Research on Power Cable Intrusion Identification Using a GRT-Transformer-Based Distributed Acoustic Sensing (DAS) System
Abstract
1. Introduction
- (1)
- We introduce the GRT-Transformer, a novel multi-modal deep learning model integrating Transformer, Gramian Angular Sum Field (GASF), Recurrence Plots (RP), and 1D-2D-GRU, for power cable intrusion detection in distributed acoustic sensing (DAS) systems, effectively mitigating complex environmental interference.
- (2)
- By converting raw one-dimensional time-series data into two-dimensional GASF and RP images, we successfully extract the overall trends and non-linear dynamic properties of the signals, providing a richer feature set for the deep learning model and enhancing its discriminative ability.
- (3)
- This study utilizes BiLSTM to achieve the deep integration of features from different data modalities, forming a comprehensive intrusion detection system that effectively captures bidirectional dependencies in time series, thereby enhancing the model’s ability to process time-series data dependencies.
- (4)
- Leveraging the multi-head self-attention mechanism integrated within the Transformer architecture, the model effectively evaluates and reinforces salient features, thereby significantly enhancing the accuracy of intrusion detection.
2. Distributed Optical Fiber Sensing Principles and Data Acquisition
2.1. Distributed Fiber Optic Sensing Principles
2.2. Data Acquisition
3. The GRT-Transformer-Based Recognition Methodology
| Algorithm 1: GRT-Transformer Algorithm |
| Input relevant parameters: Image input size ; Sequence input size
; Number of identified classes N; Initial learning rate
;
, where
is the patch size. Output the relevant parameters: Probability distribution of N classification outputs for each input mode: is the classification probability of class i. Model training steps: step 1: Initializing parameters, The truncated normal distribution is used to initialize the model parameters , including the filter parameters of the convolutional layer and the weight matrix in the multi-head attention mechanism: , where is the standard deviation. step 2: Forward propagation, For the l-th layer computation, the model will do the following: (1) Convolution and embedding: Convert the input image I to an embedded representation as follows: , (2) Self-Attention: Multi-head self-attention is computed for patch features: (3) Feature flattening and time series modeling: The sequence input is passed through the GRU layer to extract temporal features , After bidirectional LSTM modeling (4) Feature fusion: The features of the two modalities are fused by weighting: where and are the features of images and sequences, and Is the modal fusion weight. (5) The output layer is calculated as follows: Finally, through the fully connected layer and softmax, the probability distribution is generated: . step 3: Back propagation, The model loss value is obtained through the loss function Calculating the gradient Update by the chain rule. step 4: Parameter update, Adam optimizer is used to update the parameters Here, the learning rate decays according to the Adam rule, and is the learning rate decline interval. |
3.1. Data Preprocessing
3.2. One-Dimensional Time-Series Feature Extraction Based on GRU
3.3. Dual-Branch Feature Transformation with GASF and RP
- (1)
- Normalization
- (2)
- Polar Coordinate Transformation
- (3)
- GASF
3.4. Bidirectional Feature Quadratic Extraction BiLSTM
3.5. Transformer and Multi-Head Attention
4. Experimental Results and Discussion
4.1. Dataset Construction
4.2. Data Preprocessing Results
4.3. GRT-Transformer Model Recognition Results
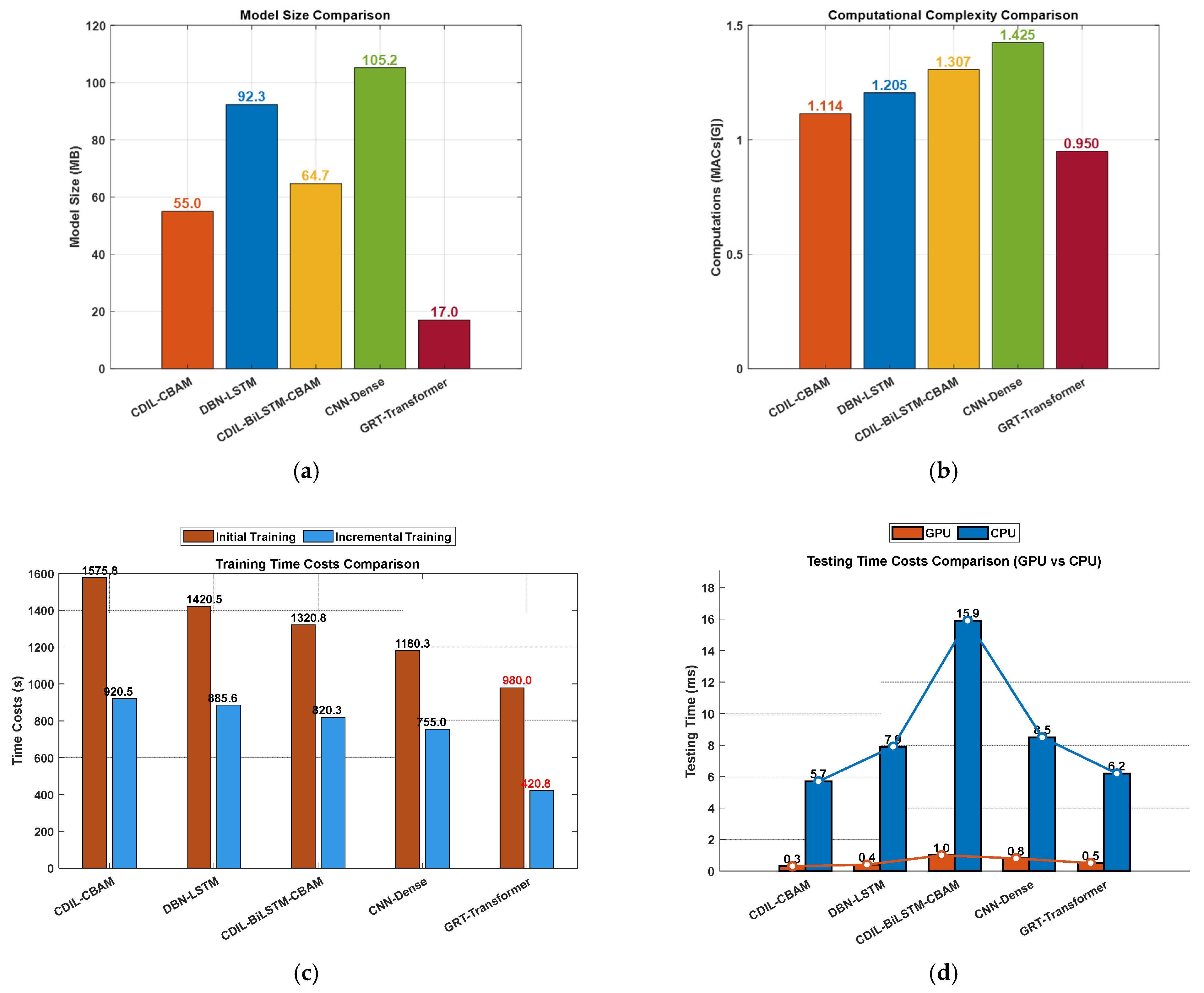
4.4. Comparison with Traditional Other Models
5. Conclusions
Author Contributions
Funding
Institutional Review Board Statement
Informed Consent Statement
Data Availability Statement
Acknowledgments
Conflicts of Interest
Abbreviations
| AOM | Acousto-Optic Modulator |
| BiLSTM | Bidirectional Long Short-Term Memory Abstract |
| BO | Bayesian Optimization |
| ConvNeXt | Convolutional Next-Generation Network |
| DAS | Distributed Acoustic Sensing Abstract |
| DLA | Distributed Local Attention |
| EDFA | Erbium-Doped Fiber Amplifier |
| EMD | Empirical Mode Decomposition |
| FNN | Feedforward Neural Network |
| FPN | Feature Pyramid Network |
| GASF | Gramian Angular Summation Field |
| GRU | Gated Recurrent Unit |
| IMF | Intrinsic Mode Function |
| LSTM | Long Short-Term Memory |
| MSA | Multi-Head Self-Attention |
| MSResNet | Modified ResNet |
| OTDR | Optical Time-Domain Reflectometry |
| φ-OTDR | Phase-Sensitive Optical Time-Domain Reflectometry |
| RP | Recurrence Plot |
| RNN | Recurrent Neural Network |
| RMSE | Root Mean Square Error |
| SNR | Signal-to-Noise Ratio |
| STDP | Spike-Timing-Dependent Plasticity |
| SVD-VMD | Singular Value Decomposition with Variational Mode Decomposition |
| SWTTV | Stationary Wavelet Transform with Total Variation |
| VMD | Variational Mode Decomposition |
| VMD-WTD | Variational Mode Decomposition with Wavelet Threshold Denoising |
| WAVELET | Wavelet Transform |
References
- Bin Shahabudin, M.S.; Jaafar, J.; Bencheva, N.; Paputungan, I.V.; Farisha Binti Muhamad Krishnan, N. Graph Neural Networks for Microseismic Event Detection: Focusing on Distributed Acoustic Sensing Data. In Proceedings of the 2024 5th International Conference on Communications, Information, Electronic and Energy Systems (CIEES), Veliko Tarnovo, Bulgaria, 20–22 November 2024; pp. 1–8. [Google Scholar]
- Ran, C.; Xiao, P.; Luo, Z.; Chen, X. Identification of Pipeline Intrusion Signals Based on ICEEMDAN-FE-AIT and F-ELM in the uwDAS System. IEEE Sens. J. 2024, 24, 36874–36881. [Google Scholar] [CrossRef]
- Han, S.; Huang, M.-F.; Li, T.; Fang, J.; Jiang, Z.; Wang, T. Deep Learning-Based Intrusion Detection and Impulsive Event Classification for Distributed Acoustic Sensing Across Telecom Networks. J. Light. Technol. 2024, 42, 4167–4176. [Google Scholar] [CrossRef]
- Wu, H.; Wang, Y.; Liu, X.; Sun, Y.; Yan, G.; Wu, Y.; Rao, Y. Smart Fiber-Optic Distributed Acoustic Sensing (sDAS) with Multitask Learning for Time-Efficient Ground Listening Applications. IEEE Internet Things J. 2024, 11, 8511–8525. [Google Scholar] [CrossRef]
- Wu, H.; Liu, X.; Wang, X.; Wu, Y.; Liu, Y.; Wang, Y.; Rao, Y. Multi-Dimensional Information Extraction and Utilization in Smart Fiber-Optic Distributed Acoustic Sensor (sDAS). J. Light. Technol. 2024, 42, 6967–6980. [Google Scholar] [CrossRef]
- Fu, W.; Yi, D.; Huang, Z.; Huang, C.; Geng, Y.; Li, X. Multiple Event Recognition Scheme Using Variational Mode Decomposition-Based Hybrid Feature Extraction in Fiber Optic DAS System. IEEE Sens. J. 2023, 23, 27316–27323. [Google Scholar] [CrossRef]
- Yan, S.; Shang, Y.; Wang, C.; Zhao, W.; Ni, J. Mixed Intrusion Events Recognition Based on Group Convolutional Neural Networks in DAS System. IEEE Sens. J. 2022, 22, 678–684. [Google Scholar] [CrossRef]
- Bai, Y.; Xing, J.; Xie, F.; Liu, S.; Li, J. Detection and identification of external intrusion signals from 33 km optical fiber sensing system based on deep learning. Opt. Fiber Technol. 2019, 53, 102060. [Google Scholar] [CrossRef]
- He, T.; Sun, Q.; Zhang, S.; Li, H.; Yan, B.; Fan, C.; Yan, Z.; Liu, D. A Dual-Stage-Recognition Network for Distributed Optical Fiber Sensing Perimeter Security System. J. Light. Technol. 2023, 41, 4331–4340. [Google Scholar] [CrossRef]
- Wu, H.; Gan, D.; Xu, C.; Liu, Y.; Liu, X.; Song, Y.; Rao, Y. Improved Generalization in Signal Identification with Unsupervised Spiking Neuron Networks for Fiber-Optic Distributed Acoustic Sensor. J. Light. Technol. 2022, 40, 3072–3083. [Google Scholar] [CrossRef]
- Lyu, C.; Hue, Z.; Cheng, X.; Jiang, J.; Alimasi, A.; Liu, H. Distributed Optical Fiber Sensing Intrusion Pattern Recognition Based on GAF and CNN. J. Light. Technol. 2020, 38, 4174–4182. [Google Scholar] [CrossRef]
- He, T.; Li, H.; Zhang, S.; Zeng, Z.; Yan, Z.; Sun, Q.; Liu, D. A Surveillance System for Urban Utility Tunnel Subject to Third-Party Threats Based on Fiber-Optic DAS and FPN-BiLSTM Network. IEEE Trans. Instrum. Meas. 2024, 73, 3369087. [Google Scholar] [CrossRef]
- Wang, Y.-J.; Zhuo, W.; Liu, B.; Liu, J.; Hu, Y.; Fu, Y.; Xiao, W.; He, X.-D.; Yuan, J.; Wu, Q. GASF-ConvNeXt-TF Algorithm for Perimeter Security Disturbance Identification Based on Distributed Optical Fiber Sensing System. IEEE Internet Things J. 2024, 11, 17712–17726. [Google Scholar] [CrossRef]
- Sun, Z.; Yang, H.; Fang, M.; Dai, Y.; Huang, D.; Zhao, C. On Bayesian Optimization-Based CNN-BiLSTM Network for Multiclass Classification in Distributed Optical Fiber Vibration Sensing Systems. IEEE Trans. Instrum. Meas. 2024, 73, 3451576. [Google Scholar] [CrossRef]
- Lyu, C.; Huo, Z.; Liu, Y.; Cheng, X.; Jiang, J.; Alimasi, A.; Yang, J.; Su, H. Robust Intrusion Events Recognition Methodology for Distributed Optical Fiber Sensing Perimeter Security System. IEEE Trans. Instrum. Meas. 2021, 70, 3048521. [Google Scholar] [CrossRef]
- Huo, Z.; Yang, J.; Xi, M.; Chen, D.; Wen, J. SP-MSResNet: A Multiscale Residual Network with Strip Pooling Module for Intrusion Pattern Recognition. IEEE Sens. J. 2024, 24, 30136–30146. [Google Scholar] [CrossRef]
- Wu, H.; Chen, J.; Liu, X.; Xiao, Y.; Wang, M.; Zheng, Y.; Rao, Y. One-Dimensional CNN-Based Intelligent Recognition of Vibrations in Pipeline Monitoring with DAS. J. Light. Technol. 2019, 37, 4359–4366. [Google Scholar] [CrossRef]
- Sun, Z.; Liu, K.; Xu, T.; Xu, Y.; Fang, W.; Xue, K.; Huang, Y.; Li, S.; Liu, T. Intelligent Sensing Analysis Using Mel-Time-Frequency-Imaging and Deep Learning for Distributed Fiber-Optic Vibration Detection. IEEE Sens. J. 2022, 22, 21933–21941. [Google Scholar] [CrossRef]
- Wu, H.; Lu, M.; Xu, C.; Jiao, X.; Liao, H.; Wang, X.; Shu, X.; Liu, Y.; Wu, Y.; Rao, Y. Nonlinear Mixture Signal Separation with the Extended Slow Feature Analysis (xSFA) in Fiber-Optic Distributed Acoustic Sensor (DAS). J. Light. Technol. 2024, 42, 2580–2594. [Google Scholar] [CrossRef]
- Wang, Y.; Chen, P.; Zhao, Y.; Sun, Y. A Denoising Method for Mining Cable PD Signal Based on Genetic Algorithm Optimization of VMD and Wavelet Threshold. Sensors 2022, 22, 9386. [Google Scholar] [CrossRef] [PubMed]
- Li, H.; Li, S.; Sun, J.; Huang, B.; Zhang, J.; Gao, M. Ultrasound signal processing based on joint GWO-VMD wavelet threshold functions. Measurement 2024, 226, 114143. [Google Scholar] [CrossRef]
- Li, J.; Xiong, P.; Li, Y.; Feng, Q. DAS Noise Suppression Network Based on Distributing-Local-Attention Expansion. IEEE Geosci. Remote Sens. Lett. 2024, 21, 3433006. [Google Scholar] [CrossRef]
- Zhang, S.; He, T.; Li, H.; Fan, C.; Yan, Z.; Sun, Q. Modified Data Augmentation Integration Method for Robust Intrusion Events Recognition with Fiber Optic DAS System. J. Light. Technol. 2024, 42, 453–462. [Google Scholar] [CrossRef]
- Wang, P.; Liu, S.; Chen, J. CCDA: A Novel Method to Explore the Cross-Correlation in Dual-Attention for Multimodal Sentiment Analysis. Appl. Sci. 2024, 14, 1934. [Google Scholar] [CrossRef]
- Shi, S.; Han, D.; Cui, M. A multimodal hybrid parallel network intrusion detection model. Connect. Sci. 2023, 35, 2227780. [Google Scholar] [CrossRef]
- Wang, W.; Liu, Y.; Song, F.; Lu, J.; Qu, J.; Guo, J.; Huang, J. CGMV-EGR: A multimodal fusion framework for electromyographic gesture recognition. Pattern Recognit. 2025, 162, 111387. [Google Scholar] [CrossRef]
- Xie, F.; Li, G.; Hu, W.; Fan, Q.; Zhou, S. Intelligent Fault Diagnosis of Variable-Condition Motors Using a Dual-Mode Fusion Attention Residual. J. Mar. Sci. Eng. 2023, 11, 1385. [Google Scholar] [CrossRef]
- Xie, S.; Li, Y.; Tan, H.; Liu, R.; Zhang, F. Multi-scale and multi-layer perceptron hybrid method for bearings fault diagnosis. Int. J. Mech. Sci. 2022, 235, 107708. [Google Scholar] [CrossRef]
- You, K.; Wang, P.; Gu, Y. Toward Efficient and Interpretative Rolling Bearing Fault Diagnosis via Quadratic Neural Network with Bi-LSTM. IEEE Internet Things J. 2024, 11, 23002–23019. [Google Scholar] [CrossRef]
- Dai, X.; Yi, K.; Wang, F.; Cai, C.; Tang, W. Bearing fault diagnosis based on POA-VMD with GADF-Swin Transformer transfer learning network. Measurement 2024, 238, 115328. [Google Scholar] [CrossRef]
- Yan, S.; Shao, H.; Wang, J.; Zheng, X.; Liu, B. LiConvFormer: A lightweight fault diagnosis framework using separable multiscale convolution and broadcast self-attention. Expert Syst. Appl. 2024, 237, 121338. [Google Scholar] [CrossRef]

















| Serial Number | Parameter Names | Metrics |
|---|---|---|
| 1 | Type of fiber | SMF1550 nm |
| 2 | Measuring distance | 40 km/80 km |
| 3 | Sampling resolution | 1.25 m |
| 4 | Range of frequency | 1 Hz–1 KHz |
| 5 | Measuring time | <=2 s |
| 6 | Fiber attenuation value | 14 dB |
| 7 | Sampling points | 2500 |
| Types of Experimental Scenarios | Training Set/Test Set | Event Labels |
|---|---|---|
| Unauthorized tapping | 2000/857 | 0 |
| Mechanical operations | 2000/857 | 1 |
| vehicle passage | 2000/857 | 2 |
| Metric | Algorithm | ||||
|---|---|---|---|---|---|
| VMD-SWTTV | SVD-VMD | WAVELET | VMD-WTD | CEECMSA | |
| SNR (dB) | 17.463 | 16.1315 | 15.6015 | 15.1974 | 8.3029 |
| RMSE | 0.008787 | 0.010999 | 0.011578 | 0.012432 | 0.029332 |
| Metric (%) | Event Type | Average | ||
|---|---|---|---|---|
| Illegal Tapping | Mechanical Operation | Vehicle Passage | ||
| Precision | 98.19 | 95.73 | 98.05 | 97.323 |
| Recall | 95.73 | 97.52 | 99.53 | 97.593 |
| F1-Score | 98.05 | 96.62 | 98.79 | 97.82 |
| Accuracy | 97.3 |
| Intrusion Events | CDIL-CBAM | DBN-LSTM | CDIL-BiLSTM-CBAM | CNN-Dense | GRT-Transformer |
|---|---|---|---|---|---|
| Illegal Tapping | 0.76 | 0.9422 | 0.91 | 0.88 | 0.956 |
| Mech-Operation | 0.915 | 0.973 | 0.94 | 0.92 | 0.967 |
| Vehicle Passage | 0.88 | 0.9597 | 0.97 | 0.837 | 0.996 |
| Average | 0.8541 | 0.9583 | 0.94303 | 0.879 | 0.973 |
| Branch | Layer Type | Parameters |
|---|---|---|
| GASF Branch | Input | 227 × 227 × 3 image |
| Conv2D | 16 filters, 3 × 3 kernel, stride 1, padding same | |
| PatchEmbedding | Patch size 8, grid 128 × 128 | |
| PositionEmbedding | 8 positions, 64 dim | |
| Self-Attention | 4 heads, 64 hidden dim | |
| LayerNorm | ε = 0.0001 | |
| Indexing (CLS) | Take first token | |
| RP Branch | Input | 227 × 227 × 3 image |
| Conv2D | 16 filters, 3 × 3 kernel, stride 1, padding same | |
| PatchEmbedding | Patch size 8, grid 128 × 128 | |
| PositionEmbedding | 8 positions, 64 dim | |
| Self-Attention | 4 heads, 64 hidden dim | |
| LayerNorm | ε = 0.0001 | |
| Indexing (CLS) | Take second token | |
| Sequence Branch | Input | 2500-point 1D signal |
| Flatten | ||
| GRU | 64 units | |
| Fusion | Addition | Element-wise sum of 3 vectors |
| Self-Attention | 4 heads, 64 hidden dim | |
| BiLSTM | 64 units (bidirectional) | |
| FullyConnected | 3 units |
| Training Configuration | Parameters/Values |
|---|---|
| optimizer | Adam |
| initial learning rate | 0.0001 |
| learning rate decay | Decay by 0.1 every 2 cycles |
| batch size | 50 |
| maximum number of training epochs | 20 |
| loss function | Classification cross entropy |
| regularization | Dropout = 0.1 |
Disclaimer/Publisher’s Note: The statements, opinions and data contained in all publications are solely those of the individual author(s) and contributor(s) and not of MDPI and/or the editor(s). MDPI and/or the editor(s) disclaim responsibility for any injury to people or property resulting from any ideas, methods, instructions or products referred to in the content. |
© 2025 by the authors. Licensee MDPI, Basel, Switzerland. This article is an open access article distributed under the terms and conditions of the Creative Commons Attribution (CC BY) license (https://creativecommons.org/licenses/by/4.0/).
Share and Cite
Huang, X.; Wang, X.; Qin, H.; Zhou, Z. Research on Power Cable Intrusion Identification Using a GRT-Transformer-Based Distributed Acoustic Sensing (DAS) System. Informatics 2025, 12, 75. https://doi.org/10.3390/informatics12030075
Huang X, Wang X, Qin H, Zhou Z. Research on Power Cable Intrusion Identification Using a GRT-Transformer-Based Distributed Acoustic Sensing (DAS) System. Informatics. 2025; 12(3):75. https://doi.org/10.3390/informatics12030075
Chicago/Turabian StyleHuang, Xiaoli, Xingcheng Wang, Han Qin, and Zhaoliang Zhou. 2025. "Research on Power Cable Intrusion Identification Using a GRT-Transformer-Based Distributed Acoustic Sensing (DAS) System" Informatics 12, no. 3: 75. https://doi.org/10.3390/informatics12030075
APA StyleHuang, X., Wang, X., Qin, H., & Zhou, Z. (2025). Research on Power Cable Intrusion Identification Using a GRT-Transformer-Based Distributed Acoustic Sensing (DAS) System. Informatics, 12(3), 75. https://doi.org/10.3390/informatics12030075

