.2 (72.8) |
| SC2 | 12 | 60.8 (60.9) | 15.5 (10.5) | 42.5 (46.9) | 90.7 (84.0) |
| NSC | 107 | 42.9 (44.8) | 6.9 (6.5) | 32.5 (27.3) | 66.0 (63.9) |
| Total | 161 | 46.0 (47.6) | 10.6 (8.8) | 32.5 (27.3) | 90.7 (84.0) |
| Adjusted Levene’s test for homogeneity of variance and Kruskal-Wallis test | |||
| Levene | df | F-value | p-value |
| 2 | 7.4145 (8.9527) | 0.000836 *** (0.0002074 ***) | |
| Kruskal-Wallis | Chi-squared | df | p-value |
| 24.791 (20.97) | 2 | 0.000004138 (0.00002795) | |
| Adjusted Pairwise comparisons using the Wilcoxon rank-sum test | |||
| Pairwise comparison | SC1 | SC2 | |
| SC2 | 0.01395 (0.0215) | - | |
| NSC | 0.01395 (0.0170) | 0.00013 (0.0006) | |
© 2019 by the authors. Licensee MDPI, Basel, Switzerland. This article is an open access article distributed under the terms and conditions of the Creative Commons Attribution (CC BY) license (http://creativecommons.org/licenses/by/4.0/).
Share and Cite
Lim, Y.; Edelenbos, J.; Gianoli, A. Smart Energy Transition: An Evaluation of Cities in South Korea. Informatics 2019, 6, 50. https://doi.org/10.3390/informatics6040050
Lim Y, Edelenbos J, Gianoli A. Smart Energy Transition: An Evaluation of Cities in South Korea. Informatics. 2019; 6(4):50. https://doi.org/10.3390/informatics6040050
Chicago/Turabian StyleLim, Yirang, Jurian Edelenbos, and Alberto Gianoli. 2019. "Smart Energy Transition: An Evaluation of Cities in South Korea" Informatics 6, no. 4: 50. https://doi.org/10.3390/informatics6040050
APA StyleLim, Y., Edelenbos, J., & Gianoli, A. (2019). Smart Energy Transition: An Evaluation of Cities in South Korea. Informatics, 6(4), 50. https://doi.org/10.3390/informatics6040050

