Inconsistent Media Mediation and Problematic Smartphone Use in Preschoolers: Maternal Conflict Resolution Styles as Moderators
Abstract
:1. Introduction
1.1. Parental Mediation Strategies and the Child’s Smartphone Use
1.2. The Moderating Role of Parent–Child Conflict Resolution Tactics
1.3. The Present Study
2. Materials and Methods
2.1. Participants
2.2. Measures
2.3. Procedure
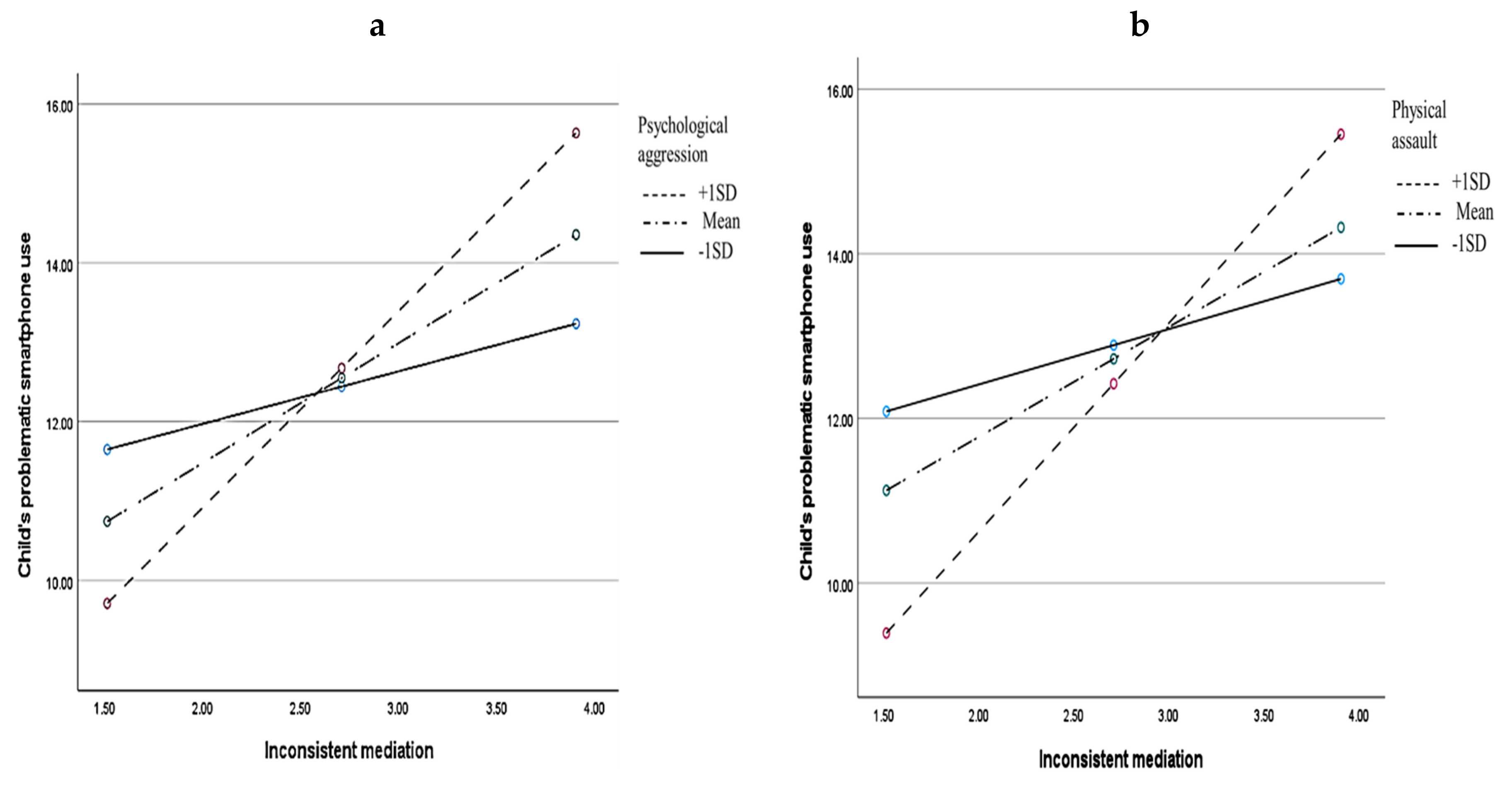
3. Results
4. Discussion
Author Contributions
Funding
Institutional Review Board Statement
Informed Consent Statement
Data Availability Statement
Conflicts of Interest
References
- Hosokawa, R.; Katsura, T. Association between mobile technology use and child adjustment in early elementary school age. PLoS ONE 2018, 13, e0199959. [Google Scholar] [CrossRef] [PubMed]
- Cooper, L.Z. Developmentally appropriate digital environments for young children. Libr. Trends 2005, 54, 286–302. [Google Scholar] [CrossRef] [Green Version]
- Rideout, V. The Common Sense Census: Media Use by Kids Age Zero to Eight; Common Sense Media: San Francisco, CA, USA, 2017; Available online: https://www.commonsensemedia.org/sites/default/files/research/report/csm_zerotoei%20ght_fullreport_release_2.pdf (accessed on 20 March 2022).
- Park, J.H.; Park, M. Smartphone use patterns and problematic smartphone use among preschool children. PLoS ONE 2021, 16, e0244276. [Google Scholar] [CrossRef]
- Van Deursen, A.J.; Bolle, C.L.; Hegner, S.M.; Kommers, P.A. Modeling habitual and addictive smartphone behavior: The role of smartphone usage types, emotional intelligence, social stress, self-regulation, age, and gender. Comput. Hum. Behav. 2015, 45, 411–420. [Google Scholar] [CrossRef] [Green Version]
- Cho, K.-S.; Lee, J.-M. Influence of smartphone addiction proneness of young children on problematic behaviors and emotional intelligence: Mediating self-assessment effects of parents using smartphones. Comput. Hum. Behav. 2017, 66, 303–311. [Google Scholar] [CrossRef]
- Sohn, S.Y.; Rees, P.; Wildridge, B.; Kalk, N.J.; Carter, B. Prevalence of problematic smartphone usage and associated mental health outcomes amongst children and young people: A systematic review, meta-analysis and GRADE of the evidence. BMC Psychiatry 2019, 19, 356. [Google Scholar] [CrossRef] [Green Version]
- Yang, H.; Wang, J.J.; Tng, G.Y.; Yang, S. Effects of social media and smartphone use on body esteem in female adolescents: Testing a cognitive and affective model. Children 2020, 7, 148. [Google Scholar] [CrossRef]
- Choi, D.J.; Kim, Y.S.; Eum, N.R.; Kim, H.S. The Survey on Smartphone Phone Overdependence (Report No. NIA VI-RSE-C-18060). Ministry of Science and ICT and National Information Society Agency. 2018. Available online: https://www.nia.or.kr/site/nia_kor/ex/bbs/View.do?cbIdx=65914&bcIdx=20876&parentSeq=20876 (accessed on 20 March 2022).
- Bronfenbrenner, U. The Ecology of Human Development: Experiments by Nature and Design; Harvard University Press: Cambridge, MA, USA, 1979. [Google Scholar]
- Griffith, S.F.; Arnold, D.H. Home learning in the new mobile age: Parent–child interactions during joint play with educational apps in the US. J. Child. Media 2019, 13, 1–19. [Google Scholar] [CrossRef]
- Clark, L.S. Parental mediation theory for the digital age. Commun. Theory 2011, 21, 323–343. [Google Scholar] [CrossRef]
- Hwang, Y.; Choi, I.; Yum, J.Y.; Jeong, S.H. Parental mediation regarding children’s smartphone use: Role of protection motivation and parenting style. Cyberpsychol. Behav. Soc. Netw. 2017, 20, 362–368. [Google Scholar] [CrossRef]
- Collier, K.M.; Coyne, S.M.; Rasmussen, E.E.; Hawkins, A.J.; Padilla-Walker, L.M.; Erickson, S.E.; Memmott-Elison, M.K. Does parental mediation of media influence child outcomes? A meta-analysis on media time, aggression, substance use, and sexual behavior. Dev. Psychol. 2016, 52, 798–812. [Google Scholar] [CrossRef]
- Chang, F.-C.; Chiu, C.-H.; Chen, P.-H.; Chiang, J.-T.; Miao, N.-F.; Chuang, H.-Y.; Liu, S. Children’s use of mobile devices, smartphone addiction and parental mediation in Taiwan. Comput. Hum. Behav. 2019, 93, 25–32. [Google Scholar] [CrossRef]
- Cho, J.Y.; Kim, T.; Lee, B.G. Effective parental mediation for the right use of smartphones in early childhood. Information 2016, 19, 365–372. [Google Scholar]
- Lee, E.J.; Kim, H.S. Effect of maternal factors on problematic smartphone use among elementary school children. Int. J. Environ. Res. Public Health 2021, 18, 9182. [Google Scholar] [CrossRef]
- Lee, S.J.; Lee, C.; Lee, C. Smartphone addiction and application usage in Korean adolescents: Effects of mediation strategies. Soc. Behav. Personal. Int. J. 2016, 44, 1525–1534. [Google Scholar] [CrossRef]
- Lee, E.J.; Ogbolu, Y. Does parental control work with smartphone addiction? A cross-sectional study of children in South Korea. J. Addict. Nurs. 2018, 29, 128–138. [Google Scholar] [CrossRef]
- Fikkers, K.M.; Piotrowski, J.T.; Valkenburg, P.M. A matter of style? Exploring effects of parental mediation styles on early adolescents’ media violence exposure aggression. Comput. Hum. Behav. 2017, 70, 407–415. [Google Scholar] [CrossRef]
- Geary, D.C. Male, Female: The Evolution of Human Sex Differences, 2nd ed.; American Psychological Association: Washington, DC, USA, 2010. [Google Scholar] [CrossRef] [Green Version]
- Russell, G.; Russell, A. Mother-child and father-child relationships in middle childhood. Child Dev. 1987, 58, 1573–1585. [Google Scholar] [CrossRef]
- Mangiavacchi, L.; Piccoli, L.; Pieroni, L. Fathers matter: Intrahousehold responsibilities and children’s wellbeing during the COVID-19 lockdown in Italy. Econ. Hum. Biol. 2021, 42, 101016. [Google Scholar] [CrossRef]
- Gardner, F.E. Inconsistent parenting: Is there evidence for a link with children’s conduct problems? J. Abnorm. Child Psychol. 1989, 17, 223–233. [Google Scholar] [CrossRef]
- Miltuze, A.; Sebre, S.B.; Martinsone, B. Consistent and appropriate parental restrictions mitigating against children’s compulsive Internet use: A one-year longitudinal study. Technol. Knowl. Learn. 2020, 26, 883–895. [Google Scholar] [CrossRef]
- Martins, N.; Mares, M.-L.; Nathanson, A.I. Mixed messages: Inconsistent parental mediation indirectly predicts teens’ online relational aggression. J. Fam. Commun. 2019, 19, 311–328. [Google Scholar] [CrossRef]
- Meeus, A.; Eggermont, S.; Beullens, K. Constantly connected: The role of parental mediation styles and self-regulation in pre-and early adolescents’ problematic mobile device use. Hum. Commun. Res. 2019, 45, 119–147. [Google Scholar] [CrossRef]
- Kildare, C.A.; Middlemiss, W. Impact of parents mobile device use on parent child interaction: A literature review. Comput. Hum. Behav. 2017, 75, 579–593. [Google Scholar] [CrossRef]
- Jaffee, W.B.; D’Zurilla, T.J. Adolescent problem solving, parent problem solving, externalizing behavior in adolescents. Behav. Ther. 2003, 34, 295–311. [Google Scholar] [CrossRef]
- Livingstone, S.; Helsper, E.J. Parental mediation of children’s internet use. J. Broadcast. Electron. Media 2008, 52, 581–599. [Google Scholar] [CrossRef] [Green Version]
- Nikken, P.; Jansz, J. Parental mediation of children’s videogame playing: A comparison of the reports by parents and children. Learn. Media Technol. 2006, 31, 181–202. [Google Scholar] [CrossRef]
- Nielsen, P.; Favez, N.; Liddle, H.; Rigter, H. Linking parental mediation practices to adolescents’ problematic online screen use: A systematic literature review. J. Behav. Addict. 2019, 8, 649–663. [Google Scholar] [CrossRef]
- Yang, Y.; Liu, R.-D.; Liu, J.; Ding, Y.; Hong, W.; Jiang, S. The relations between parental active mediation, parent-child relationships and children’s problematic mobile use: A longitudinal study. Media Psychol. 2021, 1–18. [Google Scholar] [CrossRef]
- Piotrowski, J.T. The parental media mediation context of young children’s media use. In Media Exposure during Infancy and Early Childhood; Springer: Cham, Switzerland, 2017; pp. 205–219. [Google Scholar]
- Valkenburg, P.M.; Piotrowski, J.T.; Hermanns, J.; De Leeuw, R. Developing and validating the Perceived Parental Media Mediation Scale: A self-determination perspective. Hum. Commun. Res. 2013, 39, 445–469. [Google Scholar] [CrossRef]
- Sekarasih, L. Restricting, distracting, and reasoning: Parental mediation of young children’s use of mobile communication technology in Indonesia. In Mobile Communication and the Family; Springer: Dordrecht, The Netherlands, 2016; pp. 129–146. [Google Scholar]
- Nevski, E.; Siibak, A. The role of parents and parental mediation on 0–3-year olds’ digital play with smart devices: Estonian parents’ attitudes and practices. Early Years 2016, 36, 227–241. [Google Scholar] [CrossRef]
- Dwairy, M. Parental inconsistency versus parental authoritarianism: Association with symptoms of psychological disorders. J. Youth Adolesc. 2007, 37, 616–626. [Google Scholar] [CrossRef]
- Patterson, G.R. Performance models for antisocial boys. Am. Psychol. 1986, 41, 432–444. [Google Scholar] [CrossRef] [PubMed]
- Patterson, G.R. Coercive Family Process; Castalia: Eugene, OR, USA, 1982. [Google Scholar]
- Sebre, S.B.; Miltuze, A.; Limonovs, M. Integrating adolescent problematic internet use risk factors: Hyperactivity, inconsistent parenting, and maladaptive cognitions. J. Child Fam. Stud. 2020, 29, 2000–2009. [Google Scholar] [CrossRef]
- Ainsworth, M.D.S.; Blehar, M.C.; Waters, E.; Wall, S. Patterns of Attachment: A Psychological Study of the Strange Situation; Lawrence Erlbaum Associates: Hillsdale, NJ, USA, 1978. [Google Scholar]
- Causadias, J.M.; Coffino, B. El apego, la conducta antisocial y el encarcelamiento. Una perspectiva del desarrollo. (Attachment, antisocial behavior and imprisonment: Adevelopmental perspective). In La Teoría del Apego: Investigación y Aplicaciones Clinicas; Torres de Cádiz, B., Causadias, J., Posada, G., Eds.; Psimática: Madrid, Spain, 2014; pp. 410–440. [Google Scholar]
- Konok, V.; Gigler, D.; Bereczky, B.M.; Miklósi, Á. Humans’ attachment to their mobile phones and its relationship with interpersonal attachment style. Comput. Hum. Behav. 2016, 61, 537–547. [Google Scholar] [CrossRef]
- Schimmenti, A.; Passanisi, A.; Gervasi, A.M.; Manzella, S.; Famà, F.I. Insecure attachment attitudes in the onset of problematic internet use among late adolescents. Child Psychiatry Hum. Dev. 2014, 45, 588–595. [Google Scholar] [CrossRef] [PubMed]
- Parent, N.; Shapka, J. Moving beyond addiction: An attachment theory framework for understanding young adults’ relationships with their smartphones. Hum. Behav. Emerg. Technol. 2019, 2, 179–185. [Google Scholar] [CrossRef] [Green Version]
- Ricci, S.S.; Kyle, T.; Carman, S. Maternity and pediatric nursing. In Growth and Development of the Preschooler, 3rd ed.; Wolters Kluwer: Philadelphia, PA, USA, 2017; pp. 1022–1049. [Google Scholar]
- Straus, M.A.; Hamby, S.L.; Finkelhor, D.; Moore, D.W.; Runyan, D. Identification of child maltreatment with the Parent-Child Conflict Tactics Scales: Development and psychometric data for a national sample of American parents. Child Abus. Negl. 1998, 22, 249–270. [Google Scholar] [CrossRef]
- Rubenstein, J.L.; Feldman, S.S. Conflict resolution behavior in adolescent boys: Antecedents and adaptational correlates. J. Res. Adolesc. 1993, 3, 41–66. [Google Scholar] [CrossRef]
- Jake-Schoffman, D.E.; Turner-Mcgrievy, G.; Walsemann, K.M. Wired: Parent–child relationship quality and recreational media use in a diverse sample of US children and adolescents. J. Child. Media 2017, 11, 347–357. [Google Scholar] [CrossRef]
- Lee, H.E.; Kim, J.Y.; Kim, C. The influence of parent media use, parent attitude on media, and parenting style on children’s media use. Children 2022, 9, 37. [Google Scholar] [CrossRef]
- Dadds, M.R.; Atkinson, E.; Turner, C.; Blums, G.J.; Lendich, B. Family conflict and child adjustment: Evidence for a cognitive-contextual model of intergenerational transmission. J. Fam. Psychol. 1999, 13, 194–208. [Google Scholar] [CrossRef]
- Lo, C.K.M.; Ho, F.K.; Emery, C.; Chan, K.L.; Wong, R.S.; Tung, K.T.S.; Ip, P. Association of harsh parenting and maltreatment with internet addiction, and the mediating role of bullying and social support. Child Abus. Negl. 2021, 113, 104928. [Google Scholar] [CrossRef]
- Wang, M.; Qi, W. Harsh parenting and problematic Internet use in Chinese adolescents: Child emotional dysregulation as mediator and child forgiveness as moderator. Comput. Hum. Behav. 2017, 77, 211–219. [Google Scholar] [CrossRef]
- Vissing, Y.M.; Straus, M.A.; Gelles, R.J.; Harrop, J.W. Verbal aggression by parents and psychosocial problems of children. Child Abus. Negl. 1991, 15, 223–238. [Google Scholar] [CrossRef]
- Yates, T.M.; Gregor, M.A.; Haviland, M.G. Child maltreatment, alexithymia, and problematic Internet use in young adulthood. Cyberpsychol. Behav. Soc. Netw. 2012, 15, 219–225. [Google Scholar] [CrossRef]
- Yildirim, E.D.; Roopnarine, J.L. The mediating role of maternal warmth in the associations between harsh parental practices and externalizing and internalizing behaviors in Hispanic American, African American, and European American families. Cult. Divers. Ethn. Minority Psychol. 2015, 21, 430–439. [Google Scholar] [CrossRef]
- Campbell, S. Behavior Problems in Preschool Children: Clinical and Developmental Issues; Guilford: New York, NY, USA, 1990. [Google Scholar]
- Danforth, J.S.; Anderson, L.P.; Barkley, R.A.; Stokes, T.F. Observations of parent-child interactions with hyperactive children: Research and clinical implications. Clin. Psychol. Rev. 1991, 11, 703–727. [Google Scholar] [CrossRef]
- Deater-Deckard, K.; Dodge, K.A.; Bates, J.E.; Pettit, G.S. Physical discipline among African American and European American mothers: Links to children’s externalizing behaviors. Dev. Psychol. 1996, 32, 1065–1072. [Google Scholar] [CrossRef]
- Lansford, J.E.; Wager, L.B.; Bates, J.E.; Pettit, G.S.; Dodge, K.A. Forms of spanking and children’s externalizing behaviors. Fam. Relat. Interdiscip. Fam. Relat. 2012, 61, 224–236. [Google Scholar] [CrossRef] [PubMed] [Green Version]
- Chang, L.; Schwartz, D.; Dodge, K.A.; McBride-Chang, C. Harsh parenting in relation to child emotion regulation and aggression. J. Fam. Psychol. 2003, 17, 598–606. [Google Scholar] [CrossRef] [PubMed] [Green Version]
- Hart, C.H.; Nelson, D.A.; Robinson, C.C.; Olsen, S.F.; McNeilly-Choque, M.K. Overt and relational aggression in Russian nursery-school-age children: Parenting style and marital linkages. Dev. Psychol. 1998, 34, 687–697. [Google Scholar] [CrossRef] [PubMed]
- Leung, P.W.; Wong, W.C.; Chen, W.Q.; Tang, C.S. Prevalence and determinants of child maltreatment among high school students in Southern China: A large scale school based survey. Child Adolesc. Psychiatry Ment. Health 2008, 2, 27. [Google Scholar] [CrossRef] [Green Version]
- Riem, M.M.E.; De Carli, P.; Guo, J.; Bakermans-Kranenburg, M.J.; van IJzendoorn, M.H.; Lodder, P. Internet searches for terms related to child maltreatment during COVID-19: Infodemiology approach. JMIR Pediatr. Parent 2021, 4, e27974. [Google Scholar] [CrossRef]
- Wong, J.Y.H.; Choi, E.P.H.; Lo, H.H.M.; Wong, W.; Chio, J.H.M.; Choi, A.W.M.; Fong, D.Y.T. Intimate partner sexual violence and mental health indicators among Chinese emerging adults. J. Interpers. Violence 2021, 36, NP10229–NP10254. [Google Scholar] [CrossRef]
- Kwon, M.; Kim, D.J.; Cho, H.; Yang, S. The Smartphone Addiction Scale: Development and validation of a short version for adolescents. PLoS ONE 2013, 8, e83558. [Google Scholar] [CrossRef] [Green Version]
- Bruce, M.; Miyazaki, Y.; Bell, M.A. Infant attention and maternal education are associated with childhood receptive vocabulary development. Dev. Psychol. 2022. advance online publication. [Google Scholar] [CrossRef]
- Hope, E.C.; Jagers, R.J. The role of sociopolitical attitudes and civic education in the civic engagement of black youth. J. Res. Adolesc. 2014, 24, 460–470. [Google Scholar] [CrossRef] [Green Version]
- Csibi, S.; Griffiths, M.D.; Demetrovics, Z.; Szabo, A. Analysis of problematic smartphone use across different age groups within the ‘Components Model of Addiction’. Int. J. Ment. Health Addiction 2021, 19, 616–631. [Google Scholar] [CrossRef] [Green Version]
- Bhanderi, D.J.; Pandya, Y.P.; Sharma, D.B. Smartphone use and its addiction among adolescents in the age group of 16-19 years. Indian J. Community Med. 2021, 46, 88–92. [Google Scholar] [CrossRef]
- De-Sola Gutiérrez, J.; Rodríguez de Fonseca, F.; Rubio, G. Cell-phone addiction: A review. Front. Psychiatry 2016, 7, 175. [Google Scholar] [CrossRef] [PubMed] [Green Version]
- Hayes, A.F. Introduction to Mediation, Moderation, and Conditional Process Analysis: A Regression-Based Approach, 2nd ed.; Guilford Press: New York, NY, USA, 2018. [Google Scholar]
- Eichenberg, C.; Schott, M.; Schroiff, A. Comparison of students with and without problematic smartphone use in light of attachment style. Front. Psychiatry 2019, 10, 681. [Google Scholar] [CrossRef] [PubMed]
- Jimeno, M.V.; Ricarte, J.J.; Toledano, A.; Mangialavori, S.; Cacioppo, M.; Ros, L. Role of attachment and family functioning in problematic smartphone use in young adults. J. Fam. Issues 2022, 43, 375–391. [Google Scholar] [CrossRef]
- Lee, S.-J. Parental restrictive mediation of children’s internet use: Effective for what and for whom? New Media Soc. 2012, 15, 466–481. [Google Scholar] [CrossRef]

| M | SD | Range | 1 | 2 | 3 | 4 | 5 | 6 | 7 | 8 | 9 | |
|---|---|---|---|---|---|---|---|---|---|---|---|---|
| 1. Child’s age (months) | 61.42 | 8.93 | 42–77 | - | ||||||||
| 2. Mother’s ethnicity (% Chinese) 1 | 69.5 | 1–5 | - | |||||||||
| 3. Mother’s marital status (% married) 2 | 92.2 | 1–4 | - | |||||||||
| 4. Child’s sex (% boys) 3 | 51.90 | 1–2 | −0.029 | - | ||||||||
| 5. Mother’s age (years) | 35.58 | 4.73 | 25–48 | −0.022 | −0.043 | - | ||||||
| 6. Mother’s education 4 | 4.96 | 1.88 | 1–9 | −0.027 | −0.018 | 0.188 * | - | |||||
| 8. Restrictive mediation | 3.40 | 4.28 | 1.6–5 | −0.129 | −0.151 | 0.150 | 0.171 * | - | ||||
| 9. Inconsistent mediation | 2.69 | 1.26 | 1–5 | −0.029 | 0.020 | −0.036 | −0.140 | 0.043 | - | |||
| 10. Psychological aggression | 15.31 | 17.71 | 0–125 | 0.021 | 0.005 | −0.170 * | −0.025 | 0.042 | 0.104 | - | ||
| 11. Physical assault | 8.24 | 15.06 | 0–100 | −0.021 | 0.069 | −0.281 ** | −0.028 | −0.094 | −0.035 | 0.699 ** | - | |
| 12. Nonviolent discipline | 28.31 | 19.59 | 0–90 | −0.087 | −0.148 | 0.036 | 0.115 | 0.312 ** | −0.025 | 0.526 ** | 0.417 ** | - |
| 13. Child’s problematic smartphone use | 12.67 | 6.18 | 5–30 | 0.034 | 0.014 | −0.076 | −0.235 ** | −0.198* | 0.341 ** | 0.063 | −0.068 | −0.018 |
| B | SE B | β | |
|---|---|---|---|
| Child’s age (months) | 0.018 | 0.055 | 0.025 |
| Child’s sex 1 | 0.303 | 0.977 | 0.025 |
| Mother’s age | −0.058 | 0.106 | −0.045 |
| Mother’s education | −0.558 | 0.273 | −0.167 * |
| Ethnicity 2 | |||
| Chinese | 1.455 | 1.501 | 0.109 |
| Malay | 2.639 | 2.970 | 0.077 |
| Indian | 1.085 | 1.852 | 0.063 |
| Marital status 3 | |||
| Married | 2.236 | 2.976 | 0.095 |
| Divorced | −1.697 | 3.867 | −0.054 |
| Separated | 3.774 | 6.441 | 0.050 |
| Restrictive mediation | −2.178 | 0.730 | −0.250 ** |
| Inconsistent mediation | 1.570 | 0.408 | 0.305 ** |
| Psychological aggression | 0.058 | 0.042 | 0.166 |
| Physical assault | −0.109 | 0.047 | −0.269 * |
| Nonviolent discipline | 0.032 | 0.032 | 0.102 |
| Coefficients | SE | t | p | Confidence Interval | |
|---|---|---|---|---|---|
| Inconsistent Mediation | |||||
| Inconsistent mediation (IM) | 0.769 | 0.474 | 1.622 | 0.107 | [−0.169, 1.706] |
| Physical assault | −0.239 | 0.658 | −3.629 | 0.0004 | [−0.369, −0.109] |
| IM × Physical assault | 0.081 | 0.023 | 3.598 | 0.0004 | [0.035, 0.126] |
| Inconsistent mediation (IM) | 0.610 | 0.568 | 1.074 | 0.285 | [−0.513, 1.733] |
| Psychological aggression | −0.170 | 0.070 | −2.422 | 0.017 | [−0.308, −0.031] |
| IM × Psychological aggression | 0.067 | 0.024 | 2.780 | 0.006 | [0.019, 0.115] |
| Inconsistent mediation (IM) | 1.152 | 0.727 | 1.584 | 0.116 | [−0.286, 2.589] |
| Nonviolent | −0.049 | 0.061 | −0.796 | 0.428 | [−0.170, 0.072] |
| IM × Nonviolent | 0.020 | 0.021 | 0.954 | 0.342 | [−0.022, 0.062] |
| Restrictive Mediation | |||||
| Restrictive mediation (RM) | −2.202 | 0.872 | −2.523 | 0.013 | [−3.927, −0.478] |
| Physical assault | −0.191 | 0.129 | −1.481 | 0.141 | [−0.446, 0.064] |
| RM × Physical assault | 0.044 | 0.038 | 1.159 | 0.248 | [−0.031, 0.119] |
| Restrictive mediation (RM) | −1.795 | 0.959 | −1.871 | 0.064 | [−3.691, 0.102 |
| Psychological aggression | −0.013 | 0.120 | −0.112 | 0.911 | [−0.250, 0.223] |
| RM × Psychological aggression | 0.009 | 0.032 | 0.289 | 0.773 | [−0.055, 0.073] |
| Restrictive mediation (RM) | −1.670 | 1.178 | −1.418 | 0.135 | [−3.997, 0.659] |
| Nonviolent | 0.025 | 0.124 | 0.198 | 0.844 | [−0.222, 0.271] |
| RM × Nonviolent | −0.002 | 0.033 | −0.046 | 0.964 | [−0.066, 0.063] |
Publisher’s Note: MDPI stays neutral with regard to jurisdictional claims in published maps and institutional affiliations. |
© 2022 by the authors. Licensee MDPI, Basel, Switzerland. This article is an open access article distributed under the terms and conditions of the Creative Commons Attribution (CC BY) license (https://creativecommons.org/licenses/by/4.0/).
Share and Cite
Yang, H.; Ng, W.Q.; Yang, Y.; Yang, S. Inconsistent Media Mediation and Problematic Smartphone Use in Preschoolers: Maternal Conflict Resolution Styles as Moderators. Children 2022, 9, 816. https://doi.org/10.3390/children9060816
Yang H, Ng WQ, Yang Y, Yang S. Inconsistent Media Mediation and Problematic Smartphone Use in Preschoolers: Maternal Conflict Resolution Styles as Moderators. Children. 2022; 9(6):816. https://doi.org/10.3390/children9060816
Chicago/Turabian StyleYang, Hwajin, Wee Qin Ng, Yingjia Yang, and Sujin Yang. 2022. "Inconsistent Media Mediation and Problematic Smartphone Use in Preschoolers: Maternal Conflict Resolution Styles as Moderators" Children 9, no. 6: 816. https://doi.org/10.3390/children9060816
APA StyleYang, H., Ng, W. Q., Yang, Y., & Yang, S. (2022). Inconsistent Media Mediation and Problematic Smartphone Use in Preschoolers: Maternal Conflict Resolution Styles as Moderators. Children, 9(6), 816. https://doi.org/10.3390/children9060816

