Reference Curves of Selected Circumferential Parameters for Czech Children Aged 6 to 11 Years
Abstract
:1. Background
2. Methods
2.1. Subjects and Anthropometric Measurements
2.2. Statistical Analysis and Centile Curves
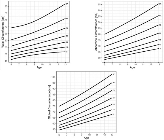
3. Results
4. Discussion
5. Conclusions
Author Contributions
Funding
Institutional Review Board Statement
Informed Consent Statement
Data Availability Statement
Acknowledgments
Conflicts of Interest
Abbreviations
References
- Aggarwal, B.; Jain, V. Obesity in Children: Definition, Etiology, and Approach. Indian J. Pediatr. 2018, 85, 463–471. [Google Scholar] [CrossRef]
- Vignerová, J.; Riedlová, J.; Bláha, P.; Kobzová, J.; Krejčovský, L.; Brabec, M.; Hrušková, M. 6. Celostátní antropologickývýzkum dětí a mládeže 2001, Česká Republika. Souhrnné výsledky. Státní Zdravotní Ústav Praha. 2006. Available online: http://www.szu.cz/publikace/data/kniha-6-cav-2001-ke-stazeni (accessed on 26 June 2021).
- Nagy, P.; Kovacs, E.; Moreno, L.A.; Veidebaum, T.; Tornaritis, M.; Kourydes, Y.; Molnar, D. Percentile reference values for anthropometric body composition indices in European children from the IDEFICS study. Int. J. Obes. 2014, 38, 15–25. [Google Scholar] [CrossRef] [Green Version]
- Andaki, A.C.R.; Mendes, E.L.; Santos, A.; Brito, C.J.; Tinoco, A.L.A.; Mota, J. Waist circumference percentile curves as a screening tool to predict cardiovascular risk factors and metabolic syndrome risk in Brazilian children. Cad. Saúde Pública 2018, 34, e00105317. [Google Scholar] [CrossRef] [Green Version]
- Freedman, D.S.; Serdula, M.K.; Srinivasan, S.R.; Berenson, G.S. Relation of circumferences and skinfold thicknesses to lipid and insulin concentrations in children and adolescents: The Bogalusa Heart Study. Am. J. Clin. Nutr. 1999, 69, 308–317. [Google Scholar] [CrossRef] [Green Version]
- Revenga-Frauca, J.; González-Gil, E.; Bueno-Lozano, G.; De Miguel-Etayo, P.; Velasco-Martínez, P.; Rey-López, J.P.; Moreno, L.A. Abdominal fat and metabolic risk in obese children and adolescents. J. Physiol. Biochem. 2009, 65, 415–420. [Google Scholar] [CrossRef] [PubMed]
- Marinov, Z.; Pastucha, D. Běžná dětská obezita a její metabolické následky. Čas Lék Čes 2012, 151, 135–140. [Google Scholar]
- Onis, M.D.; Onyago, A.W.; Borghi, E.; Siyam, A.; Nishida, C.; Siekmann, J. Development of a WHO growth reference for school-aged children and adolescents. Bull. World Health Organ. 2007, 85, 660–667. [Google Scholar] [CrossRef] [PubMed]
- Markovic-Jovanovic, S.R.; Stolic, R.V.; Jovanovic, A.N. The reliability of body mass index in the diagnosis of obesity and metabolic risk in children. J. Pediatr. Endocrinol. Metab. 2014, 28, 515–523. [Google Scholar] [CrossRef] [PubMed]
- Alberti, K.G.M.; Zimmet, P.; Shaw, J.; IDF Epidemiology Task Force Consensus Group. The metabolic syndrome—A new worldwide definition. Lancet 2005, 366, 1059–1062. [Google Scholar] [CrossRef]
- McCarthy, H.D.; Ellis, S.M.; Cole, T.J. Central overweight and obesity in British youth aged 11–16 years: Cross sectional surveys of waist circumference. BMJ 2003, 326, 624. [Google Scholar] [CrossRef] [Green Version]
- Lu, N.; Wang, R.; Ji, M.; Liu, X.; Qiang, L.; Ma, C.; Yin, F. The value of hip circumference/heightx ratio for identifying childhood hypertension. Sci. Rep. 2018, 8, 3236. [Google Scholar] [CrossRef]
- Hu, F. Obesity Epidemiology; Oxford University Press: New York, NY, USA, 2008. [Google Scholar]
- Katzmarzyk, P.T.; Bouchard, C. Where is the beef? Waist circumference is more highly correlated with bmi and total body fat than with abdominal visceral fat in children. Int. J. Obes. 2013, 38, 753–754. [Google Scholar] [CrossRef] [PubMed] [Green Version]
- Stevens, J.; Cai, J.; Truesdale, K.P.; Cuttler, L.; Robinson, T.N.; Roberts, A.L. Percent body fat prediction equations for 8- to 17-year-old American children. Pediatr. Obes. 2013, 9, 260–271. [Google Scholar] [CrossRef] [PubMed] [Green Version]
- Phan, T.L.; Maresca, M.M.; Hossain, J.; Datto, G.A. Does body mass index accurately reflect body fat? A comparison of anthropometric measures in the longitidinal assessment of fat mass. Clin. Pediatr. 2012, 51, 671–677. [Google Scholar] [CrossRef] [PubMed]
- Talma, H.; Chinapaw, M.J.M.; Bakker, B.; HiraSing, R.A.; Terwee, C.B.; Altenburg, T.M. Bioelectrical impedance analysis to estimate body composition in children and adolescents: A systematic review and evidence appraisal of valid responsiveness, reliability and measurement error. Obes. Rev. 2013, 14, 895–905. [Google Scholar] [CrossRef] [PubMed]
- Harriss, D.J.; Atkinson, G. Ethical Standards in Sport and Exercise Science Research: 2016 Update. Int. J. Sports Med. 2015, 36, 1121–1124. [Google Scholar] [CrossRef] [Green Version]
- Sardinha, L.B.; Santos, R.; Vale, S.; e Silva, M.J.; Raimundo, A.M.; Moreira, H.; Mota, J. Waist circumference percentiles for Portuguese children and adolescents aged 10 to 18 years. Eur. J. Pediatr. 2012, 171, 499–505. [Google Scholar] [CrossRef]
- Lichtenauer, M.; Wheatley, S.D.; Martyn-St James, M.; Duncan, M.J.; Cobayashi, F.; Berg, G.; Jung, C. Efficacy of anthropometric measures for identifying cardiovascular disease risk in adolescents: Review and meta-analysis. Minerva Pediatr. 2018, 70, 371–382. [Google Scholar] [CrossRef]
- Janssen, I.; Katzmarzyk, P.T.; Ross, R. Waist circumference and not body mass index explains obesity-related health risk. Am. J. Clin. Nutr. 2004, 79, 379–384. [Google Scholar] [CrossRef] [Green Version]
- Andaki, A.C.; Tinoco, A.L.; Mendes, E.L.; Andaki Junior, R.; Hills, A.P.; Amorim, P.R. Different waist circumference measurements and prediction of cardiovascular risk factors and metabolic syndrome in children. Obes. Res. Clin. Pract. 2012, 6, e91–e174. [Google Scholar] [CrossRef]
- Andaki, A.C.; Tinoco, A.L.; Mendes, E.L.; Andaki Junior, R.; Hills, A.P.; Amorim, P.R. Anthropometry and physical activity level in the prediction of metabolic syndrome in children. Public Health Nutr. 2014, 17, 2287–2294. [Google Scholar] [CrossRef] [PubMed] [Green Version]
- Savva, S.C.; Tornaritis, M.; Savva, M.E.; Kourides, Y.; Panagi, A.; Silikiotou N Kafatos, A. Waist circumference and waist-to-height ratio are better predictors of cardiovascular disease risk factors in children than body mass index. Int. J. Obes. Relat. Metab. Disord. 2000, 24, 1453–1458. [Google Scholar] [CrossRef] [PubMed] [Green Version]
- Katzmarzyk, P.T. Waist circumference percentiles for Canadian youth 11–18 y of age. Eur. J. Clin. Nutr. 2004, 58, 1011–1015. [Google Scholar] [CrossRef] [PubMed] [Green Version]
- Fernández, J.R.; Brown, M.B.; López-Alarcón, M.; Dawson, J.A.; Guo, F.; Redden, D.; Allison, D.B. Changes in Pediatric Waist Circumference Percentiles Despite Reported Pediatric Weight Stabilization in the United States. Pediatr. Obes. 2017, 12, 347–355. [Google Scholar] [CrossRef]
- Eisenmann, J.C. Waist circumference percentiles for 7- to 15-year-old Australian children. Acta Paediatr. 2005, 94, 1182–1185. [Google Scholar] [CrossRef]
- Fredriks, A.M.; van Buuren, S.; Fekkes, M.; Verloove-Vanhorick, S.P.; Wit, J.M. Are age references for waist circumference, hip circumference and waist-hip ratio in Dutch children useful in clinical practice? Eur. J. Pediatr. 2005, 164, 216–222. [Google Scholar] [CrossRef]
- McCarthy, H.; Jarrett, K.; Crawley, H. Original Communications—The development of waist circumference percentiles in British children aged 5.0–16.9 y. Eur. J. Clin. Nutr. 2001, 55, 902–907. [Google Scholar] [CrossRef] [Green Version]
- Rönnecke, E.; Vogel, M.; Bussler, S.; Grafe, N.; Jurkutat, A.; Schlingmann, M.; Kiess, W. Age- and Sex-Related Percentile of Skinfold Thickness, Waist and Hip Circumference, Waist-to-Hip Ratio and Waist-to-Height Ratio: Results from a Population-Based Pediatric Cohort in Germany (LIFE Child). Obes. Facts 2019, 12, 25–39. [Google Scholar] [CrossRef]
- Pirincci, E.; Cicek, B.; Acik, Y.; Ozturk, A.; Durmus, B. The second report from Turkey: Waist percentiles for 6–11-year-old children in Elazig Province, Eastern Anatolia. J. Pediatr. Endocrinol. Metab. 2012, 25, 705–709. [Google Scholar] [CrossRef] [PubMed]
- Bacopoulou, F.; Efthymiou, V.; Landis, G.; Rentoumis, A.; Chrousos, G.P. Waist circumference, waist-to-hip ratio and waist-to-height ratio reference percentiles for abdominal obesity among Greek adolescents. BMC Pediatr. 2015, 15, 50. [Google Scholar] [CrossRef] [PubMed] [Green Version]
- Kelishadi, R.; Qorbani, M.; Hosseini, M.; Bahreynian, M.; Djalalinia, S.; Motlagh, M.E.; Heshmat, R. Percentiles for anthropometric measures in Iranian children and adolescents: The CASPIAN-IV study. J. Pediatr. Endocrinol. Metab. 2016, 29, 1069–1076. [Google Scholar] [CrossRef]
- Mukherjee, S.; Leong, H.F.; Wong, X.X. Waist circumference percentiles for Singaporean children and adolescents aged 6–17 years. Obes. Res. Clin. Pract. 2016, 105, 17–25. [Google Scholar] [CrossRef] [PubMed]
- Song, P.; Li, X.; Gasevic, D.; Borges Flores, A.; Yu, Z. BMI, Waist Circumference Reference Values for Chinese School-Aged Children and Adolescents. Int. J. Environ. Res. Public Health 2016, 13, 589. [Google Scholar] [CrossRef] [PubMed] [Green Version]


| Age (years) | n | Height (cm) | Weight (kg) | WC (cm) | AbC (cm) | GC (cm) |
|---|---|---|---|---|---|---|
| Boys | ||||||
| 6 | 74 | 125.5 ± 6.1 | 24.9 ± 4.5 | 55.0 ± 4.5 | 57.5 ± 5.7 | * 62.5 ± 5.6 |
| 7 | 223 | 132.1 ± 6.3 | 29.2 ± 5.4 | 56.2 ± 5.4 | 59.0 ± 6.1 | * 63.8 ± 7.1 |
| 8 | 254 | * 134.2 ± 5.7 | * 30.6 ± 6.5 | * 59.2 ± 6.6 | 62.3 ± 7.8 | * 67.7 ± 6.6 |
| 9 | 179 | * 139.0 ± 6.7 | * 33.5 ± 7.0 | * 61.0 ± 6.4 | 64.6 ± 7.5 | 70.8 ± 6.5 |
| 10 | 148 | 145.4 ± 7.5 | 38.0 ± 9.3 | * 64.0 ± 8.1 | * 68.6 ± 8.8 | 74.3 ± 7.7 |
| 11 | 130 | 148.3 ± 7.1 | 40.2 ± 8.4 | * 65.1 ± 7.8 | 70.2 ± 9.1 | 76.4 ± 7.3 |
| Girls | ||||||
| 6 | 95 | 124.0 ± 6.8 | 24.8 ± 6.1 | 55.5 ± 6.2 | 58.7 ± 7.0 | * 65.1 ± 7.0 |
| 7 | 255 | 127.5 ± 6.4 | 26.0 ± 5.1 | 55.6 ± 5.7 | 59.4 ± 6.6 | * 66.0 ± 5.9 |
| 8 | 251 | * 132.1 ± 6.9 | * 29.2 ± 5.7 | * 57.7 ± 6.2 | 61.9 ± 7.1 | * 68.9 ± 6.3 |
| 9 | 174 | * 136.9 ± 7.0 | * 31.6 ± 7.5 | * 58.7 ± 7.0 | 63.3 ± 8.0 | 71.3 ± 7.6 |
| 10 | 177 | 144.6 ± 7.9 | 36.7 ± 8.6 | * 61.0 ± 7.5 | * 66.6 ± 8.5 | 75.5 ± 7.6 |
| 11 | 133 | 147.0 ± 7.4 | 39.0 ± 9.6 | * 62.1 ± 8.0 | 68.5 ± 9.6 | 77.7 ± 8.7 |
| Percentile | |||||||
|---|---|---|---|---|---|---|---|
| Age (Years) | 3 | 10 | 25 | 50 | 75 | 90 | 97 |
| Girls | |||||||
| 6 | 46.0 | 48.2 | 50.2 | 52.7 | 55.9 | 60.5 | 69.3 |
| 7 | 47.5 | 49.4 | 51.5 | 54.1 | 57.5 | 62.2 | 70.4 |
| 8 | 48.7 | 50.6 | 52.7 | 55.5 | 59.3 | 64.1 | 71.9 |
| 9 | 49.6 | 51.6 | 53.9 | 57.0 | 61.0 | 66.1 | 74.1 |
| 10 | 50.3 | 52.6 | 55.2 | 58.6 | 62.9 | 68.4 | 76.9 |
| 11 | 50.9 | 53.5 | 56.4 | 60.1 | 64.9 | 70.9 | 80.0 |
| Boys | |||||||
| 6 | 47.7 | 49.1 | 50.8 | 52.8 | 55.0 | 58.4 | 63.9 |
| 7 | 49.0 | 50.4 | 52.1 | 54.3 | 57.2 | 61.5 | 68.3 |
| 8 | 50.4 | 51.9 | 53.8 | 56.3 | 59.6 | 64.7 | 72.9 |
| 9 | 51.7 | 53.6 | 55.8 | 58.5 | 62.0 | 67.6 | 77.4 |
| 10 | 53.0 | 55.2 | 57.7 | 60.6 | 64.4 | 70.6 | 82.4 |
| 11 | 54.8 | 56.4 | 58.8 | 62.8 | 68.9 | 76.8 | 89.3 |
| Percentile | |||||||
|---|---|---|---|---|---|---|---|
| Age (Years) | 3 | 10 | 25 | 50 | 75 | 90 | 97 |
| Girls | |||||||
| 6 | 48.6 | 50.1 | 52.2 | 55.4 | 59.6 | 64.2 | 69.9 |
| 7 | 49.9 | 51.6 | 53.9 | 57.3 | 61.9 | 66.9 | 73.1 |
| 8 | 51.2 | 53.2 | 55.7 | 59.4 | 64.3 | 69.7 | 76.5 |
| 9 | 52.6 | 54.7 | 57.5 | 61.5 | 66.8 | 72.6 | 80.0 |
| 10 | 53.9 | 56.3 | 59.3 | 63.7 | 69.3 | 75.7 | 83.7 |
| 11 | 55.2 | 57.9 | 61.3 | 66.0 | 72.0 | 78.8 | 87.5 |
| Boys | |||||||
| 6 | 48.3 | 50.1 | 52.0 | 54.3 | 57.3 | 61.6 | 69.3 |
| 7 | 50.1 | 51.9 | 54.0 | 56.7 | 60.3 | 65.2 | 73.5 |
| 8 | 51.9 | 53.8 | 56.1 | 59.2 | 63.5 | 68.9 | 77.6 |
| 9 | 53.7 | 55.7 | 58.2 | 61.9 | 66.8 | 72.8 | 81.6 |
| 10 | 55.6 | 57.7 | 60.4 | 64.7 | 70.4 | 76.9 | 85.5 |
| 11 | 57.4 | 59.7 | 62.7 | 67.5 | 74.1 | 81.0 | 89.3 |
| Percentile | |||||||
|---|---|---|---|---|---|---|---|
| Age (Years) | 3 | 10 | 25 | 50 | 75 | 90 | 97 |
| Girls | |||||||
| 6 | 54.4 | 56.3 | 58.5 | 61.4 | 65.1 | 69.3 | 74.9 |
| 7 | 56.2 | 58.3 | 60.8 | 64.0 | 67.9 | 72.5 | 78.3 |
| 8 | 58.1 | 60.4 | 63.1 | 66.6 | 71.0 | 75.8 | 81.9 |
| 9 | 60.1 | 62.6 | 65.6 | 69.5 | 74.1 | 79.3 | 85.7 |
| 10 | 62.0 | 64.9 | 68.2 | 72.4 | 77.5 | 83.0 | 89.6 |
| 11 | 64.0 | 67.2 | 70.8 | 75.5 | 81.0 | 86.9 | 93.7 |
| Boys | |||||||
| 6 | 47.6 | 51.4 | 55.3 | 59.6 | 64.0 | 67.8 | 71.7 |
| 7 | 50.3 | 54.2 | 58.2 | 62.6 | 67.1 | 71.0 | 75.0 |
| 8 | 53.2 | 57.2 | 61.3 | 65.8 | 70.3 | 74.4 | 78.4 |
| 9 | 56.3 | 60.4 | 64.6 | 69.2 | 73.8 | 78.0 | 82.1 |
| 10 | 59.3 | 63.5 | 67.8 | 72.5 | 77.2 | 81.5 | 85.7 |
| 11 | 61.8 | 66.1 | 70.4 | 75.2 | 80.1 | 84.4 | 88.7 |
| Age (Years) | AbC (cm) | GC (cm) | ||||
|---|---|---|---|---|---|---|
| Boys | 2020 | 2001 | 1991 | 2020 | 2001 | 1991 |
| 6 | 57.5 ± 5.7 | 56.8 ± 5.4 | 56.0 ± 4.7 | 62.5 ± 5.6 | 65.1 ± 5.6 | 63.7 ± 5.0 |
| 7 | 59.0 ± 6.1 | 58.4 ± 5.6 | 57.3 ± 4.8 | 63.8 ± 7.1 | 67.5 ± 6.0 | 65.7 ± 5.2 |
| 8 | 62.3 ± 7.8 | 60.7 ± 6.3 | 59.1 ± 5.3 | 67.7 ± 6.6 | 70.9 ± 6.3 | 68.4 ± 5.5 |
| 9 | 64.6 ± 7.5 | 62.5 ± 7.5 | 61.3 ± 6.3 | 70.8 ± 6.5 | 73.2 ± 7.2 | 71.4 ± 6.3 |
| 10 | 68.6 ± 8.8 | 64.9 ± 7.8 | 63.3 ± 7.1 | 74.3 ± 7.7 | 76.3 ± 7.2 | 74.1 ± 6.9 |
| 11 | 70.2 ± 9.1 | 66.9 ± 8.3 | 65.3 ± 7.4 | 76.4 ± 7.3 | 78.8 ± 7.9 | 76.7 ± 7.1 |
| Girls | ||||||
| 6 | 58.7 ± 7.0 | 56.2 ± 5.8 | 54.7 ± 4.8 | 65.1 ± 7.0 | 65.3 ± 5.8 | 64.0 ± 5.0 |
| 7 | 59.4 ± 6.6 | 57.5 ± 5.9 | 56.2 ± 5.4 | 66.0 ± 5.9 | 67.9 ± 6.0 | 66.6 ± 5.7 |
| 8 | 61.9 ± 7.1 | 59.2 ± 6.5 | 57.9 ± 5.7 | 68.9 ± 6.3 | 70.8 ± 6.5 | 69.3 ± 5.9 |
| 9 | 63.3 ± 8.0 | 61.2 ± 6.9 | 60.0 ± 6.8 | 71.3 ± 7.6 | 73.6 ± 6.8 | 72.5 ± 6.8 |
| 10 | 66.6 ± 8.5 | 63.4 ± 7.6 | 61.3 ± 6.9 | 75.5 ± 7.6 | 77.0 ± 7.1 | 75.2 ± 6.9 |
| 11 | 68.5 ± 9.6 | 65.2 ± 8.2 | 64.1 ± 7.4 | 77.7 ± 8.7 | 80.5 ± 8.0 | 79.0 ± 7.4 |
Publisher’s Note: MDPI stays neutral with regard to jurisdictional claims in published maps and institutional affiliations. |
© 2021 by the authors. Licensee MDPI, Basel, Switzerland. This article is an open access article distributed under the terms and conditions of the Creative Commons Attribution (CC BY) license (https://creativecommons.org/licenses/by/4.0/).
Share and Cite
Vendula, J.; Miroslava, P.; Tereza, K. Reference Curves of Selected Circumferential Parameters for Czech Children Aged 6 to 11 Years. Children 2021, 8, 908. https://doi.org/10.3390/children8100908
Vendula J, Miroslava P, Tereza K. Reference Curves of Selected Circumferential Parameters for Czech Children Aged 6 to 11 Years. Children. 2021; 8(10):908. https://doi.org/10.3390/children8100908
Chicago/Turabian StyleVendula, Jancikova, Pridalova Miroslava, and Kaplanova Tereza. 2021. "Reference Curves of Selected Circumferential Parameters for Czech Children Aged 6 to 11 Years" Children 8, no. 10: 908. https://doi.org/10.3390/children8100908
APA StyleVendula, J., Miroslava, P., & Tereza, K. (2021). Reference Curves of Selected Circumferential Parameters for Czech Children Aged 6 to 11 Years. Children, 8(10), 908. https://doi.org/10.3390/children8100908

