Growth Retardation in the Course of Fanconi Syndrome Caused by the 4977-bp Mitochondrial DNA Deletion: A Case Report
Abstract
1. Introduction
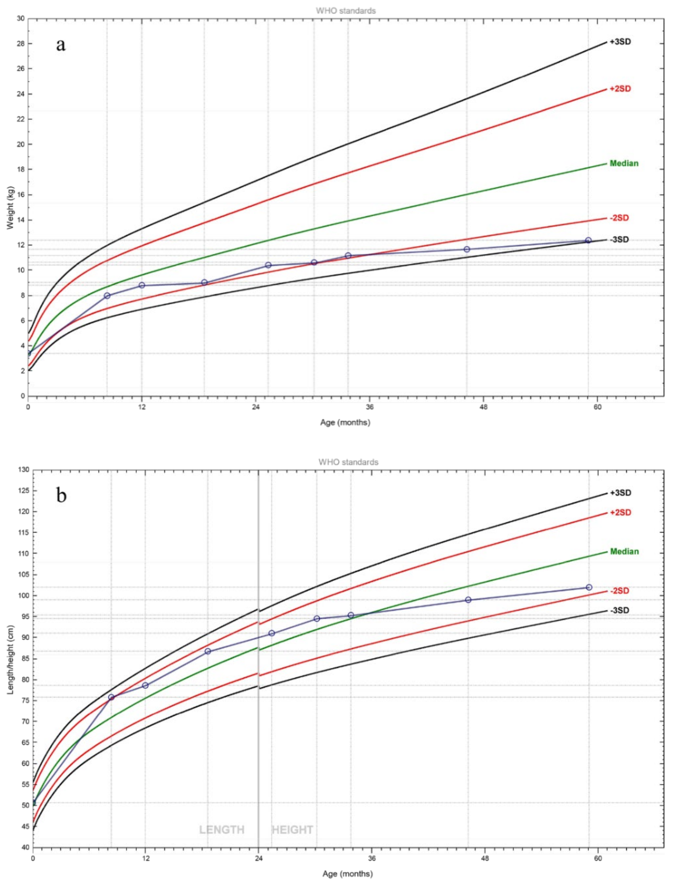
2. Case Presentation
3. Mitochondrial DNA Analysis
4. Discussion
Author Contributions
Funding
Institutional Review Board Statement
Informed Consent Statement
Data Availability Statement
Acknowledgments
Conflicts of Interest
References
- Foreman, J.W. Fanconi Syndrome. Pediatr. Clin. N. Am. 2019, 66, 159–167. [Google Scholar] [CrossRef] [PubMed]
- Govers, L.P.; Toka, H.R.; Hariri, A.; Walsh, S.B.; Bockenhauer, D. Mitochondrial DNA Mutations in Renal Disease: An Overview. Pediatr. Nephrol. 2021, 36, 9–17. [Google Scholar] [CrossRef] [PubMed]
- Porteous, W.K.; James, A.M.; Sheard, P.W.; Porteous, C.M.; Packer, M.A.; Hyslop, S.J.; Melton, J.V.; Pang, C.Y.; Wei, Y.H.; Murphy, M.P. Bioenergetic Consequences of Accumulating the Common 4977-Bp Mitochondrial DNA Deletion. Eur. J. Biochem. 1998, 257, 192–201. [Google Scholar] [CrossRef] [PubMed]
- Niaudet, P.; Heidet, L.; Munnich, A.; Schmitz, J.; Bouissou, F.; Gubler, M.C.; Rötig, A. Deletion of the Mitochondrial DNA in a Case of de Toni-Debré-Fanconi Syndrome and Pearson Syndrome. Pediatr. Nephrol. 1994, 8, 164–168. [Google Scholar] [CrossRef] [PubMed]
- Lee, J.J.; Tripi, L.M.; Erbe, R.W.; Garimella-Krovi, S.; Springate, J.E. A Mitochondrial DNA Deletion Presenting with Corneal Clouding and Severe Fanconi Syndrome. Pediatr. Nephrol. 2012, 27, 869–872. [Google Scholar] [CrossRef] [PubMed]
- Au, K.M.; Lau, S.C.; Mak, Y.F.; Lai, W.M.; Chow, T.C.; Chen, M.L.; Chiu, M.C.; Chan, A.Y.W. Mitochondrial DNA Deletion in a Girl with Fanconi’s Syndrome. Pediatr. Nephrol. 2007, 22, 136–140. [Google Scholar] [CrossRef] [PubMed]
- Solano, A.; Russo, G.; Playán, A.; Parisi, M.; DiPietro, M.; Scuderi, A.; Palumbo, M.; Renis, M.; López-Pérez, M.J.; Andreu, A.L.; et al. De Toni-Debré-Fanconi Syndrome Due to a Palindrome-Flanked Deletion in Mitochondrial DNA. Pediatr. Nephrol. 2004, 19, 790–793. [Google Scholar] [CrossRef] [PubMed]
- Szabolcs, M.J.; Seigle, R.; Shanske, S.; Bonilla, E.; Dimauro, S.; D’Agati, V. Mitochondrial DNA Deletion: A Cause of Chronic Tubulointerstitial Nephropathy. Kidney Int. 1994, 45, 1388–1396. [Google Scholar] [CrossRef]
- Pitchon, E.M.; Cachat, F.; Jacquemont, S.; Hinard, C.; Borruat, F.X.; Schorderet, D.F.; Morris, M.A.; Munier, F.L. Patient with Fanconi Syndrome (FS) and Retinitis Pigmentosa (RP) Caused by a Deletion and Duplication of Mitochondrial DNA (MtDNA). Klin. Monbl. Augenheilkd. 2007, 224, 340–343. [Google Scholar] [CrossRef] [PubMed]
- Luder, A.; Barash, V. Complex I Deficiency with Diabetes, Fanconi Syndrome and MtDNA Deletion. J. Inherit. Metab. Dis. 1994, 17, 298–300. [Google Scholar] [CrossRef] [PubMed]
- Tzoufi, M.; Makis, A.; Chaliasos, N.; Nakou, I.; Siomou, E.; Tsatsoulis, A.; Zikou, A.; Argyropoulou, M.; Bonnefont, J.P.; Siamopoulou, A. A Rare Case Report of Simultaneous Presentation of Myopathy, Addison’s Disease, Primary Hypoparathyroidism, and Fanconi Syndrome in a Child Diagnosed with Kearns-Sayre Syndrome. Eur. J. Pediatr. 2013, 172, 557–561. [Google Scholar] [CrossRef] [PubMed]
- Mori, K.; Narahara, K.; Ninomiya, S.; Goto, Y.; Nonaka, I. Renal and Skin Involvement in a Patient with Complete Kearns-Sayre Syndrome. Am. J. Med. Genet. 1991, 38, 583–587. [Google Scholar] [CrossRef] [PubMed]
- Mihai, C.M.; Catrinoiu, D.; Toringhibel, M.; Stoicescu, R.M.; Hancu, A. De Toni-Debré-Fanconi Syndrome in a Patient with Kearns-Sayre Syndrome: A Case Report. J. Med. Case Rep. 2009, 3, 1–6. [Google Scholar] [CrossRef] [PubMed]
- Atale, A.; Bonneau-Amati, P.; Rötig, A.; Fischer, A.; Perez-Martin, S.; de Lonlay, P.; Niaudet, P.; De Parscau, L.; Mousson, C.; Thauvin-Robinet, C.; et al. Tubulopathy and Pancytopaenia with Normal Pancreatic Function: A Variant of Pearson Syndrome. Eur. J. Med. Genet. 2009, 52, 23–26. [Google Scholar] [CrossRef] [PubMed]
- Superti-Furga, A.; Schoenle, E.; Tuchschmid, P.; Caduff, R.; Sabato, V.; DeMattia, D.; Gitzelmann, R.; Steinmann, B. Pearson Bone Marrow-Pancreas Syndrome with Insulin-Dependent Diabetes, Progressive Renal Tubulopathy, Organic Aciduria and Elevated Fetal Haemoglobin Caused by Deletion and Duplication of Mitochondrial DNA. Eur. J. Pediatr. 1993, 152, 44–50. [Google Scholar] [CrossRef] [PubMed]
- Majander, A.; Suomalainen, A.; Vettenranta, K.; Sariola, H.; Perkkiö, M.; Holmberg, C.; Pihko, H. Congenital Hypoplastic Anemia, Diabetes, and Severe Renal Tubular Dysfunction Associated with a Mitochondrial Dna Deletion. Pediatr. Res. 1991, 30, 327–330. [Google Scholar] [CrossRef] [PubMed]
- Campos, Y.; Garcia-Silva, T.; Barrionuevo, C.R.; Cabello, A.; Muley, R.; Arenas, J. Mitochondrial DNA Deletion in a Patient with Mitochondrial Myopathy, Lactic Acidosis, and Stroke-like Episodes (MELAS) and Fanconi’s Syndrome. Pediatr. Neurol. 1995, 13, 69–72. [Google Scholar] [CrossRef]
- Liu, H.M.; Tsai, L.P.; Chien, Y.H.; Wu, J.F.; Weng, W.C.; Peng, S.F.; Wu, E.T.; Huang, P.H.; Lee, W.T.; Tsai, I.J.; et al. A Novel 3670-Base Pair Mitochondrial DNA Deletion Resulting in Multi-Systemic Manifestations in a Child. Pediatr. Neonatol. 2012, 53, 264–268. [Google Scholar] [CrossRef] [PubMed]
- Goldstein, A.; Falk, M.J. Mitochondrial DNA Deletion Syndromes. In GeneReviews®; University of Washington: Seattle, WA, USA, 1993. [Google Scholar] [PubMed]
- Han, B.; Zhou, T.; Tu, Y.; Wang, T.; He, Z.; Li, Y.; Yuan, J.; Yang, X.; Sun, H. Correlation between Mitochondrial DNA 4977bp Deletion and Presbycusis: A System Review and Meta-Analysis. Medicine 2019, 98, e16302. [Google Scholar] [CrossRef] [PubMed]
- Diba, L.Z.; Ardebili, S.M.M.; Gharesouran, J.; Houshmand, M. Age-Related Decrease in MtDNA Content as a Consequence of MtDNA 4977 Bp Deletion. Mitochondrial DNA 2016, 27, 3008–3012. [Google Scholar] [CrossRef] [PubMed]


| Category | Mutation | Reference |
|---|---|---|
| Corneal clouding | 7.4 kbp deletion | [5] |
| Isolated proximal tubular abnormalities | 7.3 kbp deletion | [6] |
| Anemia | 3.3 kbp deletion | [7] |
| Anemia and ptosis | 2.8 kbp deletion | [8] |
| Retinitis pigmentosa | 6.7 kbp deletion | [9] |
| Diabetes and muscle wasting | 5 kbp deletion | [10] |
| Kearns–Sayre syndrome | 9 kbp deletion | [11] |
| Kearns–Sayre syndrome | 5.4 kbp deletion | [12] |
| Kearns–Sayre syndrome | A deletion in the mtDNA | [13] |
| Pearson syndrome | 3.5 kbp deletion | [14] |
| Pearson syndrome | 4.9 kbp deletion | [14] |
| Pearson syndrome | 6.3 kbp deletion | [15] |
| Pearson syndrome | 4977bp deletion | [4] |
| Pearson syndrome | 5.7 kbp deletion | [16] |
| Mitochondrial encephalomyopathy with lactic acidosis and stroke-like episodes | 6.0 kbp deletion | [17] |
| Multisystem diseases | 3670 bp deletion | [18] |
Publisher’s Note: MDPI stays neutral with regard to jurisdictional claims in published maps and institutional affiliations. |
© 2021 by the authors. Licensee MDPI, Basel, Switzerland. This article is an open access article distributed under the terms and conditions of the Creative Commons Attribution (CC BY) license (https://creativecommons.org/licenses/by/4.0/).
Share and Cite
Li, T.; Lu, Z.; Wang, J.; Chen, J.; Fu, H.; Mao, J. Growth Retardation in the Course of Fanconi Syndrome Caused by the 4977-bp Mitochondrial DNA Deletion: A Case Report. Children 2021, 8, 887. https://doi.org/10.3390/children8100887
Li T, Lu Z, Wang J, Chen J, Fu H, Mao J. Growth Retardation in the Course of Fanconi Syndrome Caused by the 4977-bp Mitochondrial DNA Deletion: A Case Report. Children. 2021; 8(10):887. https://doi.org/10.3390/children8100887
Chicago/Turabian StyleLi, Ting, Zhihong Lu, Jingjing Wang, Junyi Chen, Haidong Fu, and Jianhua Mao. 2021. "Growth Retardation in the Course of Fanconi Syndrome Caused by the 4977-bp Mitochondrial DNA Deletion: A Case Report" Children 8, no. 10: 887. https://doi.org/10.3390/children8100887
APA StyleLi, T., Lu, Z., Wang, J., Chen, J., Fu, H., & Mao, J. (2021). Growth Retardation in the Course of Fanconi Syndrome Caused by the 4977-bp Mitochondrial DNA Deletion: A Case Report. Children, 8(10), 887. https://doi.org/10.3390/children8100887

