Sparse Modeling Approach to the Arbitrage-Free Interpolation of Plain-Vanilla Option Prices and Implied Volatilities
Abstract
1. Introduction
2. Methodology
2.1. Relation between Terminal Density and Option Price
2.2. Matrix Representation of the Relation between Option Price and Terminal Density
2.3. The Difficulty in Implying the Terminal Density from Option Prices
- application of a basis transformation from to via
- weighting the elements of with the singular values S to get via
- application of a basis transformation from to Pr via
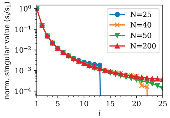
2.4. Rapid Decay of the Kernel Matrix Singular Values
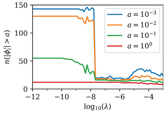
2.5. Optimization Problem for Finding the Density
2.6. Finding a Solution to the Optimization Problem
2.7. A Measure for the Similarity of Probability Distributions
3. Examples
3.1. Normal Density
3.2. Log-Normal Density
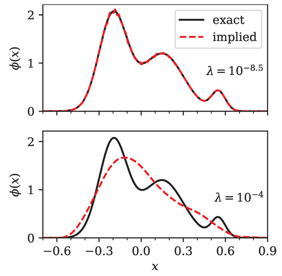
3.3. Multimodal Density
3.4. Density Implied from Prices with Arbitrage
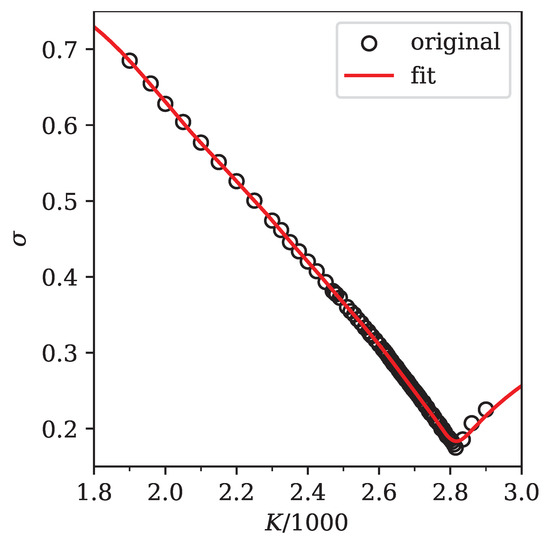
3.5. Density Implied from S&P 500 Option Prices
4. Conclusions
Funding
Data Availability Statement
Conflicts of Interest
Abbreviations
| SVD | Singular Value Decomposition |
| LV | Local Volatility |
| LSV | Local Stochastic Volatility |
| SABR | Stochastic Alpha, Beta, Rho |
| SPX500 | Standard & Poor’s 500 Stock Index |
| ITM | In-The-Money |
| OTM | Out-Of-The-Money |
Appendix A. Treatment of In-the-Money Options in the Error Function Calculation
Appendix B. Ideas for Performance Optimization
| 1 | https://github.com/danielguterding/svdensity (accessed on 21 April 2023). |
References
- Agrawal, Akshay, Robin Verschueren, Steven Diamond, and Stephen Boyd. 2018. A rewriting system for convex optimization problems. Journal of Control and Decision 5: 42. [Google Scholar] [CrossRef]
- Aït-Sahalia, Yacine, Peter J. Bickel, and Thomas M. Stoker. 2001. Goodness-of-fit tests for kernel regression with an application to option implied volatilities. Journal of Economics 105: 363. [Google Scholar] [CrossRef]
- Andersen, Leif, and Mark Lake. 2021. Fast American Option Pricing: The Double-Boundary Case. Wilmott 2021: 30. [Google Scholar] [CrossRef]
- Andersen, Leif, Mark Lake, and Dmitri Offengenden. 2016. High-performance American option pricing. Journal of Computational Finance 20: 39. [Google Scholar] [CrossRef]
- Andreasen, Jesper, and Brian Norsk Huge. 2011. Volatility Interpolation. Risk 24: 76. [Google Scholar] [CrossRef]
- Bachelier, Louis. 1901. Théorie mathématique du jeu. Annales Scientifiques de l’Ecole Normale Supérieure 18: 143. [Google Scholar] [CrossRef]
- Baker, Glyn, Reimer Beneder, and Alex Zilber. 2004. FX Barriers with Smile Dynamics. Available online: https://ssrn.com/abstract=964627 (accessed on 21 April 2023).
- Benth, Fred Espen, Jūratė Šaltytė Benth, and Steen Koekebakker. 2008. Stochastic Modeling of Electricity and Related Markets. Singapore: World Scientific. ISBN 978–9-812-81230-8. [Google Scholar]
- Bhattacharyya, Anil. 1943. On a measure of divergence between two statistical populations defined by their probability distributions. Bulletin of the Calcutta Mathematical Society 35: 99. [Google Scholar]
- Black, Fischer. 1976. The pricing of commodity contracts. Journal of Financial Economics 3: 167. [Google Scholar] [CrossRef]
- Black, Fischer, and Myron Scholes. 1973. The Pricing of Options and Corporate Liabilities. Journal of Political Economy 81: 637. [Google Scholar] [CrossRef]
- Boyd, Stephen, Neal Parikh, Eric Chu, Borja Peleato, and Jonathan Eckstein. 2010. Distributed Optimization and Statistical Learning via the Alternating Direction Method of Multipliers. Foundations and Trends® in Machine Learning 3: 1. [Google Scholar] [CrossRef]
- Breeden, Douglas T., and Robert H. Litzenberger. 1978. Prices of State-Contingent Claims Implicit in Option Prices. Journal of Business 51: 621. [Google Scholar] [CrossRef]
- Carr, Peter, and Roger Lee. 2009. Volatility Derivatives. Annual Review of Financial Economics 1: 319. [Google Scholar] [CrossRef]
- Carr, Peter, Andrey Itkin, and Dmitry Muravey. 2022. Semi-analytical pricing of barrier options in the time-dependent Heston model. arXiv. [Google Scholar] [CrossRef]
- Choi, Jaehyuk, Minsuk Kwak, Chyng Wen Tee, and Yumeng Wang. 2022. A Black-Scholes user’s guide to the Bachelier model. Journal of Futures Markets 42: 959. [Google Scholar] [CrossRef]
- Clark, Iain. 2010. Foreign Exchange Option Pricing: A Practitioners Guide. Chichester: John Wiley & Sons. ISBN 978-0-470-68368-2. [Google Scholar]
- Derman, Emanuel, and Iraj Kani. 1994. Riding on a smile. Risk 7: 32. [Google Scholar]
- Derman, Emanuel, and Michael. B. Miller. 2016. The Volatility Smile. Hoboken: John Wiley & Sons. ISBN 978-1-118-95916-9. [Google Scholar]
- Diamond, Steven, and Stephen Boyd. 2016. CVXPY: A Python-embedded modeling language for convex optimization. Journal of Machine Learning Research 17: 2909. [Google Scholar]
- Domahidi, Alexander, Eric Chu, and Stephen Boyd. 2013. ECOS: An SOCP Solver for Embedded Systems. Paper presented at European Control Conference, Zurich, Switzerland, July 17–19; pp. 3071–3076. [Google Scholar]
- Dupire, Bruno. 1994. Pricing with a smile. Risk 7: 18. [Google Scholar]
- Egloff, Daniel, Markus Leippold, and Liuren Wu. 2010. The Term Structure of Variance Swap Rates and Optimal Variance Swap Investments. Journal of Financial and Quantitative Analysis 45: 1279. [Google Scholar] [CrossRef]
- Fabbiani, Emanuele, Andrea Marziali, and Giuseppe De Nicolao. 2020. Vanilla-option-pricing: Pricing and market calibration for options on energy commodities. Software Impacts 6: 100043. [Google Scholar] [CrossRef]
- Gatheral, Jim. 2006. The Volatility Surface: A Practitioner’s Guide. Hoboken: Wiley Finance. ISBN 978-0-471-79251-2. [Google Scholar]
- Gatheral, Jim, and Antoine Jacquier. 2014. Arbitrage-free SVI volatility surfaces. Quantitative Finance 14: 59. [Google Scholar] [CrossRef]
- Guterding, Daniel. 2021. Inventory effects on the price dynamics of VSTOXX futures quantified via machine learning. Journal of Finance and Data Science 7: 126. [Google Scholar] [CrossRef]
- Guterding, Daniel, and Wolfram Boenkost. 2018. The Heston stochastic volatility model with piecewise constant parameters—Efficient calibration and pricing of window barrier options. Journal of Computational and Applied Mathematics 343: 353. [Google Scholar] [CrossRef]
- Hagan, Patrick, Andrew Lesniewski, and Diana Woodward. 2015. Probability Distribution in the SABR Model of Stochastic Volatility. In Large Deviations and Asymptotic Methods in Finance. Edited by Peter K. Friz, Jim Gatheral, Archil Gulisashvili, Antoine Jacquier and Josef Teichmann. Cham: Springer Proceedings in Mathematics & Statistics, vol. 110. [Google Scholar]
- Hagan, Patrick, Deep Kumar, and Andrew Lesniewski. 2001. Managing Smile Risk. Wilmott 1: 84. [Google Scholar]
- Healy, Jherek. 2021. Applied Quantitative Finance for Equity Derivatives. Lulu.com: ISBN 978-1-716-19039-1. [Google Scholar]
- Heston, Steven L. 1993. A Closed-Form Solution for Options with Stochastic Volatility with Applications to Bond and Currency Options. The Review of Financial Studies 6: 327. [Google Scholar] [CrossRef]
- Hou, Ai Jun, Weining Wang, Cathy Y. H. Chen, and Wolfgang Karl Härdle. 2020. Pricing Cryptocurrency Options. Journal of Financial Econometrics 18: 250. [Google Scholar]
- Jäckel, Peter. 2014. Clamping down on arbitrage. Wilmott 2014: 54. [Google Scholar] [CrossRef]
- Jiang, Yixiao. 2020. A Hausman Test for Partially Linear Models with an Application to Implied Volatility Surface. Journal of Risk and Financial Management 13: 287. [Google Scholar] [CrossRef]
- Kahalé, Nabil. 2004. An arbitrage-free interpolation of volatilities. Risk 17: 102. [Google Scholar]
- Le Floc’h, Fabien, and Cornelis W. Osterlee. 2019a. Model-free stochastic collocation for an arbitrage-free implied volatility: Part I. Decisions in Economics and Finance 42: 679. [Google Scholar] [CrossRef]
- Le Floc’h, Fabien, and Cornelis W. Osterlee. 2019b. Model-free stochastic collocation for an arbitrage-free implied volatility: Part II. Risks 7: 30. [Google Scholar] [CrossRef]
- Lipton, Alexander. 2002. The vol smile problem. Risk 15: 61. [Google Scholar]
- Lipton, Alexander, Andrey Gal, and Andris Lasis. 2014. Pricing of vanilla and first-generation exotic options in the local stochastic volatility framework: Survey and new results. Quantitative Finance 14: 1899. [Google Scholar] [CrossRef]
- Lorig, Matthew, Stefano Pagliarani, and Andrea Pascucci. 2017. Explicit Implied Volatilities for Multifactor Local-Stochastic Volatility Models. Mathematical Finance 27: 926. [Google Scholar] [CrossRef]
- Mixon, Scott. 2002. Factors explaining movements in the implied volatility surface. Journal of Futures Markets 22: 915. [Google Scholar] [CrossRef]
- O’Donoghue, Brendan, Eric Chu, Neal Parikh, and Stephen Boyd. 2016. Conic Optimization via Operator Splitting and Homogeneous Self-Dual Embedding. Journal of Optimization Theory and Applications 169: 1042. [Google Scholar] [CrossRef]
- Otsuki, Junya, Masayuki Ohzeki, Hiroshi Shinaoka, and Kazuyoshi Yoshimi. 2020. Sparse Modeling in Quantum Many-Body Problems. Journal of the Physical Society of Japan 89: 012001. [Google Scholar] [CrossRef]
- Tian, Yu, Zili Zhu, Geoffrey Lee, Thomas Lo, Fima Klebaner, and Kais Hamza. 2014. Pricing Window Barrier Options with a Hybrid Stochastic-Local Volatility Model. Paper presented at 2014 IEEE Conference on Computational Intelligence for Financial Engineering & Economics (CIFEr), London, UK, March 27–28. [Google Scholar]
- Xing, Yuhang, Xiaoyan Zhang, and Rui Zhao. 2010. What Does the Individual Option Volatility Smirk Tell Us About Future Equity Returns? Journal of Financial and Quantitative Analysis 45: 641. [Google Scholar] [CrossRef]
- Yang, Lu. 2021. Idiosyncratic information spillover and connectedness network between the electricity and carbon markets in Europe. Journal of Commodity Markets 25: 100185. [Google Scholar] [CrossRef]
- Yang, Lu, and Shigeyuki Hamori. 2021. The role of the carbon market in relation to the cryptocurrency market: Only diversification or more? International Review of Financial Analysis 77: 101864. [Google Scholar] [CrossRef]
- Zhu, Song-Ping, and Guang-Hua Lian. 2012. An analytical formula for VIX futures and its applications. Journal of Futures Markets 32: 166. [Google Scholar] [CrossRef]
- Zulfiqar, Noshaba, and Saqib Gulzar. 2021. Implied volatility estimation of bitcoin options and the stylized facts of option pricing. Financial Innovation 7: 67. [Google Scholar] [CrossRef] [PubMed]















| i | |||
|---|---|---|---|
| 1 | 0.50 | −0.20 | 0.10 |
| 2 | 0.45 | 0.15 | 0.15 |
| 3 | 0.05 | 0.55 | 0.05 |
| i | |||
|---|---|---|---|
| 1 | 0.55 | 0.80 | 0.10 |
| 2 | −0.20 | 1.15 | 0.07 |
| 3 | 0.65 | 1.35 | 0.20 |
Disclaimer/Publisher’s Note: The statements, opinions and data contained in all publications are solely those of the individual author(s) and contributor(s) and not of MDPI and/or the editor(s). MDPI and/or the editor(s) disclaim responsibility for any injury to people or property resulting from any ideas, methods, instructions or products referred to in the content. |
© 2023 by the author. Licensee MDPI, Basel, Switzerland. This article is an open access article distributed under the terms and conditions of the Creative Commons Attribution (CC BY) license (https://creativecommons.org/licenses/by/4.0/).
Share and Cite
Guterding, D. Sparse Modeling Approach to the Arbitrage-Free Interpolation of Plain-Vanilla Option Prices and Implied Volatilities. Risks 2023, 11, 83. https://doi.org/10.3390/risks11050083
Guterding D. Sparse Modeling Approach to the Arbitrage-Free Interpolation of Plain-Vanilla Option Prices and Implied Volatilities. Risks. 2023; 11(5):83. https://doi.org/10.3390/risks11050083
Chicago/Turabian StyleGuterding, Daniel. 2023. "Sparse Modeling Approach to the Arbitrage-Free Interpolation of Plain-Vanilla Option Prices and Implied Volatilities" Risks 11, no. 5: 83. https://doi.org/10.3390/risks11050083
APA StyleGuterding, D. (2023). Sparse Modeling Approach to the Arbitrage-Free Interpolation of Plain-Vanilla Option Prices and Implied Volatilities. Risks, 11(5), 83. https://doi.org/10.3390/risks11050083

