Neonatal Mortality and Associated Factors in the Neonatal Intensive Care Unit of Gadarif Hospital, Eastern Sudan
Abstract
1. Introduction
2. Materials and Methods
2.1. Study Design and Setting
2.1.1. Sample Size Determination and Sampling Procedure
2.1.2. Operational Definitions
2.2. Ethics
2.3. Statistics
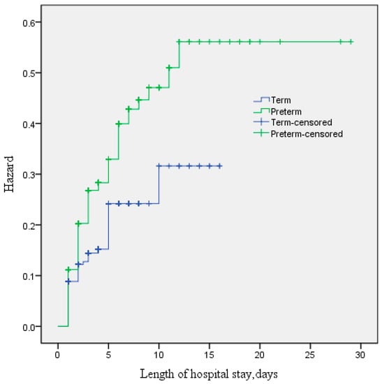
3. Results
Factors Associated with Neonatal Mortality
4. Discussion
Author Contributions
Funding
Institutional Review Board Statement
Informed Consent Statement
Data Availability Statement
Acknowledgments
Conflicts of Interest
Abbreviations
References
- WHO. Care of the Preterm and Low-Birth-Weight Newborn. World Health Organization. 2018 [Cited 2021 Apr 28]. Available online: http://www.who.int/maternal_child_adolescent/newborns/prematurity/en/ (accessed on 12 October 2022).
- Farah, A.E.; Abbas, A.H.; Ahmed, A.T. Trends of admission and predictors of neonatal mortality: A hospital based retrospective cohort study in Somali region of Ethiopia. PLoS ONE 2018, 13, e0203314. Available online: https://pubmed.ncbi.nlm.nih.gov/30216343/ (accessed on 12 October 2022).
- UNICEF. Levels and Trends in Child Mortality 2019 | UNICEF. Available online: https://www.unicef.org/reports/levels-and-trends-child-mortality-report-2019 (accessed on 12 October 2022).
- Boerma, T.; Requejo, J.; Victora, C.G.; Amouzou, A.; George, A.; Agyepong, I.; Barroso, C.; Barros, A.J.D.; Bhutta, A.Z.; Black, E.R.; et al. Countdown to 2030: Tracking progress towards universal coverage for reproductive, maternal, newborn, and child health. Lancet 2018, 391, 1538–1548. Available online: https://pubmed.ncbi.nlm.nih.gov/29395268 (accessed on 12 October 2022). [CrossRef]
- EVERY NEWBORN An Action Plan to End Preventable Deaths. 2014. Available online: www.who.int (accessed on 12 October 2022).
- Take Action for the Sustainable Development Goals–United Nations Sustainable Development. Available online: https://www.un.org/sustainabledevelopment/sustainable-development-goals/ (accessed on 12 October 2022).
- Desalew, A.; Sintayehu, Y.; Teferi, N.; Amare, F.; Geda, B.; Worku, T.; Abera, K.; Asefaw, A. Cause and predictors of neonatal mortality among neonates admitted to neonatal intensive care units of public hospitals in eastern Ethiopia: A facility-based prospective follow-up study. BMC Pediatr. 2020, 20, 160. Available online: https://pubmed.ncbi.nlm.nih.gov/32290819/ (accessed on 12 October 2022). [CrossRef] [PubMed]
- Tekleab, A.M.; Amaru, G.M.; Tefera, Y.A. Reasons for admission and neonatal outcome in the neonatal care unit of a tertiary care hospital in Addis Ababa: A prospective study. Res Rep. Neonatol. 2016, 6, 17. Available online: https://www.dovepress.com/reasons-for-admission-and-neonatal-outcome-in-the-neonatal-care-unit-o-peer-reviewed-article-RRN (accessed on 12 October 2022). [CrossRef]
- Gitobu, C.M.; Gichangi, P.B.; Mwanda, W.O. The effect of Kenya’s free maternal health care policy on the utilization of health facility delivery services and maternal and neonatal mortality in public health facilities. BMC Pregnancy Childbirth 2018, 18, 77. Available online: https://pubmed.ncbi.nlm.nih.gov/29580207/ (accessed on 12 October 2022). [CrossRef] [PubMed]
- Medvedev, M.M.; Brotherton, H.; Gai, A.; Tann, C.; Gale, C.; Waiswa, P.; Elbourne, D.; Lawn, E.J.; Allen, E. Development and validation of a simplified score to predict neonatal mortality risk among neonates weighing 2000 g or less (NMR-2000): An analysis using data from the UK and The Gambia. Lancet Child Adolesc. Health 2020, 4, 299–311. Available online: https://pubmed.ncbi.nlm.nih.gov/32119841/ (accessed on 12 October 2022). [CrossRef]
- Demisse, A.G.; Alemu, F.; Gizaw, M.A.; Tigabu, Z. Patterns of admission and factors associated with neonatal mortality among neonates admitted to the neonatal intensive care unit of University of Gondar Hospital, Northwest Ethiopia. Pediatr. Health Med. Ther. 2017, ume 8, 57–64. Available online: https://pubmed.ncbi.nlm.nih.gov/29388628/ (accessed on 12 October 2022).
- Worku, B.; Kassie, A.; Mekasha, A.; Tilahun, B.; Worku, A. Predictors of early neonatal mortality at a neonatal intensive care unit of a specialized referral teaching hospital in Ethiopia. Ethiop. J. Health Dev. 2012, 26, 200–207. Available online: https://www.ajol.info/index.php/ejhd/article/view/115706 (accessed on 12 October 2022).
- Ike, E.U.; Oluwatosin, O.A.; Ndikom, C.M.; Aluko, J.O. Neonatal Morbidity and Mortality Pattern in a Mission Hospital in Nigeria: A Facility-Based One Year Retrospective Study. Int. J. Nurs. Midwifery Res. 2021, 8, 3–10. [Google Scholar] [CrossRef]
- Ndombo, P.K.; Ekei, Q.M.; Tochie, J.N.; Temgoua, M.N.; Angong, F.T.E.; Ntock, F.N.; Mbuagbaw, L. A cohort analysis of neonatal hospital mortality rate and predictors of neonatal mortality in a sub-urban hospital of Cameroon. Ital. J. Pediatr. 2017, 43, 52. Available online: https://pubmed.ncbi.nlm.nih.gov/28583154/ (accessed on 12 October 2022). [CrossRef] [PubMed]
- Shah, S.; Zemichael, O.; Meng, H.D. Factors associated with mortality and length of stay in hospitalised neonates in Eritrea, Africa: A cross-sectional study. BMJ Open 2012, 2, e000792. Available online: https://pubmed.ncbi.nlm.nih.gov/22983873/ (accessed on 12 October 2022). [CrossRef] [PubMed]
- Nabwera, H.M.; Wang, D.; Tongo, O.O.; Andang’o, P.E.A.; Abdulkadir, I.; Ezeaka, C.V.; Ezenwa, B.N.; Fajolu, I.B.; Imam, Z.O.; Mwangome, M.K.; et al. Burden of disease and risk factors for mortality amongst hospitalized newborns in Nigeria and Kenya. PLoS ONE 2021, 16, e0244109. Available online: https://pubmed.ncbi.nlm.nih.gov/33444346/ (accessed on 12 October 2022). [CrossRef] [PubMed]
- Andegiorgish, A.K.; Andemariam, M.; Temesghen, S.; Ogbai, L.; Ogbe, Z.; Zeng, L. Neonatal mortality and associated factors in the specialized neonatal care unit Asmara, Eritrea. BMC Public Health 2020, 20, 1–9. Available online: https://pubmed.ncbi.nlm.nih.gov/31907008 (accessed on 12 October 2022). [CrossRef] [PubMed]
- Mengistu, B.A.; Yismaw, A.E.; Azene, Z.N.; Mihret, M.S. Incidence and predictors of neonatal mortality among neonates admitted in Amhara regional state referral hospitals, Ethiopia: Prospective follow up study. BMC Pediatr. 2020, 20, 1–14. Available online: https://pubmed.ncbi.nlm.nih.gov/32238144/ (accessed on 12 October 2022). [CrossRef] [PubMed]
- Alebel, A.; Wagnew, F.; Petrucka, P.; Tesema, C.; Moges, N.A.; Ketema, D.B.; Yismaw, L.; Melkamu, M.W.; Hibstie, Y.T.; Temesgen, B.; et al. Neonatal mortality in the neonatal intensive care unit of Debre Markos referral hospital, Northwest Ethiopia: A prospective cohort study. BMC Pediatr. 2020, 20, 1–11. [Google Scholar] [CrossRef] [PubMed]
- Bashir, O.A.; Ibrahim, G.H.; A Bashier, I.; Adam, I. Neonatal mortality in Sudan: Analysis of the Sudan household survey, 2010. BMC Public Health 2013, 13, 287. Available online: http://www.pubmedcentral.nih.gov/articlerender.fcgi?artid=3635916&tool=pmcentrez&rendertype=abstract (accessed on 12 October 2022). [CrossRef] [PubMed]
- Mengesha, H.G.; Wuneh, A.D.; Lerebo, W.T.; Tekle, T.H. Survival of neonates and predictors of their mortality in Tigray region, Northern Ethiopia: Prospective cohort study. BMC Pregnancy Childbirth 2016, 16, 1–13. Available online: https://pubmed.ncbi.nlm.nih.gov/27485138/ (accessed on 12 October 2022). [CrossRef] [PubMed]
- WHO. Every Newborn Progress Report May 2015. 2020 [cited 2021 Apr 23]. Available online: http://www.who.int/life-course/publications/enap-progress-report/en/ (accessed on 12 October 2022).


| Variables | Median | IQR | |
|---|---|---|---|
| Maternal age, years | 27.0 | 23.0–30.0 | |
| Number of children | 3 | 2–5 | |
| Gestational age, weeks | 37.0 | 34.0–38.0 | |
| Birth weight, kg | 2.5 | 1.5–3.0 | |
| Duration of admission, days | 3.0 | 2.0–4.0 | |
| Frequency | Proportion | ||
| Mode of delivery | Vaginal | 346 | 63.7 |
| Caesarean | 197 | 36.3 | |
| Preterm birth | Yes | 236 | 43.5 |
| No | 307 | 56.5 | |
| LBW | Yes | 252 | 46.4 |
| No | 291 | 53.6 | |
| Low APGAR score | Yes | 428 | 78.8 |
| No | 115 | 21.2 | |
| Gender | Female | 276 | 50.8 |
| Male | 267 | 49.2 | |
| Length of hospital stay <3 days | Yes | 206 | 37.9 |
| No | 337 | 62.1 | |
| Variables | Survived | Died | p | |
|---|---|---|---|---|
| Median (interquartile range) | ||||
| Maternal age, years | 27.0 (7.0) | 26.0 (8.0) | 0.300 | |
| Number of children | 3 (3) | 3 (4) | 0.421 | |
| Gestational age, weeks | 37.0 (3.0) | 35.3 (7) | <0.001 | |
| Birth weight, kg | 2.6 (1.3) | 1.8 (1.7) | <0.001 | |
| Duration of admission, days | 4.0 (4.0) | 2.0 (2.0) | <0.001 | |
| Frequency (proportion) | ||||
| Mode of delivery | Vaginal | 260 (61.3) | 86 (72.3) | 0.031 |
| Caesarean | 164 (38.7) | 23 (27.7) | ||
| Preterm birth | Yes | 165 (38.9) | 71 (59.7) | <0.001 |
| No | 259 (61.1) | 48 (40.3) | ||
| low birth weight | Yes | 175 (41.3) | 77 (64.7) | <0.001 |
| No | 249 (58.7) | 42 (35.3) | ||
| Low APGAR score | Yes | 324 (76.4) | 105 (88.2) | 0.005 |
| No | 100 (23.6) | 14 (11.8) | ||
| Gender | Female | 221 (52.1) | 55 (46.2) | 0.255 |
| Male | 203 (47.9) | 64 (53.8) | ||
| Length of hospital stay <3 days | Yes | 129(30.4) | 77(64.7 | <0.001 |
| No | 295(69.6) | 42(35.3) | ||
| Adjusted | ||
|---|---|---|
| Variables | OR (95.5 CI) | p |
| Caesarean delivery | 1.50 (0.92–2.46) | 0.101 |
| Preterm birth | 2.10 (1.17–3.74) | 0.012 |
| low birth weight | 2.47 (1.38–4.41) | 0.002 |
| Low APGAR score | 2.59(1.35–4.99) | 0.004 |
| Length of hospital stay <3 days | 5.49 (3.44–8.77) | <0.001 |
Publisher’s Note: MDPI stays neutral with regard to jurisdictional claims in published maps and institutional affiliations. |
© 2022 by the authors. Licensee MDPI, Basel, Switzerland. This article is an open access article distributed under the terms and conditions of the Creative Commons Attribution (CC BY) license (https://creativecommons.org/licenses/by/4.0/).
Share and Cite
Ahmed, M.A.A.; Mahgoub, H.M.; Al-Nafeesah, A.; Al-Wutayd, O.; Adam, I. Neonatal Mortality and Associated Factors in the Neonatal Intensive Care Unit of Gadarif Hospital, Eastern Sudan. Children 2022, 9, 1725. https://doi.org/10.3390/children9111725
Ahmed MAA, Mahgoub HM, Al-Nafeesah A, Al-Wutayd O, Adam I. Neonatal Mortality and Associated Factors in the Neonatal Intensive Care Unit of Gadarif Hospital, Eastern Sudan. Children. 2022; 9(11):1725. https://doi.org/10.3390/children9111725
Chicago/Turabian StyleAhmed, Mohammed Ahmed A., Hyder M. Mahgoub, Abdullah Al-Nafeesah, Osama Al-Wutayd, and Ishag Adam. 2022. "Neonatal Mortality and Associated Factors in the Neonatal Intensive Care Unit of Gadarif Hospital, Eastern Sudan" Children 9, no. 11: 1725. https://doi.org/10.3390/children9111725
APA StyleAhmed, M. A. A., Mahgoub, H. M., Al-Nafeesah, A., Al-Wutayd, O., & Adam, I. (2022). Neonatal Mortality and Associated Factors in the Neonatal Intensive Care Unit of Gadarif Hospital, Eastern Sudan. Children, 9(11), 1725. https://doi.org/10.3390/children9111725

