Efficacy, Feasibility, and Utility of a Mental Health Consultation Mobile Application in Early Care and Education Programs
Abstract
1. Introduction
2. Materials and Methods
2.1. Participants
2.2. Procedures
2.2.1. JS Go Intervention
2.2.2. Matched–Control. Traditional Jump Start
2.2.3. Consultant Training
2.3. Measures
2.3.1. Sociodemographic Characteristics
2.3.2. Teacher Measures
2.3.3. Teacher Technology Acceptability of JS Go App Measures
2.3.4. Child Measures
2.4. Data Analysis
2.4.1. Quantitative Analysis
2.4.2. Qualitative Analysis
3. Results
3.1. Teacher Outcomes
3.1.1. Teacher Characteristics
3.1.2. Teacher Descriptive Outcomes at Baseline and Follow-Up
3.1.3. Teacher Intervention Effects from ANCOVA Models
3.2. Child Outcomes
3.2.1. Child Characteristics
3.2.2. Descriptive Statistics of Child Outcomes
3.2.3. GEE Analysis of Child Outcomes
3.3. Teacher Acceptability Ratings of JS Go App
3.4. Rapid Qualitative Analysis of Staff Perceptions of JS Go App Feasibility
- Theme 1: JS Go App as a Practical and Motivating Tool with Accessibility Gaps
I would like it to be an app that can be downloaded and that offers more resources. Resources that can be taught directly to the children, things we can incorporate into the lesson plan, or in circle time. Having the app be more interactive and easier to have on hand on my phone.
- Theme 2: The MHC’s Role in Facilitating Reflective Practices
- Theme 3: Staff Self-Efficacy in Implementing Program Pillars
- Theme 4: Opportunities to Strengthen Parent Involvement
I think it would be a kind of support for them because they can consult any doubts, and it is like when you consult artificial intelligence. It gives you that immediate response, with a database that is exactly related to what we are looking for with children. So yes, I think it would be a support because sometimes parents might feel like, “Oh, I am not doing a good job as a mom or dad”, but they do not want to say it out loud. So, the app feels more private, and they can consult it.
- Theme 5: Organizational Supports and Incentives Needed to Sustain JS Go
4. Discussion
Limitations and Future Directions
5. Conclusions
Author Contributions
Funding
Institutional Review Board Statement
Informed Consent Statement
Data Availability Statement
Acknowledgments
Conflicts of Interest
Abbreviations
| AI | Artificial intelligence |
| ANCOVA | Analysis of covariance |
| CWJSI | Childcare Worker Job Stress Inventory |
| DECA | Devereux Early Childhood Assessment |
| ECE | Early care and education |
| FF-TAM | Technology Acceptance Model Instrument-Fast Form |
| GEE | Generalized estimating equation |
| HERS-C | Health Environment Rating Scale-Classroom |
| IECMHC | Infant and early childhood mental health consultation |
| JS | Jump Start |
| JS Go | Jump Start on the Go |
| MARS | Mobile App Rating Scale |
| MAUQ | mHealth App Usability Questionnaire |
| MHC | Mental health consultant |
| REDCap | Research Electronic Data Capture |
| RQA | Rapid qualitative analysis |
| SDQ | Strengths and Difficulties Questionnaire |
| TPF | Total Protective Factors |
References
- Saitadze, I.; Lalayants, M. Mechanisms that mitigate the effects of child poverty and improve children’s cognitive and social–emotional development: A systematic review. Child Fam. Soc. Work. 2021, 26, 289–308. [Google Scholar] [CrossRef]
- Harding, J.F.; Paulsell, D. Improving Access to Early Care and Education: An Equity-Focused Policy Research Agenda; Mathematica Policy Research: Princeton, NJ, USA, 2018. [Google Scholar]
- Hartman, S.; Winsler, A.; Manfra, L. Behavior concerns among low-income, ethnically and linguistically diverse children in child care: Importance for school readiness and kindergarten achievement. Early Educ. Dev. 2017, 28, 255–273. [Google Scholar] [CrossRef]
- Gilliam, W.S.; Shahar, G. Preschool and child care expulsion and suspension: Rates and predictors in one state. Infants Young Child. 2006, 19, 228–245. [Google Scholar] [CrossRef]
- Gilliam, W.S. Prekindergarteners Left Behind: Expulsion Rates in State Prekindergarten Systems; Foundation for Child Development: New York, NY, USA, 2005. [Google Scholar]
- Albritton, K.; Mathews, R.E.; Anhalt, K. Systematic review of early childhood mental health consultation: Implications for improving preschool discipline disproportionality. J. Educ. Psychol. Consult. 2019, 29, 444–472. [Google Scholar] [CrossRef]
- Natale, R.; Kolomeyer, E.; Futterer, J.; Mahmoud, F.D.; Schenker, M.; Robleto, A.; Horen, N.; Spector, R. Infant and early childhood mental health consultation in a diverse metropolitan area. Infant Ment. Health J. 2022, 43, 440–454. [Google Scholar] [CrossRef]
- Futterer, J.; Mullins, C.; Bulotsky-Shearer, R.J.; Guzmán, E.; Hildago, T.; Kolomeyer, E.; Howe, E.; Horen, N.; Sanders, L.M.; Natale, R. Initial validation of the Health Environment Rating Scale-Early Childhood Consultation-Classroom (HERS-ECC-C). Infant Ment. Health J. 2024, 45, 449–463. [Google Scholar] [CrossRef]
- Natale, R.; Davidson, B.; Woody, M.; Kolomeyer, E.; Mahmoud, F.D.; Valledor, V.; Hidalgo-Ferrer, T.; Schenker, M.; Robleto, A.; Spector, R. A model of care for delivering supports to childcare providers during the COVID-19 pandemic. Res. Sq. 2020. [Google Scholar] [CrossRef]
- Collie, R.J. COVID-19 and teachers’ somatic burden, stress, and emotional exhaustion: Examining the role of principal leadership and workplace buoyancy. AERA Open 2021, 7, 1. [Google Scholar] [CrossRef]
- Cipriano, C.; Rappolt-Schlichtmann, G.; Brackett, M.A. Supporting School Community Wellness with Social and Emotional Learning (SEL) During and After a Pandemic; Edna Bennet Pierce Prevention Research Center, Pennsylvania State University: University Park, PA, USA, 2020. [Google Scholar]
- Khaddage, F.; Müller, W.; Flintoff, K. Advancing mobile learning in formal and informal settings via mobile app technology: Where to from here, and how? J. Educ. Technol. Soc. 2016, 19, 16–26. [Google Scholar]
- Cunningham, M.A.; Gorman, C.; McNulty, M.C.; Chavez, C.; Luna-Asturias, C.; Dixon, C.A.; Bull, S.; Berman, S.; Allison, M.A. Engage, develop, learn: A pilot randomized clinical trial to test if a mobile application can enhance home support for early cognitive development among children living in poverty. mHealth 2023, 9, 4. [Google Scholar] [CrossRef]
- Liverpool, S.; Mota, C.P.; Sales, C.M.; Čuš, A.; Carletto, S.; Hancheva, C.; Sousa, S.; Cerón, S.C.; Moreno-Peral, P.; Pietrabissa, G.; et al. Engaging children and young people in digital mental health interventions: Systematic review of modes of delivery, facilitators, and barriers. J. Med. Internet Res. 2020, 22, e16317. [Google Scholar] [CrossRef] [PubMed]
- MacKinnon, A.L.; Silang, K.; Penner, K.; Zalewski, M.; Tomfohr-Madsen, L.; Roos, L.E. Promoting mental health in parents of young children using eHealth interventions: A systematic review and meta-analysis. Clin. Child Fam. Psychol. Rev. 2022, 25, 413–434. [Google Scholar] [CrossRef] [PubMed]
- Hatzigianni, M.; Stephenson, T.; Harrison, L.J.; Waniganayake, M.; Li, P.; Barblett, L.; Hadley, F.; Andrews, R.; Davis, B.; Irvine, S. The role of digital technologies in supporting quality improvement in Australian early childhood education and care settings. Int. J. Child Care Educ. Policy 2023, 17, 5. [Google Scholar] [CrossRef]
- Lee, J.; Su, Z.; Chen, Y. Mobile apps for children’s health and wellbeing: Design features and future opportunities. AMIA Annu. Symp. Proc. 2024, 2023, 1027–1036. [Google Scholar]
- McGuire, S.N.; Folkerts, R.; Richards, C.; Meadan, H.; Alqunaysi, R.; Yoon, C.D. Early childhood teachers’ use of an FBA iOS app to support students who engage in challenging behaviour: A pilot study. Technol. Pedag. Educ. 2024, 34, 105–119. [Google Scholar] [CrossRef]
- Natale, R.; Howe, E.; Kenworthy LaMarca, T.; St. George, S.M.; Raphael, J.; Schenker, M.; Velasquez, C.; Agosto, Y.; Guzman-Garcia, E.; Granja, K.; et al. Using the RE-AIM Framework to Understand the Role of Program Champions in Sustaining an Infant and Early Childhood Mental Health Intervention: A Qualitative Analysis. Int. J. Child Care Educ. Policy, 2024; under review. [Google Scholar]
- Natale, R.; Howe, E.; Velasquez, C.; Guzman Garcia, E.; Granja, K.; Caceres, B.; Erban, E.; Ramirez, T.; Jent, J. Co-designing an infant early childhood mental health mobile app for early care and education teachers: A community-based participatory approach. JMIR Form. Res. 2025, 9, e66714. [Google Scholar] [CrossRef] [PubMed]
- Harris, P.A.; Taylor, R.; Thielke, R.; Payne, J.; Gonzalez, N.; Conde, J.G. Research electronic data capture (REDCap): A metadata-driven methodology and workflow process for providing translational research informatics support. J. Biomed. Inform. 2009, 42, 377–381. [Google Scholar] [CrossRef]
- Natale, R.; Agosto, Y.; Bulotsky Shearer, R.J.; St. George, S.M.; Jent, J. Designing a virtual mental health consultation program to support and strengthen childcare centers impacted by COVID-19: A randomized controlled trial protocol. Contemp. Clin. Trials 2023, 124, 107022. [Google Scholar] [CrossRef]
- Glasgow, R.E.; Battaglia, C.; McCreight, M.; Ayele, R.; Maw, A.M.; Fort, M.P.; Holtrop, J.S.; Gomes, R.N.; Rabin, B.A. Use of the reach, effectiveness, adoption, implementation, and maintenance (RE-AIM) framework to guide iterative adaptations: Applications, lessons learned, and future directions. Front. Health Serv. 2022, 2, 959565. [Google Scholar] [CrossRef]
- Hunter, A.; Davis, A.; Perry, D.F.; Jones, W. The Georgetown Model of Early Childhood Mental Health Consultation for School-Based Settings; Georgetown University Center for Child and Human Development: Washington, DC, USA, 2016. [Google Scholar]
- American Academy of Pediatrics; American Public Health Association; National Resource Center for Health and Safety in Child Care and Early Education. Caring for Our Children: National Health and Safety Performance Standards; Guidelines for Early Care and Education Programs, 4th ed.; American Academy of Pediatrics: Itasca, IL, USA, 2019. [Google Scholar]
- National Center for Immunization and Respiratory Diseases (U.S.), Division of Viral Diseases. Guidance for Operating Child Care Programs During COVID-19. Centers for Disease Control and Prevention. 2021. Available online: https://stacks.cdc.gov/view/cdc/107006 (accessed on 16 May 2025).
- Hemmeter, M.L.; Barton, E.; Fox, L.; Vatland, C.; Henry, G.; Pham, L.; Horth, K.; Taylor, A.; Binder, D.P.; von der Embse, M.; et al. Program-wide implementation of the Pyramid Model: Supporting fidelity at the program and classroom levels. Early Child. Res. Q. 2022, 59, 56–73. [Google Scholar] [CrossRef]
- Curbow, B.; Spratt, K.; Ungaretti, A.; McDonnell, K.; Breckler, S. Development of the child care worker job stress inventory. Early Child. Res. Q. 2000, 15, 515–536. [Google Scholar] [CrossRef]
- Natale, R.; Kenworthy LaMarca, T.; Pan, Y.; Howe, E.; Agosto, Y.; Bulotsky-Shearer, R.J.; St. George, S.M.; Rahman, T.; Velasquez, C.; Jent, J. Strengthening early childhood protective factors through safe and supportive classrooms: Findings from Jump Start+COVID Support. Children 2025, 12. [Google Scholar] [CrossRef]
- Gellar, S.; Lynch, K. Teacher Opinion Survey Revised; Virginia Commonwealth University Intellectual Property Foundation and Wingspan, LLC.: Richmond, VA, USA, 1999. [Google Scholar]
- Sinclair, V.G.; Wallston, K.A. The development and psychometric evaluation of the Brief Resilient Coping Scale. Assessment 2004, 11, 94–101. [Google Scholar] [CrossRef]
- Chin, W.W.; Johnson, N.; Schwarz, A. A fast form approach to measuring technology acceptance and other constructs. MIS Q. 2008, 32, 687–703. [Google Scholar] [CrossRef]
- Zhou, L.; Bao, J.; Setiawan, I.M.A.; Saptono, A.; Parmanto, B. The mHealth App Usability Questionnaire (MAUQ): Development and validation study. JMIR mHealth uHealth 2019, 7, e11500. [Google Scholar] [CrossRef]
- Stoyanov, S.R.; Hides, L.; Kavanagh, D.J.; Zelenko, O.; Tjondronegoro, D.; Mani, M. Mobile app rating scale: A new tool for assessing the quality of health mobile apps. JMIR mHealth uHealth 2015, 3, e27. [Google Scholar] [CrossRef] [PubMed]
- Mackrain, M.; LeBuffe, P.; Powell, G. Devereux Early Childhood Assessment for Infants and Toddlers; Kaplan Early Learning Company: Lewisville, NC, USA, 2007. [Google Scholar]
- LeBuffe, P.A.; Naglieri, J.A. The Devereux Early Childhood Assessment for Preschoolers, Second Edition (DECA-P2) Assessment, Technical Manual and User’s Guide; Kaplan: Lewisville, NC, USA, 2012. [Google Scholar]
- LeBuffe, P.A.; Naglieri, J.A. The Devereux Early Childhood Assessment (DECA): A measure of within-child protective factors in preschool children. NHSA Dialog 1999, 3, 75–80. [Google Scholar] [CrossRef]
- Naglieri, J.A.; LeBuffe, P.A.; Shapiro, V.B. Assessment of social-emotional competencies related to resilience. In Handbook of Resilience in Children; Goldstein, S., Brooks, R.B., Eds.; Springer: Berlin/Heidelberg, Germany, 2013; pp. 215–225. [Google Scholar]
- Crane, J.; Mincic, M.S.; Winsler, A. Parent–teacher agreement and the reliability of the Devereux Early Childhood Assessment (DECA) for English-and Spanish-speaking, ethnically diverse children living in poverty. In Self-Regulation and Early School Success, 1st ed.; Routledge: Oxfordshire, UK, 2013; pp. 115–129. [Google Scholar]
- Goodman, R. The Strengths and Difficulties Questionnaire: A research note. J. Child Psychol. Psychiatry 1997, 38, 581–586. [Google Scholar] [CrossRef]
- SAS Institute Inc. SAS/STAT 9.4 User’s Guide; SAS Institute Inc.: Cary, NC, USA, 2013. [Google Scholar]
- R Core Team. R: A Language and Environment for Statistical Computing; R Foundation for Statistical Computing: Vienna, Austria, 2024. [Google Scholar]
- Hamilton, A.B. Qualitative Methods in Rapid Turn-Around Health Services Research. U.S. Department of Veterans Affairs. 2013. Available online: https://www.hsrd.research.va.gov/for_researchers/cyber_seminars/archives/video_archive.cfm?SessionID=780 (accessed on 16 May 2025).
- Hamilton, A.B.; Finley, E.P. Qualitative methods in implementation research: An introduction. Psychiatry Res. 2019, 280, 112516. [Google Scholar] [CrossRef]
- Hamilton, A.B. Rapid Qualitative Analysis: Updates/Developments. U.S. Department of Veterans Affairs. 2020. Available online: https://www.hsrd.research.va.gov/for_researchers/cyber_seminars/archives/video_archive.cfm?SessionID=3846 (accessed on 16 May 2025).
- Kowalski, C.P.; Nevedal, A.L.; Finley, E.P.; Young, J.P.; Lewinski, A.A.; Midboe, A.M.; Hamilton, A.B. Planning for and assessing rigor in rapid qualitative analysis (PARRQA): A consensus-based framework for designing, conducting, and reporting. Implement. Sci. 2024, 19, 71. [Google Scholar] [CrossRef]
- St. George, S.M.; Harkness, A.R.; Rodriguez-Diaz, C.E.; Weinstein, E.R.; Pavia, V.; Hamilton, A.B. Applying rapid qualitative analysis for health equity: Lessons learned using “EARS” with Latino communities. Int. J. Qual. Methods 2023, 22, 16094069231164938. [Google Scholar] [CrossRef] [PubMed]
- Natale, R.; Bailey, J.; Kolomeyer, E.; Futterer, J.; Schenker, M.; Bulotsky-Shearer, R. Early childhood teacher workplace stress and classroom practices. J. Early Child. Teach. Educ. 2023, 44, 897–914. [Google Scholar] [CrossRef]
- Gilliam, W.S.; Maupin, A.N.; Reyes, C.R. Early childhood mental health consultation: Results of a statewide random-controlled evaluation. J. Am. Acad. Child Adolesc. Psychiatry 2016, 55, 754–761. [Google Scholar] [CrossRef] [PubMed]
- Williams, P.G.; Yogman, M.; Sells, J.; Alderman, S.; Bauer, N.; Hashikawa, A.; Guevara, J.; Navsaria, D.; Nelson, B.; Peacock, G.; et al. Addressing early education and child care expulsion. Pediatrics 2023, 152, e2023064049. [Google Scholar] [CrossRef]


Q1: [Effectiveness and Implementation] Tell me about your experience with the JS Go program?
|
Q2: [Effectiveness] How do you think parents can use the JS Go information?
|
| Q3: [Effectiveness] Tell me how confident you feel in your role as the JS Go director/teacher? |
Q4: [Effectiveness and Adoption] Tell me about your experience working with your consultant around
|
Q5: [Implementation] Tell me about your experience implementing
|
Q6: [Maintenance] What do you need to maintain the JS Go program, specifically using the app on a regular basis, and use of the strategies in your center?
|
Q7: [Maintenance] After reviewing the app’s gaming feature screenshots,
|
| Q8: [Adoption] How interested would other staff in your center be in being a part of the JS Go program/working with the mental health consultant and using the app on a regular basis? |
Q9: [Implementation] How well do you think your center is addressing the following:
|
Q10: [Implementation] What strategies do you think you can use to continue making improvements in
|
| Variable | JS Go (n = 6) | JS (n = 22) | Test Statistic | p-Value |
|---|---|---|---|---|
| Age (years)—M (SD) | 47.63 (8.52) | 51.01 (11.95) | F(1,26) = 0.42 | 0.524 |
| Gender | N/A | N/A | ||
| Female | 6 (100.0%) | 22 (100.0%) | ||
| Race | Χ2(4) = 3.06 | 0.549 | ||
| White | 6 (100.0%) | 14 (63.6%) | ||
| Black | 0 (0.0%) | 4 (18.2%) | ||
| Native American | 0 (0.0%) | 1 (4.5%) | ||
| Multiracial | 0 (0.0%) | 1 (4.5%) | ||
| Other | 0 (0.0%) | 2 (9.1%) | ||
| Ethnicity | N/A | N/A | ||
| Hispanic | 6 (100.0%) | 22 (100.0%) | ||
| Primary Language | N/A | N/A | ||
| Spanish | 6 (100.0%) | 22 (100.0%) | ||
| Education Level | χ2(4) = 8.96 | 0.062 | ||
| High School/GED | 4 (66.7%) | 2 (10.0%) | ||
| Some College | 0 (0.0%) | 1 (5.0%) | ||
| Associate Degree | 0 (0.0%) | 2 (10.0%) | ||
| Bachelor’s Degree | 2 (33.3%) | 11 (55.0%) | ||
| Graduate Degree | 0 (0.0%) | 4 (20.0%) | ||
| Completed Intervention | χ2(2) = 1.37 | 0.505 | ||
| Yes | 5 (83.3%) | 14 (63.6%) | ||
| No | 0 (0%) | 4 (18.2%) | ||
| Withdrew | 1 (16.7%) | 4 (18.2%) | ||
| Number of Consults for Completers M (SD) | 13.50 (1.23) | 11.80 (2.15) | F(1,19) = 3.27 | 0.086 |
| Experience (years)—M (SD) | 6.56 (8.64) | 9.76 (11.40) | F(1,24) = 0.40 | 0.533 |
| Outcome | JS Go | JS | ||||
|---|---|---|---|---|---|---|
| Baseline Mean (SE) | Follow-Up Mean (SE) | Change | Baseline Mean (SE) | Follow-Up Mean (SE) | Change | |
| HERS-C Safety | 4.58 (0.20) | 5.00 (0.18) | 0.42 | 4.98 (0.27) | 5.29 (0.57) | 0.31 |
| HERS-C Behavior | 4.55 (0.19) | 5.00 (0.29) | 0.45 | 4.36 (0.54) | 4.50 (0.43) | 0.14 |
| HERS-C Communication | 4.00 (0.00) | 4.30 (0.45) | 0.3 | 4.36 (0.41) | 4.43 (0.55) | 0.07 |
| HERS-C Resiliency | 3.33 (0.52) | 4.60 (0.55) | 1.27 | 3.50 (1.16) | 3.93 (0.27) | 0.43 |
| Brief Resiliency Coping | 18.33 (1.86) | 17.00 (1.79) | −1.33 | 18.05 (2.34) | 17.86 (2.38) | −0.19 |
| Teacher Opinion Survey | 48.00 (5.51) | 46.17 (2.93) | −1.83 | 44.76 (5.51) | 45.79 (5.16) | 1.03 |
| CW Job Demands | 2.78 (0.42) | 2.74 (0.34) | −0.04 | 2.55 (0.99) | 3.36 (0.58) | 0.81 |
| CW Job Resources | 4.69 (0.42) | 4.54 (0.34) | −0.15 | 4.48 (0.99) | 4.45 (0.37) | −0.03 |
| CW Job Control | 3.63 (0.79) | 3.06 (0.39) | −0.57 | 3.46 (0.89) | 3.06 (0.67) | −0.4 |
| Outcome | β (JS Go vs. JS) | SE | p-Value |
|---|---|---|---|
| HERS-C Safety | −0.39 | 0.15 | 0.0506 |
| HERS-C Behavior | 0.33 | 0.13 | 0.0474 |
| HERS-C Communication | −0.49 | 0.21 | 0.07 |
| HERS-C Resiliency | 0.68 | 0.32 | 0.0876 |
| Brief Resiliency Coping | −0.91 | 0.65 | 0.2226 |
| Teacher Opinion Survey | −1.35 | 2.01 | 0.5331 |
| CW Job Demands | −0.6 | 0.12 | 0.0041 |
| CW Job Resources | −0.03 | 0.15 | 0.8272 |
| CW Job Control | −0.07 | 0.24 | 0.7904 |
| Characteristic | JS Go (n = 57) | JS (n = 57) | Total (N = 114) | p-Value |
|---|---|---|---|---|
| Age in years, M (SD) | 3.70 (0.73) | 3.83 (0.91) | 3.76 (0.82) | 0.436 |
| Gender, n (%) | 0.348 | |||
| Female | 28 (49.1%) | 33 (57.9%) | 61 (53.5%) | |
| Male | 29 (50.9%) | 24 (42.1%) | 53 (46.5%) | |
| Race, n (%) | 0.023 * | |||
| White | 47 (88.7%) | 41 (82.0%) | 88 (85.4%) | |
| Black | 0 (0.0%) | 4 (8.0%) | 4 (3.9%) | |
| Native American | 2 (3.8%) | 2 (4.0%) | 4 (3.9%) | |
| Multiracial | 4 (7.5%) | 0 (0.0%) | 4 (3.9%) | |
| Other | 0 (0.0%) | 3 (6.0%) | 3 (2.9%) | |
| Ethnicity, n (%) | 0.378 | |||
| Hispanic | 50 (94.3%) | 47 (88.7%) | 97 (91.5%) | |
| Non-Hispanic White | 2 (3.8%) | 2 (3.8%) | 4 (3.8%) | |
| Haitian | 0 (0.0%) | 3 (5.7%) | 3 (2.8%) | |
| Other | 1 (1.9%) | 1 (1.9%) | 2 (1.9%) | |
| English proficient, n (%) | 0.616 | |||
| No | 25 (47.2%) | 22 (42.3%) | 47 (44.8%) | |
| Yes | 28 (52.8%) | 30 (57.7%) | 58 (55.2%) |
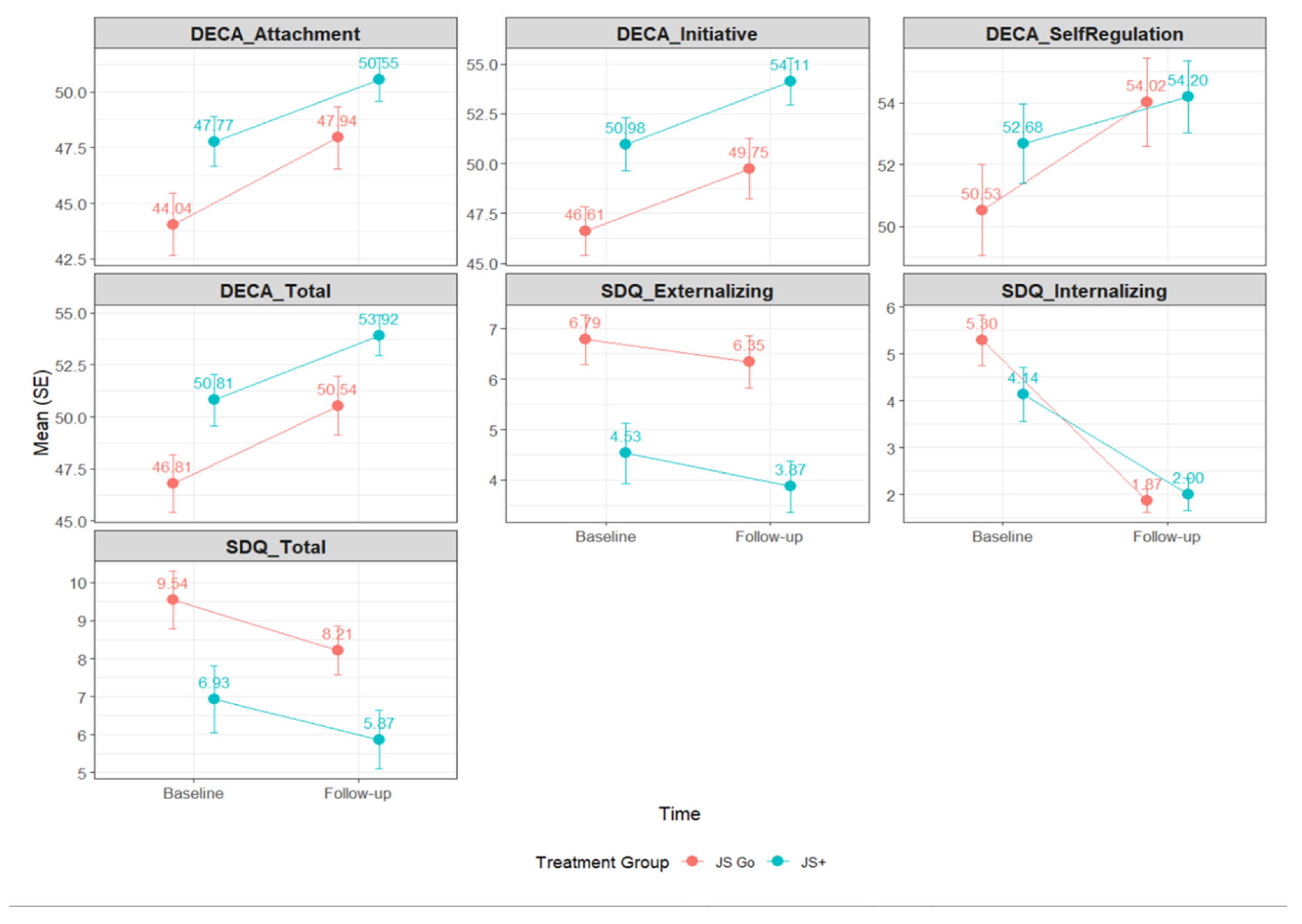
| Outcome Mean (SE) | JS Go | JS | ||||
|---|---|---|---|---|---|---|
| Baseline | Follow-Up | Change | Baseline | Follow-Up | Change | |
| DECA Attachment | 44.04 (1.39) | 47.94 (1.39) | 3.91 | 47.77 (1.10) | 50.55 (0.96) | 2.77 |
| DECA Initiative | 46.61 (1.22) | 49.75 (1.51) | 3.14 | 50.98 (1.33) | 54.11 (1.18) | 3.13 |
| DECA Self-Regulation | 50.53 (1.47) | 54.02 (1.42) | 3.49 | 52.68 (1.29) | 54.20 (1.16) | 1.52 |
| DECA Total | 46.81 (1.39) | 50.54 (1.42) | 3.73 | 50.81 (1.25) | 53.92 (0.99) | 3.12 |
| SDQ Externalizing | 6.79 (0.49) | 6.35 (0.52) | −0.44 | 4.53 (0.60) | 3.87 (0.51) | −0.65 |
| SDQ Internalizing | 5.30 (0.54) | 1.87 (0.25) | −3.43 | 4.14 (0.58) | 2.00 (0.34) | −2.14 |
| SDQ Total | 9.54 (0.76) | 8.21 (0.64) | −1.33 | 6.93 (0.89) | 5.87 (0.78) | −1.06 |
| Outcome | Time Effect (Follow-Up vs. Baseline) β (SE) | p-Value (Time) | Treatment Group (JS Go vs. JS) β (SE) | p-Value (Treatment) | Interaction (Time × Treatment) β (SE) | p-Value (Interaction) |
|---|---|---|---|---|---|---|
| DECA Attachment | 2.89 (1.27) | 0.0226 | −3.74 (1.76) | 0.0335 | 0.79 (1.78) | 0.658 |
| DECA Initiative | 3.05 (1.20) | 0.0108 | −4.37 (1.79) | 0.0145 | −0.26 (1.85) | 0.8896 |
| DECA Self-Regulation | 1.78 (1.29) | 0.1666 | −2.16 (1.94) | 0.2651 | 1.20 (2.01) | 0.5499 |
| DECA Total | 3.22 (1.22) | 0.0084 | −4.00 (1.85) | 0.0307 | 0.14 (1.88) | 0.9421 |
| SDQ Externalizing | −0.74 (0.50) | 0.141 | 2.26 (0.77) | 0.0033 | 0.61 (0.67) | 0.3642 |
| SDQ Internalizing | −2.18 (0.51) | <0.0001 | 1.16 (0.78) | 0.1385 | −1.09 (0.71) | 0.1253 |
| SDQ Total | −1.16 (0.74) | 0.119 | 2.61 (1.16) | 0.0243 | 0.33 (0.98) | 0.7369 |
| Variable | N | Minimum | Maximum | Mean | Standard Deviation |
|---|---|---|---|---|---|
| Technology Fast Form | |||||
| Usefulness | 6 | 1 | 4 | 3.56 | 1.01 |
| Ease of Use | 6 | 2 | 4 | 3.67 | 0.82 |
| Predicted Future Usage | 6 | −4 | 4 | 1.38 | 3.63 |
| mHealth App Usability Questionnaire | |||||
| Ease of Use | 6 | 5 | 7 | 6.43 | 0.59 |
| User Interface | 6 | 6 | 7 | 6.52 | 0.46 |
| Usefulness | 6 | 6 | 7 | 6.47 | 0.45 |
| Mobile App Rating Scale | |||||
| Engagement | 6 | 4 | 5 | 4.73 | 0.24 |
| Functionality | 6 | 4 | 5 | 4.79 | 0.51 |
| Aesthetics | 6 | 4 | 5 | 4.72 | 0.53 |
| Information | 6 | 4 | 5 | 4.67 | 0.42 |
| Subjective App Quality | 6 | 4 | 5 | 4.73 | 0.38 |
Disclaimer/Publisher’s Note: The statements, opinions and data contained in all publications are solely those of the individual author(s) and contributor(s) and not of MDPI and/or the editor(s). MDPI and/or the editor(s) disclaim responsibility for any injury to people or property resulting from any ideas, methods, instructions or products referred to in the content. |
© 2025 by the authors. Licensee MDPI, Basel, Switzerland. This article is an open access article distributed under the terms and conditions of the Creative Commons Attribution (CC BY) license (https://creativecommons.org/licenses/by/4.0/).
Share and Cite
Natale, R.; Pan, Y.; Agosto, Y.; Velasquez, C.; Granja, K.; Guzmán Garcia, E.; Jent, J. Efficacy, Feasibility, and Utility of a Mental Health Consultation Mobile Application in Early Care and Education Programs. Children 2025, 12, 800. https://doi.org/10.3390/children12060800
Natale R, Pan Y, Agosto Y, Velasquez C, Granja K, Guzmán Garcia E, Jent J. Efficacy, Feasibility, and Utility of a Mental Health Consultation Mobile Application in Early Care and Education Programs. Children. 2025; 12(6):800. https://doi.org/10.3390/children12060800
Chicago/Turabian StyleNatale, Ruby, Yue Pan, Yaray Agosto, Carolina Velasquez, Karen Granja, Emperatriz Guzmán Garcia, and Jason Jent. 2025. "Efficacy, Feasibility, and Utility of a Mental Health Consultation Mobile Application in Early Care and Education Programs" Children 12, no. 6: 800. https://doi.org/10.3390/children12060800
APA StyleNatale, R., Pan, Y., Agosto, Y., Velasquez, C., Granja, K., Guzmán Garcia, E., & Jent, J. (2025). Efficacy, Feasibility, and Utility of a Mental Health Consultation Mobile Application in Early Care and Education Programs. Children, 12(6), 800. https://doi.org/10.3390/children12060800

