Depressive Anxiety Symptoms in Hospitalized Children with Chronic Illness during the First Italian COVID-19 Lockdown
Abstract
:1. Introduction
2. Materials and Methods
2.1. Participants
2.2. Measures
2.3. Data Analysis
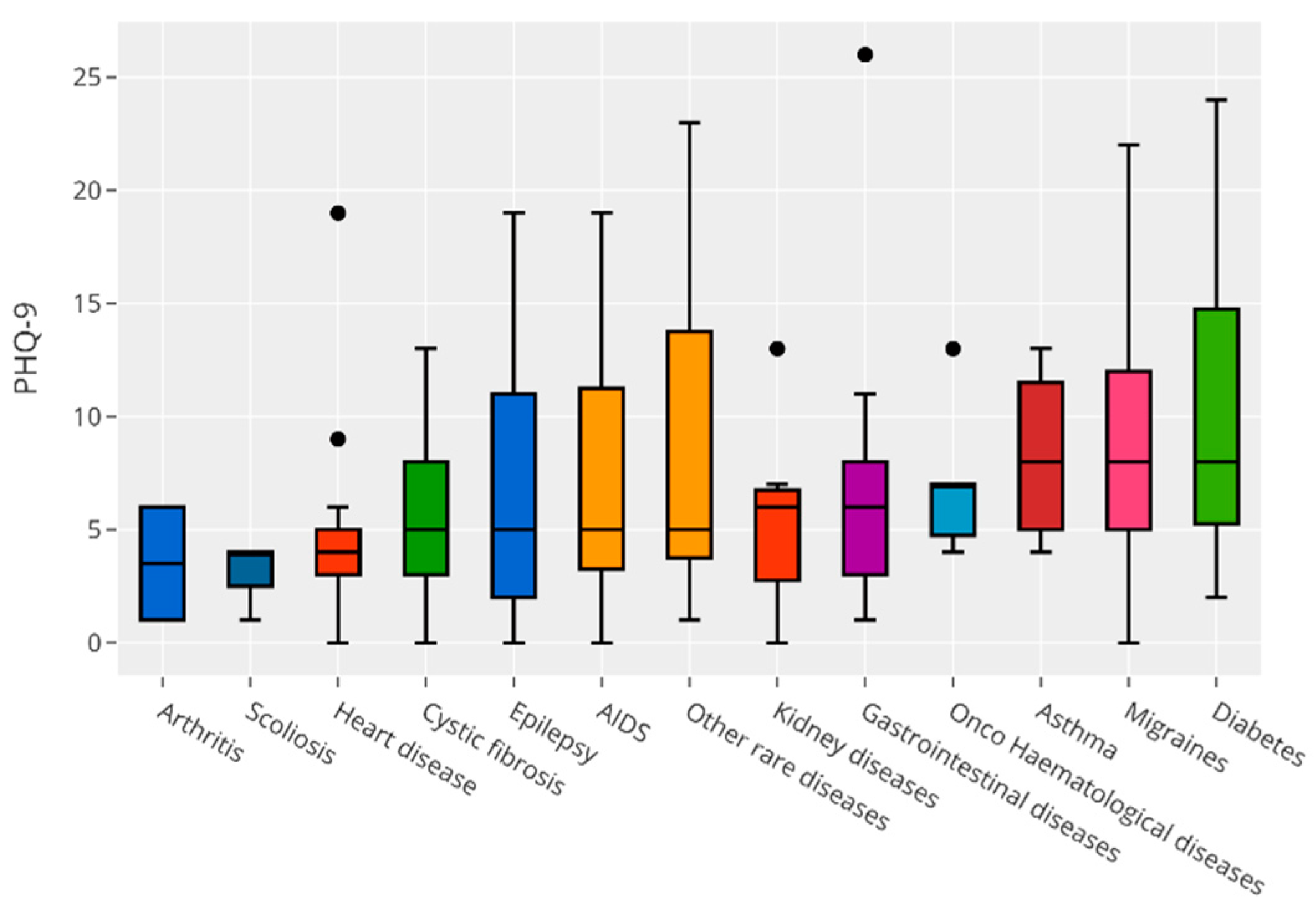
3. Results
4. Discussion
4.1. Depression and Anxiety Manifestations and Proportions
4.2. Continuity of Care
5. Conclusions
Author Contributions
Funding
Institutional Review Board Statement
Informed Consent Statement
Data Availability Statement
Acknowledgments
Conflicts of Interest
References
- GBD 2019 Mental Disorders Collaborators. Global, regional, and national burden of 12 mental disorders in 204 countries and territories, 1990–2019: A systematic analysis for the Global Burden of Disease Study 2019. Lancet Psychiatry 2022, 9, 137–150. [Google Scholar] [CrossRef]
- Fridell, A.; Norrman, H.N.; Girke, L.; Bölte, S. Effects of the Early Phase of COVID-19 on the Autistic Community in Sweden: A Qualitative Multi-Informant Study Linking to ICF. Int. J. Environ. Res. Public Health 2022, 19, 1268. [Google Scholar] [CrossRef]
- Newacheck, P.W.; Taylor, W.R. Childhood chronic illness: Prevalence, severity, and impact. Am. J. Public Health 1992, 82, 364–371. [Google Scholar] [CrossRef] [PubMed] [Green Version]
- Martinez, W.; Carter, J.S.; Legato, L.J. Social competence in children with chronic illness: A meta-analytic review. J. Pediatr. Psychol. 2011, 36, 878–890. [Google Scholar] [CrossRef] [PubMed] [Green Version]
- Van der Lee, J.H.; Mokkink, L.B.; Grootenhuis, M.A.; Heymans, H.S.; Offringa, M. Definitions and measurement of chronic health conditions in childhood: A systematic review. JAMA 2007, 297, 2741. [Google Scholar] [CrossRef] [PubMed]
- Van Cleave, J.; Gortmaker, S.L.; Perrin, J.M. Dynamics of obesity and chronic health conditions among children and youth. JAMA 2010, 303, 623–630. [Google Scholar] [CrossRef] [PubMed] [Green Version]
- Serlachius, A.; Badawy, S.M.; Thabrew, H. Psychosocial challenges and opportunities for youth with chronic health conditions during the COVID-19 pandemic. JMIR Pediatr Parent. 2020, 3, e23057. [Google Scholar] [CrossRef]
- Cobham, V.E.; Hickling, A.; Kimball, H.; Thomas, H.J.; Scott, J.G.; Middeldorp, C.M. Systematic review: Anxiety in children and adolescents with chronic medical conditions. J. Am. Acad. Child Adolesc. Psychiatry 2020, 59, 595–618. [Google Scholar] [CrossRef]
- Curtis, C.E.; Luby, J.L. Depression and social functioning in preschool children with chronic medical conditions. J. Pediatr. 2008, 153, 408–413. [Google Scholar] [CrossRef] [Green Version]
- Santomauro, D.F.; Herrera AM, M.; Shadid, J.; Zheng, P.; Ashbaugh, C.; Pigott, D.M.; Ferrari, A.J. Global prevalence and burden of depressive and anxiety disorders in 204 countries and territories in 2020 due to the COVID-19 pandemic. Lancet 2021, 398, 1700–1712. [Google Scholar] [CrossRef]
- World Health Organization. Mental Health and COVID-19: Early Evidence of the Pandemic’s Impact: Scientific Brief; World Health Organization: Geneva, Switzerland, 2022. [Google Scholar]
- Racine, N.; McArthur, B.A.; Cooke, J.E.; Eirich, R.; Zhu, J.; Madigan, S. Global prevalence of depressive and anxiety symptoms in children and adolescents during COVID-19: A meta-analysis. JAMA Pediatrics 2021, 175, 1142–1150. [Google Scholar] [CrossRef] [PubMed]
- Lee, J. Effetti sulla salute mentale della chiusura delle scuole durante il COVID-19. Lancet Child Adolesc. Health 2020, 4, 421. [Google Scholar] [CrossRef]
- Lazzerini, M.; Barbi, E.; Apicella, A.; Marchetti, F.; Cardinale, F.; Trobia, G. Delayed access or provision of care in Italy resulting from fear of COVID-19. Lancet Child Adolesc Health 2020, 4, e10–e11. [Google Scholar] [CrossRef]
- Zhang, G.; Yang, H.; Zhang, A.; Shen, Q.; Wang, L.; Li, Z.; Zhao, B. The Impact of the COVID-19 Outbreak on the Medical Treatment of Chinese Children with Chronic Kidney Disease (CKD): A Multicenter Cross-section Study in the Context of a Public Health Emergency of International Concern. medRxiv 2020. [Google Scholar] [CrossRef] [Green Version]
- Holmes, E.A.; O’Connor, R.C.; Perry, V.H.; Tracey, I.; Wessely, S.; Arseneault, L.; Ford, T. Multidisciplinary research priorities for the COVID-19 pandemic: A call for action for mental health science. Lancet Psychiatry 2020, 7, 547–560. [Google Scholar] [CrossRef]
- Spitzer, R.L.; Kroenke, K.; Williams, J.B.; Löwe, B. A brief measure for assessing generalized anxiety disorder: The GAD-7. Arch. Intern. Med. 2006, 166, 1092–1097. [Google Scholar] [CrossRef] [PubMed] [Green Version]
- Spitzer, R.L.; Kroenke, K.; Williams, J.B. Patient Health Questionnaire Primary Care Study Group, & Patient Health Questionnaire Primary Care Study Group. Validation and utility of a self-report version of PRIME-MD: The PHQ primary care study. JAMA 1999, 282, 1737–1744. [Google Scholar]
- Kroenke, K.; Spitzer, R.L.; Williams, J.B. The PHQ-9: Validity of a brief depression severity measure. J. Gen. Intern. Med. 2001, 16, 606–613. [Google Scholar] [CrossRef] [PubMed]
- Wittkampf, K.A.; Naeije, L.; Schene, A.H.; Huyser, J.; van Weert, H.C. Diagnostic accuracy of the mood module of the Patient Health Questionnaire: A systematic review. Gen. Hosp. Psychiatry 2007, 29, 388–395. [Google Scholar] [CrossRef] [PubMed]
- Levis, B.; Benedetti, A.; Thombs, B.D. Accuracy of Patient Health Questionnaire-9 (PHQ-9) for screening to detect major depression: Individual participant data meta-analysis. BMJ 2019, 365, 1476. [Google Scholar] [CrossRef] [Green Version]
- Alharbi, R.; Alsuhaibani, K.; Almarshad, A.; Alyahya, A. Depression and anxiety among high school student at Qassim Region. Fam. Med. Prim. Care Rev. 2019, 8, 504. [Google Scholar] [CrossRef] [PubMed]
- Tiirikainen, K.; Haravuori, H.; Ranta, K.; Kaltiala-Heino, R.; Marttunen, M. Psychometric properties of the 7-item Generalized Anxiety Disorder Scale (GAD-7) in a large representative sample of Finnish adolescents. Psychiatry Res. 2019, 272, 30–35. [Google Scholar] [CrossRef] [PubMed] [Green Version]
- JASP Team. JASP v. 0.16.1; JASP: Amsterdam, The Netherlands, 2022. [Google Scholar]
- Core Team. R: A Language and Environment for Statistical Computing; R Foundation for Statistical Computing, R: Vienna, Austria, 2021. [Google Scholar]
- Quittner, A.L.; Abbott, J.; Georgiopoulos, A.M.; Goldbeck, L.; Smith, B.; Hempstead, S.E.; Elborn, S. International committee on mental health in cystic fibrosis: Cystic fibrosis foundation and European cystic fibrosis society consensus statements for screening and treating depression and anxiety. Thorax 2016, 71, 26–34. [Google Scholar] [CrossRef] [PubMed] [Green Version]
- Mussatto, K. Adaptation of the child and family to life with a chronic illness. Cardiol. Young 2006, 16, 110–116. [Google Scholar] [CrossRef] [PubMed]
- Merikangas, K.R.; He, J.P.; Burstein, M.; Swanson, S.A.; Avenevoli, S.; Cui, L.; Benjet, C.; Georgiades, K.; Swendsen, J. Lifetime prevalence of mental disorders in U.S. adolescents: Results from the National Comorbidity Survey Replication–Adolescent Supplement (NCS-A). J. Am. Acad. Child. Adolesc. Psychiatry 2010, 49, 980–989. [Google Scholar] [CrossRef] [Green Version]
- Ekinci, O.; Titus, J.B.; Rodopman, A.A.; Berkem, M.; Trevathan, E. Depression and anxiety in children and adolescents with epilepsy: Prevalence, risk factors, and treatment. Epilepsy Behav. 2009, 14, 8–18. [Google Scholar] [CrossRef]
- Reilly, C.; Agnew, R.; Neville, B.G. Depression and anxiety in childhood epilepsy: A review. Seizure 2011, 20, 589–597. [Google Scholar] [CrossRef] [Green Version]
- LaGrant, B.; Marquis, B.O.; Berg, A.T.; Grinspan, Z.M. Depression and anxiety in children with epilepsy and other chronic health conditions: National estimates of prevalence and risk factors. Epilepsy Behav. 2020, 103, 106828. [Google Scholar] [CrossRef]
- Schmidt, S.; Petersen, C.; Bullinger, M. Coping with chronic disease from the perspective of children and adolescents–a conceptual framework and its implications for participation. Child Care Health Dev. 2003, 29, 63–75. [Google Scholar] [CrossRef]
- Patel, V.; Saxena, S.; Lund, C.; Thornicroft, G.; Baingana, F.; Bolton, P.; Chisholm, D.; Collins, P.Y.; Cooper, J.L.; Eaton, J.; et al. The Lancet Commission on global mental health and sustainable development. Lancet 2018, 392, 1553–1598. [Google Scholar] [CrossRef] [Green Version]
- Russ, S.A.; Larson, K.; Halfon, N. A national profile of childhood epilepsy and seizure disorder. Pediatrics 2012, 129, 256–264. [Google Scholar] [CrossRef] [PubMed]
- Berg, A.T.; Caplan, R.; Hesdorffer, D.C. Psychiatric and neurodevelopmental disorders in childhood-onset epilepsy. Epilepsy Behav. 2011, 20, 550–555. [Google Scholar] [CrossRef] [PubMed] [Green Version]
- Clarke, D.M.; Currie, K.C. Depression, anxiety and their relationship with chronic diseases: A review of the epidemiology, risk and treatment evidence. Med. J. Aust. 2009, 190, S54–S60. [Google Scholar] [CrossRef]
- Ma, L.; Mazidi, M.; Li, K.; Li, Y.; Chen, S.; Kirwan, R.; Wang, Y. Prevalence of mental health problems among children and adolescents during the COVID-19 pandemic: A systematic review and meta-analysis. J. Affect. Disord. 2021, 293, 78–89. [Google Scholar] [CrossRef]
- Combs-Orme, T.; Heflinger, C.A.; Simpkins, C.G. Comorbidity of mental health problems and chronic health conditions in children. J. Emot. Behav. Disord. 2002, 10, 116–125. [Google Scholar] [CrossRef]
- Zolkoski, S.M.; Bullock, L.M. Resilience in children and youth: A review. Child. Youth Serv. Rev. 2012, 34, 2295–2303. [Google Scholar] [CrossRef]
- Prince, M.; Patel, V.; Saxena, S.; Maj, M.; Maselko, J.; Phillips, M.R.; Rahman, A. No health without mental health. Lancet 2007, 370, 859–877. [Google Scholar] [CrossRef]


| Pediatric Center | Patients (n) |
|---|---|
| IRCCS O.P. Bambino Gesù | 242 |
| IRCCS Istituto Giannina Gaslini | 5 |
| O.P. Giovanni XXIII | 17 |
| A.O.U. Meyer | 35 |
| A.O.U. Ospedali Riuniti di Ancona | 28 |
| A.O. SS. Antonio e Biagio e C. Arrigo | 7 |
| CI Diagnosis | n | |
|---|---|---|
| Epilepsy | 53 | |
| Generalized | 10 | |
| Focal | 34 | |
| Others | 9 | |
| Heart Disease | 14 | |
| Fontan | 6 | |
| Cardiomyopathy Hypertrophic | 1 | |
| Interventricular Defect | 3 | |
| Defect Transposition of Large Vessels | 1 | |
| Congenital Cardiopathy | 2 | |
| Third-Degree Ventricular Atrium Block | 1 | |
| AIDS | 16 | |
| Cystic Fibrosis | 22 | |
| Gastrointestinal Diseases | 20 | |
| Chron disease | 10 | |
| Ulcerative Colitis | 7 | |
| Pancolitis | 2 | |
| Hirschsprung disease | 1 | |
| Onco-Hematological Diseases | 9 | |
| Acute Lymphoblastic Leukemia | 3 | |
| Histiocytosis | 1 | |
| Hypothalamic Hamartoma | 1 | |
| Osteosarcoma | 2 | |
| Desmoplastic Small Round Cell Tumor | 1 | |
| Parietal Cavernoma | 1 | |
| Migraines | 151 | |
| Diabetes | 19 | |
| Asthma | 4 | |
| Scoliosis | 4 | |
| Arthritis | 2 | |
| Kidney Disease | 7 | |
| Chronic Kidney Failure | 2 | |
| Renal Dysplasia | 1 | |
| Renal Agenesis | 1 | |
| Nephrophysis | 1 | |
| Hemolytic Uremic Syndrome | 1 | |
| Glomerulonephritis Membranoproliferatin | 1 | |
| Other Rare Diseases | 13 | |
| Duchenne Syndrome | 1 | |
| GLUT1 Deficiency Syndrome | 1 | |
| Schizotypic Disorder | 1 | |
| Primitive Sclerosing Cholangitis | 1 | |
| Atopic Dermatitis | 1 | |
| Coeliac Disease | 1 | |
| Schimke Immuno-Osseous Dysplasia | 1 | |
| Lupus | 1 | |
| Primary Hyperoxaluria Type I | 1 | |
| Thrombocytopenia | 1 | |
| Dravet Syndrome | 1 | |
| Janz Syndrome | 1 | |
| Optical Neuromyelitis | 1 | |
| Variables | Depressive Symptoms (PHQ-9) | Anxiety Symptoms (GAD-7) | Comorbid Depression and Anxiety Symptoms | |||
|---|---|---|---|---|---|---|
| n | % | n | % | n | % | |
| None | 106 | 31.74 | 123 | 36.83 | - | - |
| Mild | 121 | 36.23 | 112 | 33.53 | - | - |
| Moderate | 79 | 23.65 | 66 | 19.76 | - | - |
| Severe | 27 | 8.08 | 32 | 9.58 | - | - |
| Total symptoms | 227 | 67.96 | 210 | 62.87 | 180 | 53.89 |
| Diagnosis | Anxiety Symptoms (GAD-7) | Depressive Symptoms (PHQ-9) | ||||
|---|---|---|---|---|---|---|
| n | % | M | SD | M | SD | |
| Migraines | 151 | 45.21 | 7.81 *** | 4.90 | 8.57 *** | 4.62 |
| Diabetes | 19 | 5.69 | 9.21 ** | 5.45 | 9.89 ** | 5.92 |
| Gastrointestinal Diseases | 20 | 5.99 | 7.45 * | 4.19 | 6.55 | 5.29 |
| Epilepsy | 53 | 15.87 | 6.94 | 5.25 | 6.23 | 4.97 |
| Cystic Fibrosis | 22 | 6.59 | 4.73 | 3.53 | 5.68 | 3.56 |
| AIDS | 16 | 4.79 | 4.87 | 3.04 | 6.80 | 5.36 |
| Heart Diseases | 14 | 4.19 | 4.71 | 4.18 | 5.07 | 4.57 |
| Onco-Hemat. Diseases | 9 | 2.69 | 6.78 | 3.53 | 6.56 | 2.74 |
| Kidney Disease | 7 | 2.09 | 8.29 | 6.16 | 5.57 | 4.12 |
| Asthma | 4 | 1.20 | 5.00 | 3.65 | 8.25 | 4.03 |
| Scoliosis | 4 | 1.20 | 3.75 | 2.75 | 3.25 | 1.50 |
| Arthritis | 2 | 0.60 | 2.50 | 2.12 | 3.50 | 3.54 |
| Other Rare Diseases | 13 | 3.89 | 7.85 | 4.41 | 8.23 | 7.05 |
| Variables | Anxiety Symptoms (GAD-7) | Depressive Symptoms (PHQ-9) | |||||||
|---|---|---|---|---|---|---|---|---|---|
| n | % | M | SD | Max Tot Score | M | SD | Max Tot Score | ||
| Overall | 334 | 100 | 7.132 *** | 4.83 | 7.505 *** | 4.94 | |||
| Sex | Male | 133 | 39.82 | 5.64 | 4.03 | 18 * | 5.70 | 4.12 | 23 * |
| Female | 201 | 60.18 | 8.11 *** | 5.06 | 21 * | 8.69 *** | 5.08 | 26 * | |
| Pharmacological therapy | Yes | 186 | 55.69 | 7.05 *** | 4.88 | 21 * | 7.20 *** | 5.04 | 26 * |
| No | 148 | 44.31 | 7.24 *** | 4.78 | 19 * | 7.92 *** | 4.80 | 22 * | |
| Other (non-pharmacological) therapies | Yes | 84 | 25.15 | 7.60 *** | 4.73 * | 18 * | 8.13 *** | 5.06 | 22 * |
| No | 240 | 71.86 | 7.02 *** | 4.89 | 21 * | 7.31 *** | 4.85 | 26 * | |
| Continuity of care during COVID-19 first lockdown | Yes | 35 | 10.48 | 7.51 ** | 4.72 | 17 * | 8.03 ** | 5.28 | 24 * |
| No | 293 | 87.72 | 7.11 *** | 4.86 | 21 * | 7.43 *** | 4.61 | 26 * | |
| Years of illness | ≤1 | 48 | 14.37 | 8.15 *** | 4.80 | 17 * | 8.78 *** | 5.75 | 24 * |
| 1 < 5 | 134 | 40.12 | 6.85 *** | 4.91 | 21 * | 7.70 *** | 4.89 | 26 * | |
| ≥5 | 111 | 33.23 | 6.82 *** | 4.64 | 18 * | 6.50 * | 4.64 | 19 * | |
| Age at diagnosis | Preschool | 65 | 19.46 | 6.14 | 4.41 | 18 * | 6.22 | 4.35 | 19 * |
| School | 227 | 67.96 | 7.29 *** | 4.89 | 21 * | 7.77 *** | 5.14 | 26 * | |
| W | df | p | |
|---|---|---|---|
| Age at diagnosis (preschool vs. school)† | |||
| Tot score GAD-7 | 5432.000 | 0.073 | |
| Tot score PHQ-9 | 5553.000 | 0.039 * | |
| Pharmacological therapy (Y/N) † | |||
| Tot score GAD-7 | 11094.000 | 0.217 | |
| Tot score PHQ-9 | 11592.500 | 0.051 | |
| Other (non-pharmacological) therapies (Y/N) † | |||
| Tot score GAD-7 | 6387.500 | 0.183 | |
| Tot score PHQ-9 | 6307.000 | 0.142 | |
| Continuity of care during COVID-19 first lockdown (Y/N)‡ | |||
| Tot score GAD-7 | −0.553 | 39.746 | 0.584 |
| Tot score PHQ-9 | −0.657 | 38.774 | 0.515 |
| Sex (m/f) † | |||
| Tot score GAD-7 | 13,017.500 | <0.001 *** | |
| Tot score PHQ-9 | 13,522.000 | <0.001 *** |
Publisher’s Note: MDPI stays neutral with regard to jurisdictional claims in published maps and institutional affiliations. |
© 2022 by the authors. Licensee MDPI, Basel, Switzerland. This article is an open access article distributed under the terms and conditions of the Creative Commons Attribution (CC BY) license (https://creativecommons.org/licenses/by/4.0/).
Share and Cite
Correale, C.; Falamesca, C.; Tondo, I.; Borgi, M.; Cirulli, F.; Truglio, M.; Papa, O.; Vagnoli, L.; Arzilli, C.; Venturino, C.; et al. Depressive Anxiety Symptoms in Hospitalized Children with Chronic Illness during the First Italian COVID-19 Lockdown. Children 2022, 9, 1156. https://doi.org/10.3390/children9081156
Correale C, Falamesca C, Tondo I, Borgi M, Cirulli F, Truglio M, Papa O, Vagnoli L, Arzilli C, Venturino C, et al. Depressive Anxiety Symptoms in Hospitalized Children with Chronic Illness during the First Italian COVID-19 Lockdown. Children. 2022; 9(8):1156. https://doi.org/10.3390/children9081156
Chicago/Turabian StyleCorreale, Cinzia, Chiara Falamesca, Ilaria Tondo, Marta Borgi, Francesca Cirulli, Mauro Truglio, Oriana Papa, Laura Vagnoli, Cinzia Arzilli, Cristina Venturino, and et al. 2022. "Depressive Anxiety Symptoms in Hospitalized Children with Chronic Illness during the First Italian COVID-19 Lockdown" Children 9, no. 8: 1156. https://doi.org/10.3390/children9081156
APA StyleCorreale, C., Falamesca, C., Tondo, I., Borgi, M., Cirulli, F., Truglio, M., Papa, O., Vagnoli, L., Arzilli, C., Venturino, C., Pellegrini, M., Manfredi, V., Sterpone, R., Grimaldi Capitello, T., Gentile, S., & Cappelletti, S. (2022). Depressive Anxiety Symptoms in Hospitalized Children with Chronic Illness during the First Italian COVID-19 Lockdown. Children, 9(8), 1156. https://doi.org/10.3390/children9081156

