Comparing the Efficacy of Two School-Based Approaches of Neurocognitive Training for Enhancing Executive Functions
Abstract
1. Introduction
2. Materials and Methods
2.1. Participants
2.2. Materials
2.2.1. ADHD Symptoms Scale
2.2.2. Inhibitory Control Task
2.2.3. Switching Task
2.2.4. Working Memory Task
2.2.5. Subjective Acceptance of the Training Agents
2.3. Procedure
2.3.1. Pre- and Post-Training Assessment
2.3.2. Training Protocols
Software
Hardware
Training Protocol for the NCT Group
Training Protocol for the NCT-TPF Group
Training Agents
2.4. Statistical Analyses
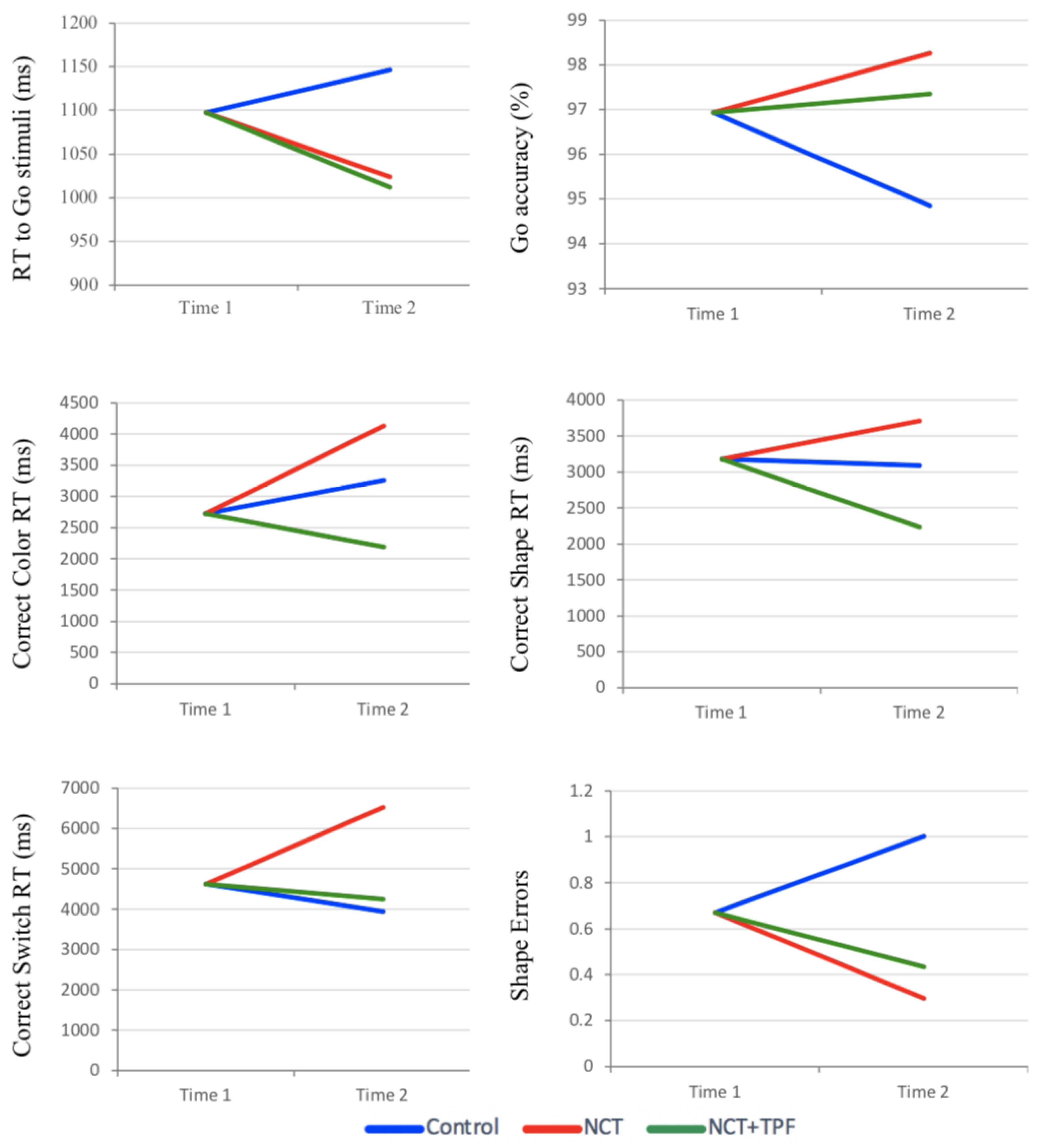
3. Results
3.1. Inhibitory Control Task
3.2. Working Memory Task
3.3. Switching Task
3.4. Training Agents’ Subjective Acceptance
4. Discussion
5. Conclusions
Author Contributions
Funding
Institutional Review Board Statement
Informed Consent Statement
Data Availability Statement
Conflicts of Interest
References
- APA. Diagnostic and Statistical Manual of Mental Disorders: DSM-5; American Psychiatric Association: Arlington, VA, USA, 2013. [Google Scholar]
- Young, S.; Amarasinghe, M.J. Practitioner Review: Non-pharmacological treatments for ADHD: A lifespan approach. J. Child Psychol. Psychiatry 2010, 51, 116–133. [Google Scholar] [CrossRef] [PubMed]
- Reichow, B.; Volkmar, F.; Bloch, M. Systematic review and meta-analysis of pharmacological treatment of the symptoms of attention-deficit/hyperactivity disorder in children with pervasive developmental disorders. J. Autism Dev. Disord. 2013, 43, 2435–2441. [Google Scholar] [CrossRef] [PubMed]
- Hodgson, K.; Hutchinson, A.D.; Denson, L. Nonpharmacological treatments for ADHD: A meta-analytic review. J. Atten. Disord. 2014, 18, 275–282. [Google Scholar] [CrossRef]
- Johnstone, S.J.; Roodenrys, S.; Blackman, R.; Johnston, E.; Loveday, K.; Mantz, S.; Barratt, M.F. Neurocognitive training for children with and without AD/HD. Atten. Deficit Hyperact. Disord. 2012, 4, 11–23. [Google Scholar] [CrossRef]
- Barry, R.J.; Clarke, A.R.; Johnstone, S.J. A review of electrophysiology in attention-deficit/hyperactivity disorder: I. Qualitative and quantitative electroencephalography. Clin. Neurophysiol. 2003, 114, 171–183. [Google Scholar] [CrossRef]
- Van Doren, J.; Arns, M.; Heinrich, H.; Vollebregt, M.A.; Strehl, U.; K Loo, S. Sustained effects of neurofeedback in ADHD: A systematic review and meta-analysis. Eur. Child Adolesc. Psychiatry 2019, 28, 293–305. [Google Scholar] [CrossRef]
- Lambez, B.; Harwood-Gross, A.; Golumbic, E.Z.; Rassovsky, Y. Non-pharmacological interventions for cognitive difficulties in ADHD: A systematic review and meta-analysis. J. Psychiatr. Res. 2020, 120, 40–55. [Google Scholar] [CrossRef]
- La Marca, J.P. Historical overview of attention deficit-hyperactivity disorder and neurofeedback: Implications for academic achievement, assessment, and intervention in schools. Contemp. Sch. Psychol. 2018, 22, 1–17. [Google Scholar]
- Wass, S.V.; Scerif, G.; Johnson, M.H. Training attentional control and working memory—Is younger, better? Dev. Rev. 2012, 32, 360–387. [Google Scholar] [CrossRef]
- Zhang, Q.; Wang, C.; Zhao, Q.; Yang, L.; Buschkuehl, M.; Jaeggi, S.M. The malleability of executive function in early childhood: Effects of schooling and targeted training. Dev. Sci. 2019, 22, e12748. [Google Scholar] [CrossRef]
- Johnstone, S.J. Computer gaming and ADHD: Potential positive influences on behavior. IEEE Technol. Soc. Mag. 2013, 32, 20–22. [Google Scholar] [CrossRef]
- DuPaul, G.J.; Joshua, M.L. Educational impairements in children with ADHD. In Attention-Deficit Hyperactivity Disorder: A Handbook for Diagnosis and Treatment; Barkley, R.A., Ed.; The Guilford Press: New York, NY, USA, 2015; pp. 311–349. [Google Scholar]
- Sergeant, J.A. The dynamic developmental theory of ADHD: Reflections from a cognitive energetic model standpoint. Behav. Brain Sci. 2005, 28, 442–443. [Google Scholar] [CrossRef]
- Sergeant, J.A. Modeling attention-deficit/hyperactivity disorder: A critical appraisal of the cognitive-energetic model. Biol. Psychiatry 2005, 57, 1248–1255. [Google Scholar] [CrossRef] [PubMed]
- Johnstone, S.J.; Roodenrys, S.J.; Johnson, K.; Bonfield, R.; Bennett, S.J. Game-based combined cognitive and neurofeedback training using Focus Pocus reduces symptom severity in children with diagnosed AD/HD and subclinical AD/HD. Int. J. Psychophysiol. 2017, 116, 32–44. [Google Scholar] [CrossRef]
- Jiang, H.; Johnstone, S.J. A preliminary multiple case report of neurocognitive training for children with AD/HD in China. SAGE Open 2015, 5, 1–13. [Google Scholar] [CrossRef]
- Jiang, H.; Johnstone, S.J.; Sun, L.; Zhang, D.-W. Effect of neurocognitive training for children with ADHD at improving academic engagement in two learning settings. J. Atten. Disord. 2021, 25, 414–431. [Google Scholar] [CrossRef]
- Chacko, A.; Kofler, M.; Jarrett, M. Improving outcomes for youth with ADHD: A conceptual framework for combined neurocognitive and skill-based treatment approaches. Clin. Child Fam. Psychol. Rev. 2014, 17, 368–384. [Google Scholar] [CrossRef]
- Gunzenhauser, C.; Nückles, M. Training executive functions to improve academic achievement: Tackling avenues to far transfer. Front. Psychol. 2021, 12, 624008. [Google Scholar] [CrossRef] [PubMed]
- Singer, G.H.S. Ecological validity. J. Posit. Behav. Interv. 2000, 2, 122–124. [Google Scholar] [CrossRef]
- Meyer, L.H.; Evans, I.M. Science and practice in behavioral intervention: Meaningful outcomes, research validity, and usable knowledge. J. Assoc. Pers. Sev. Handicap. (JASH) 1993, 18, 224–234. [Google Scholar] [CrossRef]
- Cai, D.; Zhao, J.; Chen, Z.; Liu, D. Executive functions training for 7-to 10-year-old students with mathematics difficulty: Instant effects and 6-month sustained effects. J. Learn. Disabil. 2022, 00222194221117513. [Google Scholar] [CrossRef] [PubMed]
- Hattie, J. Visible Learning: A Synthesis of Over 800 Meta-Analyses Relating to Achievement; Routledge: London, UK, 2009. [Google Scholar]
- Fabiano, G.A.; Pyle, K. Best practices in school mental health for attention-deficit/hyperactivity disorder: A framework for intervention. Sch. Ment. Health 2019, 11, 72–91. [Google Scholar] [CrossRef]
- Rueda, M.R.; Checa, P.; Cómbita, L.M. Enhanced efficiency of the executive attention network after training in preschool children: Immediate changes and effects after two months. Dev. Cogn. Neurosci. 2012, 2, S192–S204. [Google Scholar] [CrossRef]
- Escolano, C.; Navarro-Gil, M.; Garcia-Campayo, J.; Minguez, J. The effects of a single session of upper alpha neurofeedback for cognitive enhancement: A sham-controlled study. Appl. Psychophysiol. Biofeedback 2014, 39, 227–236. [Google Scholar] [CrossRef]
- Swanson, J.M.; Kraemer, H.C.; Hinshaw, S.P.; Arnold, L.E.; Conners, C.K.; Abikoff, H.B.; Clevenger, W.; Davies, M.; Elliott, G.R.; Greenhill, L.L.; et al. Clinical relevance of the primary findings of the MTA: Success rates based on severity of ADHD and ODD symptoms at the end of treatment. J. Am. Acad. Child Adolesc. Psychiatry 2001, 40, 168–179. [Google Scholar] [CrossRef]
- Conners, C.K. A teacher rating scale for use in drug studies with children. Am. J. Psychiatry 1969, 126, 884–888. [Google Scholar] [CrossRef]
- Loney, J.; Milich, R. Hyperactivity, inattention, and aggression in clinical practice. In Advances in Developmental and Behavioral Pediatrics; Wolraich, M., Routh, D.K., Eds.; JAI: Greenwich, CT, USA, 1982; pp. 113–147. [Google Scholar]
- Waschbusch, D.A.; Willoughby, M.T. Parent and teacher ratings on the IOWA conners rating scale. J. Psychopathol. Behav. Assess. 2008, 30, 180–192. [Google Scholar] [CrossRef]
- Benikos, N.; Johnstone, S.J.; Roodenrys, S.J. Short-term training in the Go/Nogo task: Behavioural and neural changes depend on task demands. Int. J. Psychophysiol. 2013, 87, 301–312. [Google Scholar] [CrossRef]
- Benikos, N.; Johnstone, S.J.; Roodenrys, S.J. Varying task difficulty in the Go/Nogo task: The effects of inhibitory control, arousal, and perceived effort on ERP components. Int. J. Psychophysiol. 2013, 87, 262–272. [Google Scholar] [CrossRef]
- Johnstone, S.J.; Parrish, L.; Jiang, H.; Zhang, D.W.; Li, S. Aiding diagnosis of childhood attention-deficit/hyperactivity disorder of the inattentive presentation: Discriminant function analysis of multi-domain measures including EEG. Biol. Psychol. 2021, 161, 108080. [Google Scholar] [CrossRef]
- Howard, S.J.; Melhuish, E. An Early Years Toolbox for Assessing Early Executive Function, Language, Self-Regulation, and Social Development: Validity, Reliability, and Preliminary Norms. J. Psychoeduc. Assess. 2017, 35, 255–275. [Google Scholar] [CrossRef] [PubMed]
- Morris, R.G.; Downes, J.J.; Robbinsi, T.W.; Sahakian, B.J.; Heald, A.; Evenden, J.L. Planning and spatial working memory in Parkinson’s disease. J. Neurol. Neurosurg. Psychiatry 1988, 51, 757–766. [Google Scholar] [CrossRef] [PubMed]
- Meltzer, L.J.; Avis, K.T.; Biggs, S.; Reynolds, A.C.; Crabtree, V.M.; Bevans, K.B. The children’s report of sleep patterns (CRSP): A self-report measure of sleep for school-aged children. J. Clin. Sleep Med. 2013, 9, 235–245. [Google Scholar] [CrossRef] [PubMed]
- Meltzer, L.J.; Biggs, S.; Reynolds, A.; Avis, K.T.; Crabtree, V.M.; Bevans, K.B. The children’s report of sleep patterns—Sleepiness Scale: A self-report measure for school-aged children. Sleep Med. 2012, 13, 385–389. [Google Scholar] [CrossRef]
- Deci, E.L.; Ryan, R.M. The ‘What’ and ‘Why’ of goal pursuits: Human needs and the self-determination of behavior. Psychol. Inq. 2000, 11, 227. [Google Scholar] [CrossRef]
- Gagné, M. The role of autonomy support and autonomy orientation in prosocial behavior engagement. Motiv. Emot. 2003, 27, 199–223. [Google Scholar] [CrossRef]
- Rabin, R.; de Charro, F. EQ-5D: A measure of health status from the EuroQol Group. Ann. Med. 2001, 33, 337–343. [Google Scholar] [CrossRef]
- Ravens-Sieberer, U.; Wille, N.; Badia, X.; Bonsel, G.; Burström, K.; Cavrini, G.; Devlin, N.; Egmar, A.C.; Gusi, N.; Olivares, P.R.; et al. Feasibility, reliability, and validity of the EQ-5D-Y: Results from a multinational study. Qual. Life Res. 2010, 19, 887–897. [Google Scholar] [CrossRef]
- Creswell, J.W. Educational Research: Planning, Conducting, and Evaluating Quantitative and Qualitative Research, 4th ed.; Pearson/Merrill Prentice Hall: Upper Saddle River, NJ, USA, 2012. [Google Scholar]
- Johnstone, S.J.; Blackman, R.; Bruggemann, J.M. EEG from a single-channel dry-sensor recording device. Clin. EEG Neurosci. 2012, 43, 112–120. [Google Scholar] [CrossRef]
- Rogers, J.M.; Aminov, A.; Wilson, P.H.; Johnstone, S.J. Retest reliability of a single-channel, wireless EEG device. Int. J. Psychophysiol. 2016, 106, 87–96. [Google Scholar] [CrossRef]
- Wisniewski, B.; Zierer, K.; Hattie, J. The power of feedback revisited: A meta-analysis of educational feedback research. Front. Psychol. 2020, 10, 3087. [Google Scholar] [CrossRef] [PubMed]
- Bussing, R.; Fernandez, M.; Harwood, M.; Hou, W.; Garvan, C.W.; Eyberg, S.M.; Swanson, J.M. Parent and teacher SNAP-IV ratings of attention deficit hyperactivity disorder symptoms: Psychometric properties and normative ratings from a school district sample. Circulation 2011, 124, 317–328. [Google Scholar] [CrossRef] [PubMed]
- Klingberg, T. Training and plasticity of working memory. Trends Cogn. Sci. 2010, 14, 317–324. [Google Scholar] [CrossRef] [PubMed]
- Sprenger, A.M.; Atkins, S.M.; Bolger, D.J.; Harbison, J.I.; Novick, J.M.; Chrabaszcz, J.S.; Weems, S.A.; Smith, V.; Bobb, S.; Bunting, M.F.; et al. Training working memory: Limits of transfer. Intelligence 2013, 41, 638–663. [Google Scholar] [CrossRef]
- Johnstone, S.J.; Mabin, E.; Nolan, R.; Jiang, H.; Zhang, D.-W.; Sun, L.; Donvan, M. Do personal best goals improve the outcomes of neurocogntive training for children with AD/HD. In Proceedings of the 4th Asian Congress on ADHD, Shanghai, China, 24–27 May 2018; pp. 102–103. [Google Scholar]
- La Marca, J.P.; O’Connor, R.E. Neurofeedback as an intervention to improve reading achievement in students with attention- deficit/hyperactivity disorder, inattentive subtype. Grantee Submiss. 2016, 3, 55–77. [Google Scholar] [CrossRef]
- Gage, N.A.; Grasley-Boy, N.; Peshak George, H.; Childs, K.; Kincaid, D. A quasi-experimental design analysis of the effects of school-wide positive behavior interventions and supports on discipline in Florida. J. Posit. Behav. Interv. 2019, 21, 50–61. [Google Scholar] [CrossRef]
- Jiang, H.; Woodcock, S. Attributional patterns towards students with and without learning disabilities: A comparison of pre- and in-service teachers in China. Educ. Psychol. 2018, 38, 286–304. [Google Scholar] [CrossRef]
- Jiang, H. Developing an online model of educational rehabilitation for children with ADHD. Adv. Psychol. Sci. 2022, 30, 1747–1758. [Google Scholar] [CrossRef]

| Group | |||
|---|---|---|---|
| Control | NCT | NCT-TPF | |
| Age | 5.95 (0.31) | 5.86 (0.34) | 6.23 (0.32) |
| Male/Female | 10/5 | 8/7 | 8/7 |
| DSM-V Inattentive | 0.68 (0.26) | 0.66 (0.58) | 0.97 (0.46) |
| DSM-V Hyperactivity/Impulsivity | 0.65 (0.47) | 0.70 (0.56) | 0.87 (0.39) |
| DSM-V Oppositional Defiant | 0.71 (0.36) | 0.58 (0.40) | 0.79 (0.42) |
| IOWA Aggression/Defiance | 0.67 (0.38) | 0.66 (0.52) | 0.72 (0.35) |
| Type | Description | Example |
|---|---|---|
| 1. Performance | Providing specific information about how well the student did on the current task. | You did well in this game because you looked at the picture and checked the color before pressing the mouse. |
| 2. Advice | Providing specific advice on how to improve the student’s performance on a particular task. | Next time, sit back, relax, and think about wanting to fly faster than your competitors (in the “Broomstick Racing” game). |
| 3. Encouragement | Encouraging the student to exert more effort or try a harder level. | You did excellent work in the “Find the Spells” game. I am confident that you will achieve a good score in the next level. |
| 4. Inquiry | Answer student’s questions about the training. | Student: I beat all the goblins but why did I not go up to a higher level? Teacher: Yes, you have done your work correctly. To go to a higher level, you need to be fast and accurate. |
| Theme | Number of Supporting Agents (?/10) | Examples from Raw Material |
|---|---|---|
| Promoting training effects | 10/10 | When incorporating TPF in (NCT) training, the child can do the training better and better. The effect will be better. I will add positive feedback. By doing this the child can know where he is doing well, so he can do better and better, and the effect will be better. |
| Increasing the child’s self-efficacy | 9/10 | Sometimes children will be afraid of difficulties. Positive feedback can increase children’s confidence. |
| Increasing the child’s motivation | 8/10 | I think it’s also some encouragement for children. Otherwise, for the first time and the second time, the children will be interested in doing it. However, when the children take more sessions, they may not want to do it without receiving feedback. |
| Enhancing mastery | 7/10 | It can provide guidance on methods for children and help them practice improving their ability of attention, memory, and self-control. |
| Supporting positive teacher-student relationships | 3/10 | Combined with positive feedback will have a good interaction with children, otherwise it seems very “indifferent” and awkward (during the training). I think the process will be more natural and the atmosphere will be better if teachers’ positive feedback is incorporated. |
| Getting to know the updated situation of the child in the training | 2/10 | I can instantly understand the specific situation of students. |
Publisher’s Note: MDPI stays neutral with regard to jurisdictional claims in published maps and institutional affiliations. |
© 2022 by the authors. Licensee MDPI, Basel, Switzerland. This article is an open access article distributed under the terms and conditions of the Creative Commons Attribution (CC BY) license (https://creativecommons.org/licenses/by/4.0/).
Share and Cite
Jiang, H.; Johnstone, S.J.; Lu, J. Comparing the Efficacy of Two School-Based Approaches of Neurocognitive Training for Enhancing Executive Functions. Children 2022, 9, 1501. https://doi.org/10.3390/children9101501
Jiang H, Johnstone SJ, Lu J. Comparing the Efficacy of Two School-Based Approaches of Neurocognitive Training for Enhancing Executive Functions. Children. 2022; 9(10):1501. https://doi.org/10.3390/children9101501
Chicago/Turabian StyleJiang, Han, Stuart J. Johnstone, and Jinjin Lu. 2022. "Comparing the Efficacy of Two School-Based Approaches of Neurocognitive Training for Enhancing Executive Functions" Children 9, no. 10: 1501. https://doi.org/10.3390/children9101501
APA StyleJiang, H., Johnstone, S. J., & Lu, J. (2022). Comparing the Efficacy of Two School-Based Approaches of Neurocognitive Training for Enhancing Executive Functions. Children, 9(10), 1501. https://doi.org/10.3390/children9101501

