Factors of Having Difficulties Raising 3-Year-Old Children in Japan: Usefulness of Maternal and Child Health Information Accumulated by the Local Government
Abstract
1. Introduction
2. Materials and Methods
2.1. Participants
2.2. Study Design
2.3. Measurements
2.4. Main Outcome
2.5. Analysis Method
2.6. Ethical Considerations
3. Results
4. Discussion
5. Conclusions
Supplementary Materials
Author Contributions
Funding
Institutional Review Board Statement
Data Availability Statement
Acknowledgments
Conflicts of Interest
References
- Demographic Statistics 2019: Ministry of Health Labour and Welfare. Available online: https://www.mhlw.go.jp/toukei/saikin/hw/jinkou/geppo/nengai19/dl/gaikyouR1.pdf (accessed on 11 January 2021). (In Japanese)
- National Institute of Population and Social Security Research. Marriage and Childbirth in Japan Today: The Fifteenth Japanese National Fertility Survey. 2017, 67–76. Available online: http://www.ipss.go.jp/ps-doukou/j/doukou15/NFS15_reportALL.pdf (accessed on 11 January 2021). (In Japanese)
- Healthy Parents and Children 21: Ministry of Health Labour and Welfare. Available online: http://sukoyaka21.jp/healthy-parents-and-children-21 (accessed on 11 January 2021).
- Iwatani, K.; Kiyosuke, Y. A Concept Analysis of the “Difficulty of Raising Children” Through Infancy for First-Time Mothers with an Able-Bodied Child: Concept-Analysis Approach (Rodgers); Baika Women’s University Faculty of Nursing Bulletin: Osaka, Japan, 2013; pp. 1–12. (In Japanese) [Google Scholar]
- Number of Child Abuse Consultations and Their Transitions at Child Guidance Centers. Ministry of Health Labour and Welfare. 2020. Available online: https://www.mhlw.go.jp/content/000696156.pdf (accessed on 11 January 2021). (In Japanese)
- Overview of the 2018 Community Health/Health Promotion Business Report: Ministry of Health Labour and Welfare. Available online: https://www.mhlw.go.jp/toukei/saikin/hw/c-hoken/18/dl/H30gaikyo.pdf (accessed on 11 January 2021). (In Japanese)
- Yamagata, Z. Research on the Utilization of Maternal and Child Health Information to Improve Maternal and Child Health 2017; Summary Research Report 2–11. Available online: http://sukoyaka21.jp/pdf/H28_yamagata_report.pdf (accessed on 24 November 2020). (In Japanese).
- Nawa, N.; Black, M.M.; Araya, R.; Richiardi, L.; Surkan, P.J. Pre-and post-natal maternal anxiety and early childhood weight gain. J. Affect. Disord. 2019, 257, 136–142. [Google Scholar] [CrossRef]
- Hetherington, E.; McDonald, S.; Racine, N.; Tough, S. Longitudinal predictors of self-regulation at school entry: Findings from the all our families cohort. Children 2020, 7, 186. [Google Scholar] [CrossRef]
- Infant Health Survey. The Japanese Society of Child Health. 2011. Available online: https://www.jschild.or.jp/wp-content/uploads/2020/10/2010_kenkochousa_%E4%BF%AE%E6%AD%A3%E6%B8%88%E8%B5%A4_5_compressed.pdf (accessed on 24 March 2021). (In Japanese).
- Yamagata, Z.; Maeda, T.; Anme, T.; Sadato, N. Japan children’s study group overview of the Japan children’s study 2004–2009; Cohort study of early childhood development. J. Epidemiol. 2010, 20, S397–S403. [Google Scholar] [CrossRef][Green Version]
- Isumi, A.; Takahashi, K.; Fujiwara, T. Prenatal sociodemographic factors predicting maltreatment of children up to 3 years old: A prospective cohort study using administrative data in Japan. Int. J. Environ. Res. Public Health 2021, 18, 2505. [Google Scholar] [CrossRef]
- Cox, J.L.; Holden, J.M.; Sagovsky, R. Detection of postnatal depression-development of the 10-item edin-burgh postnatal depression scale. Br. J. Psychiatry 1987, 150, 782–786. [Google Scholar] [CrossRef]
- Okano, T. Validation and reliability of a Japanese version of the EPDS. Arch. Psychiatr. Diagn. Clin. Eval-Uation 1996, 7, 525–533. (In Japanese) [Google Scholar]
- Yamashita, H.; Yoshida, K.; Nakano, H.; Tashiro, N. Postnatal depression in Japanese women detecting the early onset of postnatal depression by closely monitoring the postpartum mood. J. Affect. Disord. 2000, 58, 145–154. [Google Scholar] [CrossRef]
- Yoshida, K.; Yamashita, H.; Conroy, S.; Marks, M.; Kumar, C. A Japanese version of mother-to-infant bonding scale: Factor structure, longitudinal changes and links with maternal mood during the early postnatal period in Japanese mothers. Arch. Women’s Ment. Health 2012, 15, 343–352. [Google Scholar] [CrossRef]
- Ueda, M.; Yamashita, H.; Yoshida, K. Impact of infant health problems on postnatal depression: Pilot study to evaluate a health visiting system. Psychiatry Clin. Neurosci. 2006, 60, 182–189. [Google Scholar] [CrossRef]
- Waqas, A.; Elhady, M.; Dila, K.S.; Kaboub, F.; van Trinh, L.; Nhien, C.; Al-Husseini, M.; Kamel, M.; Elshafay, A.; Nhi, H.; et al. Association between maternal depression and risk of infant diarrhea: A systematic review and meta-analysis. Public Health 2018, 159, 78–88. [Google Scholar] [CrossRef]
- Mercer, R.T. Becoming a mother versus maternal role attainment. J. Nurs. Sch. 2004, 36, 226–232. [Google Scholar] [CrossRef]
- Maehara, K.; Mori, E.; Tsuchiya, M.; Iwata, H.; Sakajo, A.; Ozawa, H.; Morita, A.; Maekawa, T.; Makaya, M.; Tamakoshi, K. Factors affecting maternal confidence among older and younger Japanese primiparae at one month post-partum. Jpn. J. Nurs. Sci. 2016, 13, 424–436. [Google Scholar] [CrossRef]
- Hotta, N.; Yamaguchi, T. A Study on the mental state of mothers with 6-month-old child (part 1): The relationship amoung their anxiety, depression, and stress about nursing. J. Child Health 2005, 64, 3–10. (In Japanese) [Google Scholar]
- Murakami, K.; Iino, H.; Tsukahara, M.; Tsujino, K. Analysis on the factor of child care stress. J. Child Health 2005, 64, 425–431. (In Japanese) [Google Scholar]
- Nakashima, Y.; Hadano, H.; Suenaga, Y. Exploring the relationship between mothers’ feelings of happiness, and their work styles. J. Health Sci. 2016, 13, 61–67. (In Japanese) [Google Scholar]
- Takei, Y.; Terasaki, M.; Kadota, M. The influence of toddler temperament on the childcare anxiety. Kawasaki Med Welf. J. 2007, 16, 221–227. (In Japanese) [Google Scholar]
- Taneda, A.; Kirino, M.; Yajima, Y.; Nakajima, K. Relationships between Behavior disturbances of preschool and school children with developmental delays and their mother’s stress appraisals. J. Tokyo Acad. Health Sci. 2004, 7, 79–87. (In Japanese) [Google Scholar]
- Honjo, S.; Mizuno, R.; Ajiki, M.; Suzuki, A.; Nagata, M.; Goto, Y.; Nishide, T. Infant temperament and child-rearing stress: Birth order influences. Early Hum. Dev. 1998, 51, 123–135. [Google Scholar] [CrossRef]
- Bonifacci, P.; Massi, L.; Pignataro, V.; Zocco, S.; Chiodo, S. Parenting stress and broader phenotype in parents of children with attention deficit hyperactivity disorder, dyslexia or typical development. Int. J. Environ. Res. Public Health 2019, 16, 1878. [Google Scholar] [CrossRef]
- Bujnowska, A.M.; Rodríguez, C.; García, T.; Areces, D.; Marsh, N.V. Parenting and future anxiety: The impact of having a child with developmental disabilities. Int. J. Environ. Res. Public Health 2019, 16, 668. [Google Scholar] [CrossRef]
- Fujiwara, T.; Okuyama, M.; Takahashi, K. Paternal involvement in childcare and unintentional injury of young children: A population-based cohort study in Japan. Int. J. Epidemiol. 2009, 39, 588–597. [Google Scholar] [CrossRef]
- Uematsu, S. Health guidance and child-rearing support: Many consultations and important advice for infant health check-ups Accident prevention. Jpn. J. Pediatric Med. 2018, 50, 986–990. (In Japanese) [Google Scholar]
- Honda, C.; Naruse, T.; Tsuchiya-Ito, R.; Yamamoto, N.; Nagata, S. Home safety practices to prevent child injury and its association with family and children’s daily routines in Japan: A cross-sectional study. Jpn. J. Nurs. Sci. 2020, 17, 9. [Google Scholar] [CrossRef]
- Shimomura, G.; Nagamitsu, S.; Suda, M.; Ishii, R.; Yuge, K.; Matsuoka, M.; Shimomura, K.; Matsuishi, T.; Kurokawa, M.; Yamagata, Z.; et al. Association between problematic behaviors and individual/environmental factors in difficult children. Brain Dev. 2020, 42, 431–437. [Google Scholar] [CrossRef]
- Baba, S.; Eshak, E.S.; Shirai, K.; Fujiwara, T.; Yamaoka, Y.; Iso, H. Factors associated with family member’s spanking of 3.5-year-old children in Japan. J. Epidemiol. 2020, 30, 464–473. [Google Scholar] [CrossRef]
- Sakata, S.; Naruse, T.; Taguchi, A.; Murashima, S. Mothers’ difficulty in childrearing classified in terms of their children’s behavioral characteristics. Nihon Koshu Eisei Zasshi 2014, 61, 3–15. [Google Scholar]
- Mishina, H.; Ito, M. Is there difference between positive screen rates based on the time of screening for postpartum de-pressive symptoms? J. Child Health 2012, 71, 46–51. (In Japanese) [Google Scholar]
- Nagamitsu, S.; Sakai, S.; Yamashita, M.; Shimomura, G.; Suda, T.; Shimomura, K. Research on Maternal and Child Develop-Mental Tasks Using Infant Health Checkup Data. Research on the Utilization of Maternal and Child Health Information to Improve Maternal and Child health: 2017 Summary/Shared Research Report. 2018, 205–219. Available online: http://sukoyaka21.jp/pdf/03_H29yam-agata_report.pdf (accessed on 11 January 2021). (In Japanese).
- Kubota, C.; Okada, T.; Aleksic, B.; Nakamura, Y.; Kunimoto, S.; Morikawa, M.; Shiino, T.; Tamaji, A.; Ohoka, H.; Banno, N.; et al. Factor structure of the Japanese version of the edinburgh postnatal depression scale in the postpartum period. PLoS ONE 2014, 9, e103941. [Google Scholar] [CrossRef]
- Matsumura, K.; Hamazaki, K.; Tsuchida, A.; Kasamatsu, H.; Inadera, H.; Kamijima, M.; Yamazaki, S.; Ohya, Y.; Kishi, R.; Yaegashi, N.; et al. Factor structure of the edinburgh postnatal depression scale in the japan environment and children’s study. Sci. Rep. 2020, 10, 1–10. [Google Scholar] [CrossRef]
- Earls, M.F.; Yogman, M.W.; Mattson, G.; Rafferty, J. Committee on psychosocial aspects of child and family health incorporating recognition and management of perinatal depression into pediatric practice. Pediatrics 2018, 143, e20183259. [Google Scholar] [CrossRef]
- Tsuchida, A.; Hamazaki, K.; Matsumura, K.; Miura, K.; Kasamatsu, H.; Inadera, H.; Kawamoto, T.; Ohya, Y.; Kishi, R.; Yaegashi, N.; et al. Changes in the association between postpartum depression and mother-infant bonding by parity: Longitudinal results from the Japan environment and children’s study. J. Psychiatr. Res. 2019, 110, 110–116. [Google Scholar] [CrossRef]
- O’Higgins, M.; Roberts, I.S.J.; Glover, V.; Taylor, A. Mother-child bonding at 1 year; associations with symptoms of postnatal depression and bonding in the first few weeks. Arch. Women’s Ment. Health 2013, 16, 381–389. [Google Scholar] [CrossRef]
- Kasamatsu, H.; Tsuchida, A.; Matsumura, K.; Shimao, M.; Hamazaki, K.; Inadera, H. The Japan environment and children’s study group understanding the relationship between postpartum depression one month and six months after delivery and mother-infant bonding failure one-year after birth: Results from the Japan environment and children’s study (JECS). Psychol. Med. 2020, 50, 161–169. [Google Scholar] [CrossRef]
- Kokubu, M.; Okano, T.; Sugiyama, T. Postnatal depression, maternal bonding failure, and negative attitudes towards pregnancy: A longitudinal study of pregnant women in Japan. Arch. Women’s Ment. Health 2012, 15, 211–216. [Google Scholar] [CrossRef]
- Lee, K.W.; Yamashita, A.; Tsumura, M. The recognition and the actual conditions of discipline and abuse: Based on a questionnaire survey toward parents of preschoolers. J. Home Econ. Jpn. 2012, 63, 379–390. (In Japanese) [Google Scholar]
- Survey Research Healthy of “Parents and Children 21 (Second Phase)”: University of Yamanashi. Available online: https://www.mhlw.go.jp/content/11900000/000592895.pdf (accessed on 8 November 2021). (In Japanese)
- Ekblad, M.O.; Marceau, K.; Rolan, E.; Palmer, R.H.C.; Todorov, A.; Heath, A.C.; Knopik, V.S. The effect of smoking during pregnancy on severity and directionality of externalizing and internalizing symptoms: A genetically informed approach. Int. J. Environ. Res. Public Health 2020, 17, 7921. [Google Scholar] [CrossRef]

| Total N = 507 (Maximum) | Having Difficulties Raising Children at 3-Year-Old Health Checkup N =207 | Not Having Difficulties Raising Children at 3-Year-Old Health Checkup N = 300 | |||||
|---|---|---|---|---|---|---|---|
| Variable | N (%) | Mean (SD) | N (%) | Mean (SD) | N (%) | Mean (SD) | p-Value |
| Maternal age #1 | 506 (99.8) | 31.1 (5.1) | 207 (100) | 31.6 (5.2) | 299 (99.7) | 30.8 (4.9) | 0.27 † |
| Infant’s sex | |||||||
| Male | 287 (56.6) | 119 (57.5) | 168 (56) | 0.81 ‡ | |||
| Female | 220 (43.4) | 88 (42.5) | 132 (44) | ||||
| Birth order | 1.6 (0.8) | 1.5 (0.7) | 1.7 (0.8) | 0.14 § | |||
| 1 | 264 (52.1) | 119 (57.5) | 145 (48.3) | ||||
| 2 | 185 (36.5) | 68 (32.9) | 117 (39) | ||||
| 3 | 46 (9.1) | 18 (8.7) | 28 (9.3) | ||||
| 4 | 9 (1.8) | 1 (0.5) | 8 (2.7) | ||||
| 5 | 3 (0.6) | 1 (0.5) | 2 (0.7) | ||||
| Number of siblings at 3-year-old | 1.0 (0.8) | 0.9 (0.8) | 1.0 (0.8) | 0.45 § | |||
| child health checkup | |||||||
| 0 | 129 (25.4) | 61 (29.5) | 68 (22.7) | ||||
| 1 | 290 (57.2) | 115 (55.6) | 175 (58.3) | ||||
| 2 | 71 (14.0) | 25 (12.1) | 46 (15.3) | ||||
| 3 | 13 (2.6) | 5 (2.4) | 8 (2.7) | ||||
| ≥4 | 4 (0.8) | 1 (0.5) | 3 (1.0) | ||||
| Gestational age (weeks) #2 | 496 (97.8) | 38.6 (1.8) | 202 (97.6) | 38.7 (1.9) | 294 (98.0) | 38.5 (1.7) | 0.04 † |
| Weight at birth | 507 (100) | 2953.1 (439.1) | 207 (100) | 2951.9 (442.0) | 300 (100) | 2954.0 (437.9) | 0.88 † |
| Days from delivery to | 358 (70.6) | 50.3 (25.0) | 152 (73.4) | 48.9 (23.0) | 206 (68.7) | 51.4 (26.3) | 0.52 † |
| EPDS conduct (days) #3 | |||||||
| EPDS #4 | 357 (70.4) | 4.2 (3.4) | 152 (73.4) | 5.5 (3.8) | 205 (68.3) | 3.3 (2.6) | <0.001 † |
| EPDS ≥ 9 | 35 (6.9) | 26 (12.6) | 9 (3.0) | <0.001 ‡ | |||
| EPDS < 9 | 322 (63.5) | 126 (60.9) | 196 (65.3) | ||||
| MIBS-J #5 | 355 (70.0) | 1.7 (2.2) | 151 (72.9) | 2.3 (2.46) | 204 (68.0) | 1.2 (1.76) | <0.001 † |
| Independent Variables | adOR | 95%CI | p-Value | |
|---|---|---|---|---|
| X01 | Problems during pregnancy | 3.41 | 1.13–10.55 | 0.03 |
| X02 | The child has older sisters | 0.33 | 0.14–0.71 | 0.006 |
| X03 | Plan to return to work after maternity leave at the newborn visit | 0.4 | 0.21–0.76 | 0.006 |
| X04 | Mother’s overall judgement of “observation” at the newborn visit | 3.73 | 1.15–12.95 | 0.031 |
| X05 | EPDS ≥ 2 | 3.39 | 1.52–8.13 | 0.004 |
| X06 | Feel frustrated “Not sure” at health consultation for 4-month-olds | 2.32 | 1.21–4.50 | 0.011 |
| X07 | Illnesses since birth at health consultation for 4-month-olds | 3.59 | 1.56–8.57 | 0.003 |
| X08 | Having difficulties raising children at 18-month-old health checkup | 6.29 | 2.99–13.89 | <0.001 |
| X09 | Frequent diarrhea at 18-month-old health checkup | 5.53 | 2.17–14.95 | <0.001 |
| X10 | Fell and received medical treatment by 18-month-old health checkup | 4.63 | 1.6–14.53 | 0.006 |
| X11 | Actions are at child’s own pace and adult instructions are difficult to follow at 18-month-old health checkup | 5.05 | 1.35–25.45 | 0.027 |
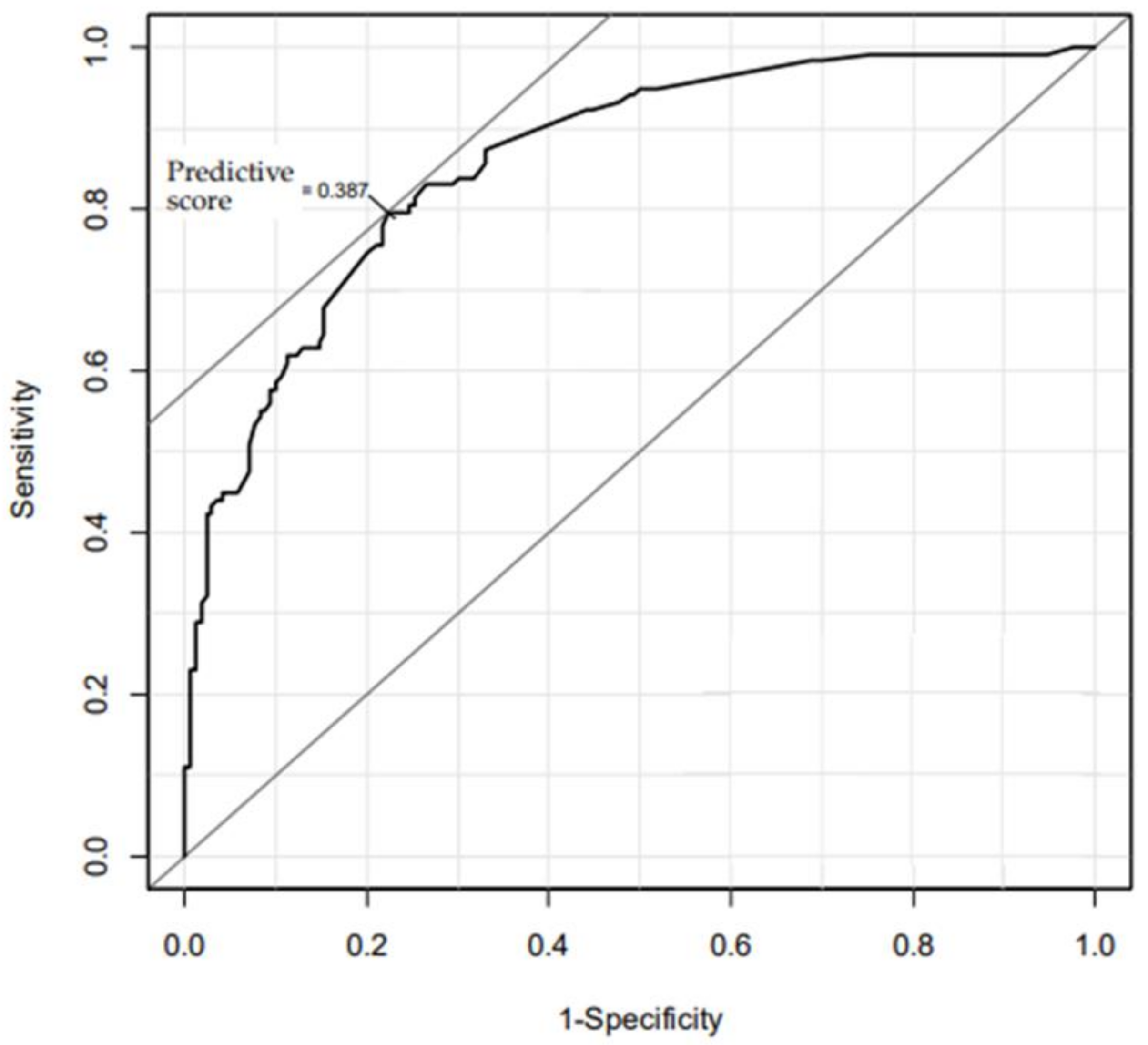
| cutoff value | 0.387 | |||
| Predictive Score | Data at 3-Year-Old Health Checkup | ||
|---|---|---|---|
| 2014 in Japan | 2017 in Japan | ||
| Cutoff value | 0.387 | ||
| Sensitivity | 79.7 | (79.7) | (79.7) |
| Specificity | 77.6 | (77.6) | (77.6) |
| Positive predictive value (PPV) | 71.2 | 67.8 | 64.5 |
| Negative predictive value (NPV) | 84.6 | 86.6 | 88.2 |
| Area under the curve | 0.860 | ||
| Prevalence | 41.1% | 37.2% | 33.8% |
Publisher’s Note: MDPI stays neutral with regard to jurisdictional claims in published maps and institutional affiliations. |
© 2021 by the authors. Licensee MDPI, Basel, Switzerland. This article is an open access article distributed under the terms and conditions of the Creative Commons Attribution (CC BY) license (https://creativecommons.org/licenses/by/4.0/).
Share and Cite
Tagawa, K.; Tsunematsu, M.; Kakehashi, M. Factors of Having Difficulties Raising 3-Year-Old Children in Japan: Usefulness of Maternal and Child Health Information Accumulated by the Local Government. Children 2021, 8, 1084. https://doi.org/10.3390/children8121084
Tagawa K, Tsunematsu M, Kakehashi M. Factors of Having Difficulties Raising 3-Year-Old Children in Japan: Usefulness of Maternal and Child Health Information Accumulated by the Local Government. Children. 2021; 8(12):1084. https://doi.org/10.3390/children8121084
Chicago/Turabian StyleTagawa, Kimiko, Miwako Tsunematsu, and Masayuki Kakehashi. 2021. "Factors of Having Difficulties Raising 3-Year-Old Children in Japan: Usefulness of Maternal and Child Health Information Accumulated by the Local Government" Children 8, no. 12: 1084. https://doi.org/10.3390/children8121084
APA StyleTagawa, K., Tsunematsu, M., & Kakehashi, M. (2021). Factors of Having Difficulties Raising 3-Year-Old Children in Japan: Usefulness of Maternal and Child Health Information Accumulated by the Local Government. Children, 8(12), 1084. https://doi.org/10.3390/children8121084

