ALT Trends through Childhood and Adolescence Associated with Hepatic Steatosis at 24 Years: A Population-Based UK Cohort Study
Abstract
1. Introduction
2. Materials and Methods
2.1. Study Design and Population
2.2. Assessment of Liver Outcomes
2.3. Covariates
2.4. Inclusion/Exclusion
2.5. Statistical Analysis
3. Results
4. Discussion
5. Conclusions
Supplementary Materials
Author Contributions
Funding
Acknowledgments
Conflicts of Interest
References
- Chalasani, N.; Younossi, Z.; Lavine, J.E.; Diehl, A.M.; Brunt, E.M.; Cusi, K.; Charlton, M.; Sanyal, A.J. The diagnosis and management of non-alcoholic fatty liver disease: Practice guideline by the American Gastroenterological Association, American Association for the Study of Liver Diseases, and American College of Gastroenterology. Gastroenterology 2012, 142, 1592–1609. [Google Scholar] [CrossRef]
- Vos, M.B.; Abrams, S.H.; Barlow, S.E.; Caprio, S.; Daniels, S.R.; Kohli, R.; Mouzaki, M.; Sathya, P.; Schwimmer, J.B.; Sundaram, S.S. NASPGHAN clinical practice guideline for the diagnosis and treatment of nonalcoholic fatty liver disease in children: Recommendations from the expert committee on NAFLD (ECON) and the North American Society of Pediatric Gastroenterology, Hepatology and Nutrition (NASPGHAN). J. Pediatr. Gastroenterol. Nutr. 2017, 64, 319–334. [Google Scholar] [PubMed]
- Welsh, J.A.; Karpen, S.; Vos, M.B. Increasing Prevalence of Nonalcoholic Fatty Liver Disease Among United States Adolescents, 1988–1994 to 2007–2010. J. Pediatr. 2013, 162, 496–500. [Google Scholar] [CrossRef] [PubMed]
- Feldstein, A.E.; Charatcharoenwitthaya, P.; Treeprasertsuk, S.; Benson, J.T.; Enders, F.B.; Angulo, P. The natural history of non-alcoholic fatty liver disease in children: A follow-up study for up to 20 years. Gut 2009, 58, 1538–1544. [Google Scholar] [CrossRef]
- Vernon, G.; Baranova, A.; Younossi, Z. Systematic review: The epidemiology and natural history of non-alcoholic fatty liver disease and non-alcoholic steatohepatitis in adults. Aliment. Pharmacol. Ther. 2011, 34, 274–285. [Google Scholar] [CrossRef] [PubMed]
- Hagström, H.; Höijer, J.; Ludvigsson, J.F.; Bottai, M.; Ekbom, A.; Hultcrantz, R.; Stephansson, O.; Stokkeland, K. Adverse outcomes of pregnancy in women with non-alcoholic fatty liver disease. Liver Int. 2016, 36, 268–274. [Google Scholar] [CrossRef] [PubMed]
- Patel, K.R.; White, F.V.; Deutsch, G.H. Hepatic steatosis is prevalent in stillborns delivered to women with diabetes mellitus. J. Pediatr. Gastroenterol. Nutr. 2015, 60, 152–158. [Google Scholar] [CrossRef] [PubMed]
- Modi, N.; Murgasova, D.; Ruager-Martin, R.; Thomas, E.L.; Hyde, M.J.; Gale, C.; Santhakumaran, S.; Doré, C.J.; Alavi, A.; Bell, J.D. The Influence of Maternal Body Mass Index on Infant Adiposity and Hepatic Lipid Content. Pediatr. Res. 2011, 70, 287. [Google Scholar] [CrossRef]
- Brumbaugh, D.E.; Tearse, P.; Cree-Green, M.; Fenton, L.Z.; Brown, M.; Scherzinger, A.; Reynolds, R.; Alston, M.; Hoffman, C.; Pan, Z.; et al. Intrahepatic Fat is Increased in Neonatal Offspring of Obese Women with Gestational Diabetes. J. Pediatr. 2013, 162, 930–936. [Google Scholar] [CrossRef] [PubMed]
- Bleeker, J.C.; Visser, G.; Wijburg, F.A.; Ferdinandusse, S.; Waterham, H.R.; Nikkels, P.G. Severe fat accumulation in multiple organs in pediatric autopsies: An uncommon but significant finding. Pediatr. Dev. Pathol. 2017, 20, 269–276. [Google Scholar] [CrossRef]
- Goyal, N.P.; Schwimmer, J.B. The progression and natural history of pediatric nonalcoholic fatty liver disease. Clin. Liver Dis. 2016, 20, 325–338. [Google Scholar] [CrossRef] [PubMed]
- Schwimmer, J.B.; Ugalde-Nicalo, P.; Welsh, J.A.; Angeles, J.E.; Cordero, M.; Harlow, K.E.; Alazraki, A.; Durelle, J.; Knight-Scott, J.; Newton, K.P.; et al. Effect of a low free sugar diet vs usual diet on nonalcoholic fatty liver disease in adolescent boys: A randomized clinical trial. JAMA 2019, 321, 256–265. [Google Scholar] [CrossRef] [PubMed]
- Schwimmer, J.B.; Newton, K.P.; Awai, H.I.; Choi, L.J.; Garcia, M.A.; Ellis, L.L.; Vanderwall, K.; Fontanesi, J. Paediatric gastroenterology evaluation of overweight and obese children referred from primary care for suspected non-alcoholic fatty liver disease. Aliment. Pharmacol. Ther. 2013, 38, 1267–1277. [Google Scholar] [CrossRef] [PubMed]
- Boyd, A.; Golding, J.; Macleod, J.; Lawlor, D.A.; Fraser, A.; Henderson, J.; Molloy, L.; Ness, A.; Ring, S.; Davey Smith, G. Cohort profile: The ‘children of the 90s’—The index offspring of the Avon Longitudinal Study of Parents and Children. Int. J. Epidemiol. 2013, 42, 111–127. [Google Scholar] [CrossRef]
- Fraser, A.; Macdonald-Wallis, C.; Tilling, K.; Boyd, A.; Golding, J.; Davey Smith, G.; Henderson, J.; Macleod, J.; Molloy, L.; Ness, A. Cohort profile: The Avon Longitudinal Study of Parents and Children: ALSPAC mothers cohort. Int. J. Epidemiol. 2012, 42, 97–110. [Google Scholar] [CrossRef]
- Northstone, K.; Lewcock, M.; Groom, A.; Boyd, A.; Macleod, J.; Timpson, N.; Wells, N. The Avon Longitudinal Study of Parents and Children (ALSPAC): An update on the enrolled sample of index children in 2019 [version 1; peer review: 2 approved]. Wellcome Open Res. 2019, 4, 51. [Google Scholar] [CrossRef]
- Harris, P.A.; Taylor, R.; Thielke, R.; Payne, J.; Gonzalez, N.; Conde, J.G. A metadata-driven methodology and workflow process for providing translational research informatics support. J. Biomed. Inform. 2009, 42, 377–381. [Google Scholar] [CrossRef]
- Harris, P.A.; Taylor, R.; Minor, B.L.; Elliott, V.; Fernandez, M.; O’Neal, L.; McLeod, L.; Delacqua, G.; Delacqua, F.; Kirby, J. The REDCap consortium: Building an international community of software platform partners. J. Biomed. Inform. 2019, 95, 103208. [Google Scholar] [CrossRef]
- Bristol, U.O. Explore Data and Samples. Available online: http://www.bristol.ac.uk/alspac/researchers/our-data/ (accessed on 6 December 2019).
- O’Keeffe, L.M.; Simpkin, A.J.; Tilling, K.; Anderson, E.L.; Hughes, A.D.; Lawlor, D.A.; Fraser, A.; Howe, L.D. Data on trajectories of measures of cardiovascular health in the Avon Longitudinal Study of Parents and Children (ALSPAC). Data Brief 2019, 23, 103687. [Google Scholar] [CrossRef]
- Prati, D.; Taioli, E.; Zanella, A.; Della Torre, E.; Butelli, S.; Del Vecchio, E.; Vianello, L.; Zanuso, F.; Mozzi, F.; Milani, S. Updated definitions of healthy ranges for serum alanine aminotransferase levels. Ann. Intern. Med. 2002, 137, 1–10. [Google Scholar] [CrossRef]
- Karlas, T.; Petroff, D.; Sasso, M.; Fan, J.; Mi, Y.; de Lédinghen, V.; Kumar, M.; Lupsor-Platon, M.; Han, K.; Cardoso, A.C. Individual patient data meta-analysis of controlled attenuation parameter (CAP) technology for assessing steatosis. J. Hepatol. 2017, 66, 1022–1030. [Google Scholar] [CrossRef] [PubMed]
- Wong, V.W.S.; Vergniol, J.; Wong, G.L.H.; Foucher, J.; Chan, H.L.Y.; Le Bail, B.; Choi, P.C.L.; Kowo, M.; Chan, A.W.H.; Merrouche, W. Diagnosis of fibrosis and cirrhosis using liver stiffness measurement in nonalcoholic fatty liver disease. Hepatology 2010, 51, 454–462. [Google Scholar] [CrossRef] [PubMed]
- National Heart, Lung, Blood Institute, & North American Association for the Study of Obesity. The Practical Guide: Identification, Evaluation, and Treatment of Overweight and Obesity in Adults; National Institutes of Health, National Heart, Lung, and Blood Institute: Bethesda, MD, USA, 2000.
- Bigornia, S.J.; LaValley, M.P.; Noel, S.E.; Moore, L.L.; Ness, A.R.; Newby, P.K. Sugar-sweetened beverage consumption and central and total adiposity in older children: A prospective study accounting for dietary reporting errors. Public Health Nutr. 2015, 18, 1155–1163. [Google Scholar] [CrossRef]
- Howe, L.D.; Tilling, K.; Galobardes, B.; Smith, G.D.; Ness, A.R.; Lawlor, D.A. Socioeconomic disparities in trajectories of adiposity across childhood. Int. J. Pediatr. Obes. 2011, 6, 144–153. [Google Scholar] [CrossRef] [PubMed]
- Association, A.P. Diagnostic and Statistical Manual of Mental Disorders (DSM-5®); American Psychiatric Pub.: Washington, DC, USA, 2013. [Google Scholar]
- Kriston, L.; Hölzel, L.; Weiser, A.-K.; Berner, M.M.; Härter, M. Meta-analysis: Are 3 Questions Enough to Detect Unhealthy Alcohol Use? Ann. Intern. Med. 2008, 149, 879–888. [Google Scholar] [CrossRef]
- Schwimmer, J.B.; Deutsch, R.; Kahen, T.; Lavine, J.E.; Stanley, C.; Behling, C. Prevalence of fatty liver in children and adolescents. Pediatrics 2006, 118, 1388–1393. [Google Scholar] [CrossRef]
- Bussler, S.; Vogel, M.; Pietzner, D.; Harms, K.; Buzek, T.; Penke, M.; Händel, N.; Körner, A.; Baumann, U.; Kiess, W. New pediatric percentiles of liver enzyme serum levels (alanine aminotransferase, aspartate aminotransferase, γ-glutamyltransferase): Effects of age, sex, body mass index, and pubertal stage. Hepatology 2018, 68, 1319–1330. [Google Scholar] [CrossRef]
- Ballestri, S.; Nascimbeni, F.; Baldelli, E.; Marrazzo, A.; Romagnoli, D.; Lonardo, A. NAFLD as a sexual dimorphic disease: Role of gender and reproductive status in the development and progression of nonalcoholic fatty liver disease and inherent cardiovascular risk. Adv. Ther. 2017, 34, 1291–1326. [Google Scholar] [CrossRef]
- Marinou, K.; Adiels, M.; Hodson, L.; Frayn, K.N.; Karpe, F.; Fielding, B.A. Young women partition fatty acids towards ketone body production rather than VLDL-TAG synthesis, compared with young men. Br. J. Nutr. 2011, 105, 857–865. [Google Scholar] [CrossRef]
- Lee, S.Y.; Sung, E.; Chang, Y. Elevated serum gamma-glutamyltransferase is a strong marker of insulin resistance in obese children. Int. J. Endocrinol. 2013, 2013, 95–113. [Google Scholar] [CrossRef]
- Abeysekera, K.W.; Fernandes, G.S.; Hammerton, G.; Portal, A.J.; Gordon, F.H.; Heron, J.; Hickman, M. Prevalence of steatosis and fibrosis in young adults in the UK: A population-based study. Lancet Gastroenterol. Hepatol. 2020, 5, 295–305. [Google Scholar] [CrossRef]
- Lawlor, D.A.; Callaway, M.; Macdonald-Wallis, C.; Anderson, E.; Fraser, A.; Howe, L.D.; Day, C.; Sattar, N. Nonalcoholic fatty liver disease, liver fibrosis, and cardiometabolic risk factors in adolescence: A cross-sectional study of 1874 general population adolescents. J. Clin. Endocrinol. Metab. 2014, 99, 410–417. [Google Scholar] [CrossRef] [PubMed]
- Ayonrinde, O.T.; Olynyk, J.K.; Marsh, J.A.; Beilin, L.J.; Mori, T.A.; Oddy, W.H.; Adams, L.A. Childhood adiposity trajectories and risk of nonalcoholic fatty liver disease in adolescents. J. Gastroenterol. Hepatol. 2015, 30, 163–171. [Google Scholar] [CrossRef] [PubMed]
- Leon, D.A.; McCambridge, J. Liver cirrhosis mortality rates in Britain from 1950 to 2002: An analysis of routine data. Lancet 2006, 367, 52–56. [Google Scholar] [CrossRef]
- Liskola, J.; Haravuori, H.; Lindberg, N.; Niemelä, S.; Karlsson, L.; Kiviruusu, O.; Marttunen, M. AUDIT and AUDIT-C as screening instruments for alcohol problem use in adolescents. Drug Alcohol Depend. 2018, 188, 266–273. [Google Scholar] [CrossRef] [PubMed]
- Fujii, H.; Nishimoto, N.; Yamaguchi, S.; Kurai, O.; Miyano, M.; Ueda, W.; Oba, H.; Aoki, T.; Kawada, N.; Okawa, K. The Alcohol Use Disorders Identification Test for Consumption (AUDIT-C) is more useful than pre-existing laboratory tests for predicting hazardous drinking: A cross-sectional study. BMC Public Health 2016, 16, 379. [Google Scholar] [CrossRef]
- Elizondo-Montemayor, L.; Ugalde-Casas, P.A.; Lam-Franco, L.; Bustamante-Careaga, H.; Serrano-González, M.; Gutiérrez, N.G.; Martínez, U. Association of ALT and the metabolic syndrome among Mexican children. Obes. Res. Clin. Pract. 2014, 8, 79–87. [Google Scholar] [CrossRef]
- Romeo, S.; Kozlitina, J.; Xing, C.; Pertsemlidis, A.; Cox, D.; Pennacchio, L.A.; Boerwinkle, E.; Cohen, J.C.; Hobbs, H.H. Genetic variation in PNPLA3 confers susceptibility to nonalcoholic fatty liver disease. Nat. Genet. 2008, 40, 1461. [Google Scholar] [CrossRef]



| Total (n = 1156) | Low (n = 899; 77.8%) | Mild/Moderate (n = 137; 11.9%) | Severe (n = 120; 10.4%) | p-Value | |
|---|---|---|---|---|---|
| Age | 24 (23, 35) | 24 (23, 25) | 24 (24, 24) | 24 (23, 25) | 0.751 |
| Sex | |||||
| Male | 479 (41.4) | 348 (38.7) | 65 (47.5) | 66 (55.0) | |
| Female | 677 (58.6) | 551 (61.3) | 72 (52.6) | 54 (45.0) | <0.001 |
| Ethnic Group | |||||
| White | 1041 (97.4) | 812 (97.8) | 124 (96.1) | 105 (95.5) | |
| Other | 28 (2.6) | 18 (2.2) | 5 (3.9) | 5 (4.6) | 0.086 |
| Mother’s education | |||||
| CSE/None | 111 (10.4) | 83 (10.0) | 17 (13.3) | 11 (11.5) | |
| Vocational | 70 (6.5) | 55 (6.6) | 10 (7.8) | 5 (4.5) | |
| O-level | 372 (34.8) | 280 (33.7) | 48 (37.5) | 44 (39.6) | |
| A-level | 327 (30.6) | 266 (32.0) | 32 (25.0) | 29 (26.1) | |
| Degree | 190 (17.8) | 147 (17.7) | 21 (16.4) | 22 (19.8) | |
| BMI, kg/m2 | 23.6 (21.2, 27.0) | 22.8 (20.7, 25.3) | 27.4 (24.5, 29.9) | 32.1 (28.5, 35.9) | 0.580 |
| BMI category | |||||
| Underweight/Normal | 659 (62.4) | 608 (73.2) | 42 (33.6) | 9 (9.0) | <0.001 |
| Overweight | 260 (24.6) | 178 (21.4) | 53 (42.4) | 29 (29.0) | |
| Obese | 137 (13.0) | 45 (5.4) | 30 (24.0) | 62 (62.0) | |
| CAP, dB/m | 204 (175, 242) | 193 (166, 213) | 261 (255, 270) | 313 (292.5, 343) | |
| Fibrosis, kPA | 4.6 (3.9, 5.5) | 4.6 (3.9, 5.4) | 4.5 (3.8, 5.4) | 5 (4, 6) | <0.001 |
| Any Fibrosis 3 | 29 (2.6) | 21 (2.4) | <5 2 | 6 (5.3) | |
| ALT, U/L | 20.7 (15.5, 30.0) | 19.6 (15.0, 27.9) | 20.8 (16.5, 30.8) | 35.2 (23.3, 64.0) | <0.001 |
| Elevated ALT | 437 (41.0) | 308 (36.8) | 52 (41.3) | 77 (75.5) | 0.015 |
| AST, U/L | 23.9 (20.5, 29.3) | 23.4 (20.3, 28.6) | 24.4 (20.0, 28.5) | 29.3 (23.9, 36.7) | 0.175 |
| GGT, U/L | 15.0 (12.0, 21.0) | 15.0 (12.0, 19.0) | 17.0 (13.0, 22.0) | 23.5 (16.0, 35.0) | <0.001 |
| Cholesterol, mmol/L | 4.3 (3.8, 4.9) | 4.3 (3.8, 4.9) | 4.2 (3.9, 4.9) | 4.6 (4.1, 5.2) | <0.001 |
| Triglycerides, mmol/L | 0.8 (0.6, 1.1) | 0.8 (0.6, 1.1) | 0.9 (0.7, 1.2) | 1.1 (0.8, 1.9) | <0.001 |
| HDL, mmol/L | 1.5 (1.2, 1.7) | 1.5 (1.3, 1.8) | 1.4 (1.1, 1.6) | 1.1 (1, 1.4) | <0.001 |
| LDL, mmol/L | 2.4 (1.9, 2.9) | 2.4 (1.9, 2.9) | 2.4 (2.2, 3.2) | 2.8 (2.3, 3.2) | 0.004 |
| VLDL, mmol/L | 0.4 (0.3, 0.5) | 0.4 (0.3, 0.5) | 0.4 (0.3, 0.5) | 0.5 (0.4, 0.8) | <0.001 |
| Insulin, mu/L | 7.7 (5.4, 11.3) | 7 (5, 9.7) | 10.8 (7.2, 15.2) | 16.6 (10.8, 25.1) | <0.001 |
| Glucose, mmol/L | 5.3 (5.0, 5.6) | 5.3 (5, 5.6) | 5.4 (5.1, 5.7) | 5.5 (5.3, 5.8) | <0.001 |
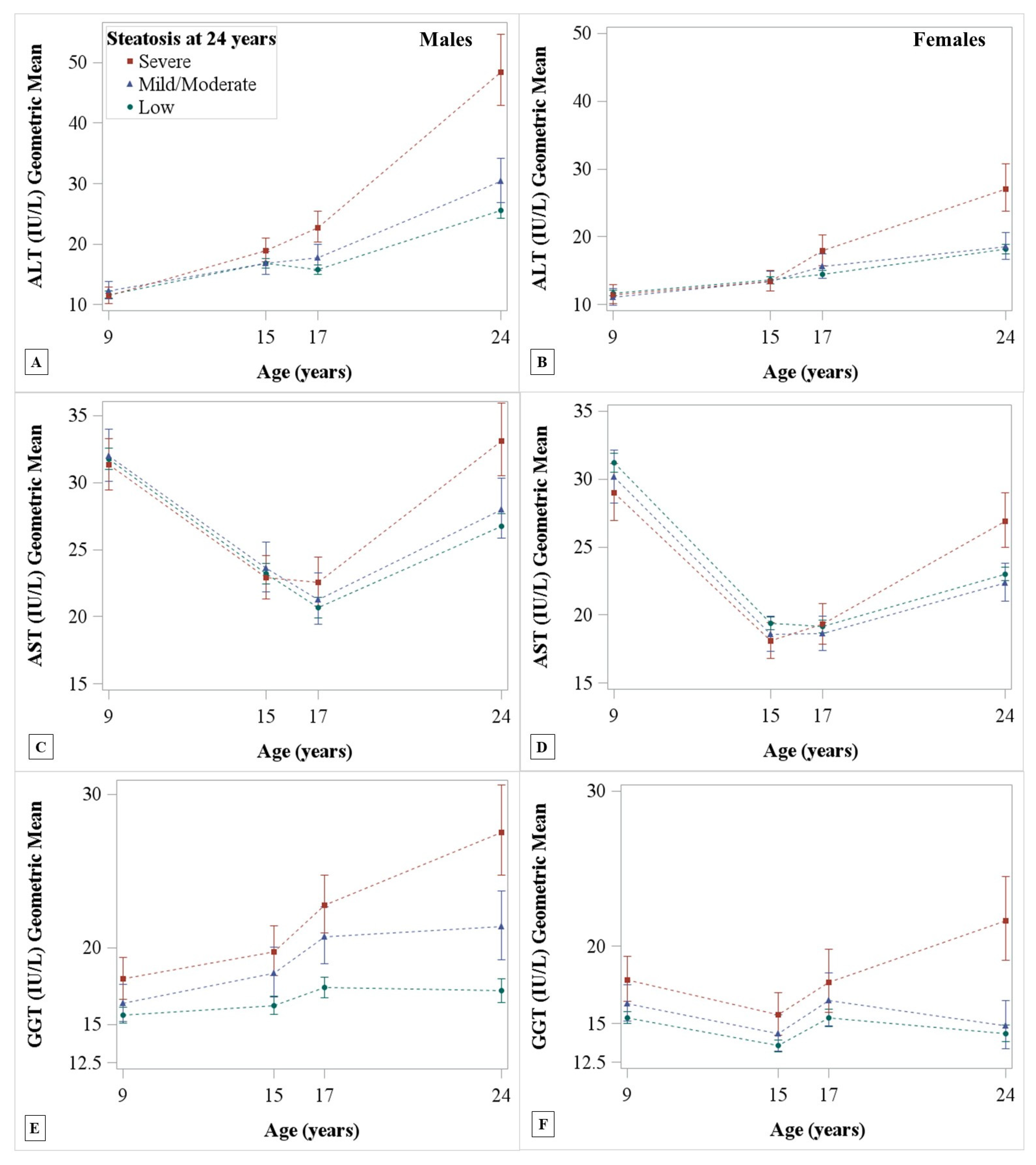
| 9 Years | 15 Years | 17 Years | 24 Years | p-Value | |
|---|---|---|---|---|---|
| Hepatic Steatosis | ALT, U/L | ||||
| Males | <0.001 | ||||
| Low | 11.8 (9.0, 15.3) | 16.9 (13.5, 20.6) | 15.0 (12.3, 20.6) | 24.4 (18.2, 32.8) | |
| Mild/Moderate | 11.8 (8.5, 16.0) | 17.5 (14.1, 22.7) | 17.7 (13.0, 21.2) | 28.2 (20.6, 39.7) | |
| Severe | 11.9 (8.8, 14.0) | 17.9 (14.2, 23.5) | 22.6 (15.3, 30.4) | 46.8 (34.6, 73.3) | |
| Females | <0.001 | ||||
| Low | 11.7 (9.2, 14.8) | 13.5 (10.6, 17.0) | 13.7 (11.1, 17.2) | 17.2 (13.4, 23.0) | |
| Mild/Moderate | 11.2 (8.8, 13.9) | 13.8 (10.9, 16.1) | 14.5 (11.3, 20.1) | 16.9 (14.7, 23.6) | |
| Severe | 12.0 (8.6, 15.0) | 13.1 (9.9, 19.2) | 15.9 (12.3, 27.2) | 25.4 (17.9, 32.9) | |
| AST, U/L | |||||
| Males | <0.001 | ||||
| Low | 32.1 (28.4, 35.6) | 22.9 (19.6, 26.9) | 20.2 (17.2, 23.4) | 26.1 (21.7, 31.2) | |
| Mild/Moderate | 30.8 (28.0, 34.2) | 23.1 (20.8, 29.4) | 20.5 (17.5, 27.1) | 26.5 (24.1, 31.6) | |
| Severe | 32.0 (28.2, 35.3) | 22.9 (19.9, 27.4) | 21.7 (18.2, 25.6) | 33.8 (25.9, 38.7) | |
| Females | <0.001 | ||||
| Low | 30.5 (27.1, 34.7) | 19.5 (17.2, 22.0) | 18.6 (16.2, 22.0) | 22.2 (19.5, 26.0) | |
| Mild/Moderate | 29.4 (27.1, 33.3) | 18.5 (16.4, 21.7) | 17.8 (15.5, 22.2) | 21.9 (18.9, 26.0) | |
| Severe | 29.1 (25.8, 32.2) | 19.2 (15.7, 22.3) | 17.6 (16.6, 21.9) | 25.5 (22.2, 31.3) | |
| GGT, U/L | |||||
| Males | <0.001 | ||||
| Low | 15.0 (14.0, 18.0) | 16.0 (14.0, 18.0) | 17.0 (14.0, 21.0) | 16.0 (14.0, 21.0) | |
| Mild/Moderate | 17.0 (14.0, 22.0) | 17.0 (15.0, 23.0) | 21.0 (16.0, 25.0) | 20.5 (15.0, 30.5) | |
| Severe | 17.0 (14.0, 22.0) | 19.0 (16.0, 23.0) | 21.0 (16.0, 32.0) | 27.0 (19.0, 38.0) | |
| Females | 0.002 | ||||
| Low | 15.0 (13.0, 18.0) | 14.0 (11.0, 16.0) | 14.0 (12.0, 18.0) | 14.0 (11.0, 18.0) | |
| Mild/Moderate | 16.0 (14.0, 20.0) | 14.0 (12.0, 19.0) | 17.0 (13.0, 22.0) | 14.0 (12.0, 18.0) | |
| Severe | 18.0 (14.0, 22.0) | 14.0 (12.0, 19.0) | 17.0 (13.0, 20.0) | 19.0 (14.0, 31.0) | |
| Males (n = 479) | Females (n = 677) | |||
|---|---|---|---|---|
| ALT | Unadjusted | Fully Adjusted 2 | Unadjusted | Fully Adjusted 2 |
| 9 years | 1.02 (0.82, 1.27) | 1.15 (0.90, 1.48) | 1.02 (0.82, 1.26) | 1.13 (0.89, 1.44) |
| 15 years | 0.89 (0.74, 1.07) | 1.01 (0.81, 1.26) | 1.01 (0.83, 1.24) | 1.15 (0.91, 1.45) |
| 17 years | 0.69 (0.57, 0.85) | 0.8 (0.64, 1.01) | 0.81 (0.65, 1.01) | 1.01 (0.79, 1.29) |
| 24 years | 0.53 (0.42, 0.66) | 0.63 (0.5, 0.81) | 0.67 (0.54, 0.84) | 0.75 (0.59, 0.96) |
| AST | ||||
| 9 years | 1.01 (0.91, 1.13) | 1.03 (0.91, 1.18) | 1.08 (0.95, 1.22) | 1.08 (0.93, 1.24) |
| 15 years | 1.01 (0.89, 1.15) | 1.02 (0.88, 1.19) | 1.07 (0.94, 1.22) | 1.02 (0.88, 1.18) |
| 17 years | 0.92 (0.79, 1.06) | 0.93 (0.79, 1.10) | 0.99 (0.87, 1.13) | 1.02 (0.88, 1.18) |
| 24 years | 0.81 (0.70, 0.94) | 0.86 (0.72, 1.01) | 0.86 (0.75, 0.97) | 0.84 (0.73, 0.97) |
| GGT | ||||
| 9 years | 0.87 (0.76, 1.00) | 1.01 (0.86, 1.18) | 0.86 (0.75, 0.99) | 1.00 (0.85, 1.18) |
| 15 years | 0.82 (0.71, 0.96) | 0.99 (0.85, 1.16) | 0.87 (0.75, 1.02) | 0.99 (0.82, 1.19) |
| 17 years | 0.76 (0.66, 0.89) | 0.90 (0.75, 1.07) | 0.87 (0.71, 1.07) | 1.03 (0.82, 1.30) |
| 24 years | 0.62 (0.51, 0.76) | 0.73 (0.59, 0.89) | 0.66 (0.53, 0.83) | 0.77 (0.61, 0.98) |
© 2020 by the authors. Licensee MDPI, Basel, Switzerland. This article is an open access article distributed under the terms and conditions of the Creative Commons Attribution (CC BY) license (http://creativecommons.org/licenses/by/4.0/).
Share and Cite
Sekkarie, A.; Welsh, J.A.; Northstone, K.; Cioffi, C.E.; Stein, A.D.; Figueroa, J.; Ramakrishnan, U.; Vos, M.B. ALT Trends through Childhood and Adolescence Associated with Hepatic Steatosis at 24 Years: A Population-Based UK Cohort Study. Children 2020, 7, 117. https://doi.org/10.3390/children7090117
Sekkarie A, Welsh JA, Northstone K, Cioffi CE, Stein AD, Figueroa J, Ramakrishnan U, Vos MB. ALT Trends through Childhood and Adolescence Associated with Hepatic Steatosis at 24 Years: A Population-Based UK Cohort Study. Children. 2020; 7(9):117. https://doi.org/10.3390/children7090117
Chicago/Turabian StyleSekkarie, Ahlia, Jean A. Welsh, Kate Northstone, Catherine E. Cioffi, Aryeh D. Stein, Janet Figueroa, Usha Ramakrishnan, and Miriam B. Vos. 2020. "ALT Trends through Childhood and Adolescence Associated with Hepatic Steatosis at 24 Years: A Population-Based UK Cohort Study" Children 7, no. 9: 117. https://doi.org/10.3390/children7090117
APA StyleSekkarie, A., Welsh, J. A., Northstone, K., Cioffi, C. E., Stein, A. D., Figueroa, J., Ramakrishnan, U., & Vos, M. B. (2020). ALT Trends through Childhood and Adolescence Associated with Hepatic Steatosis at 24 Years: A Population-Based UK Cohort Study. Children, 7(9), 117. https://doi.org/10.3390/children7090117

