Physical Fitness Benchmarks for Preschool Children in South Korea: A Population-Based Study
Abstract
1. Introduction
2. Methods
2.1. Study Design
2.2. Study Population
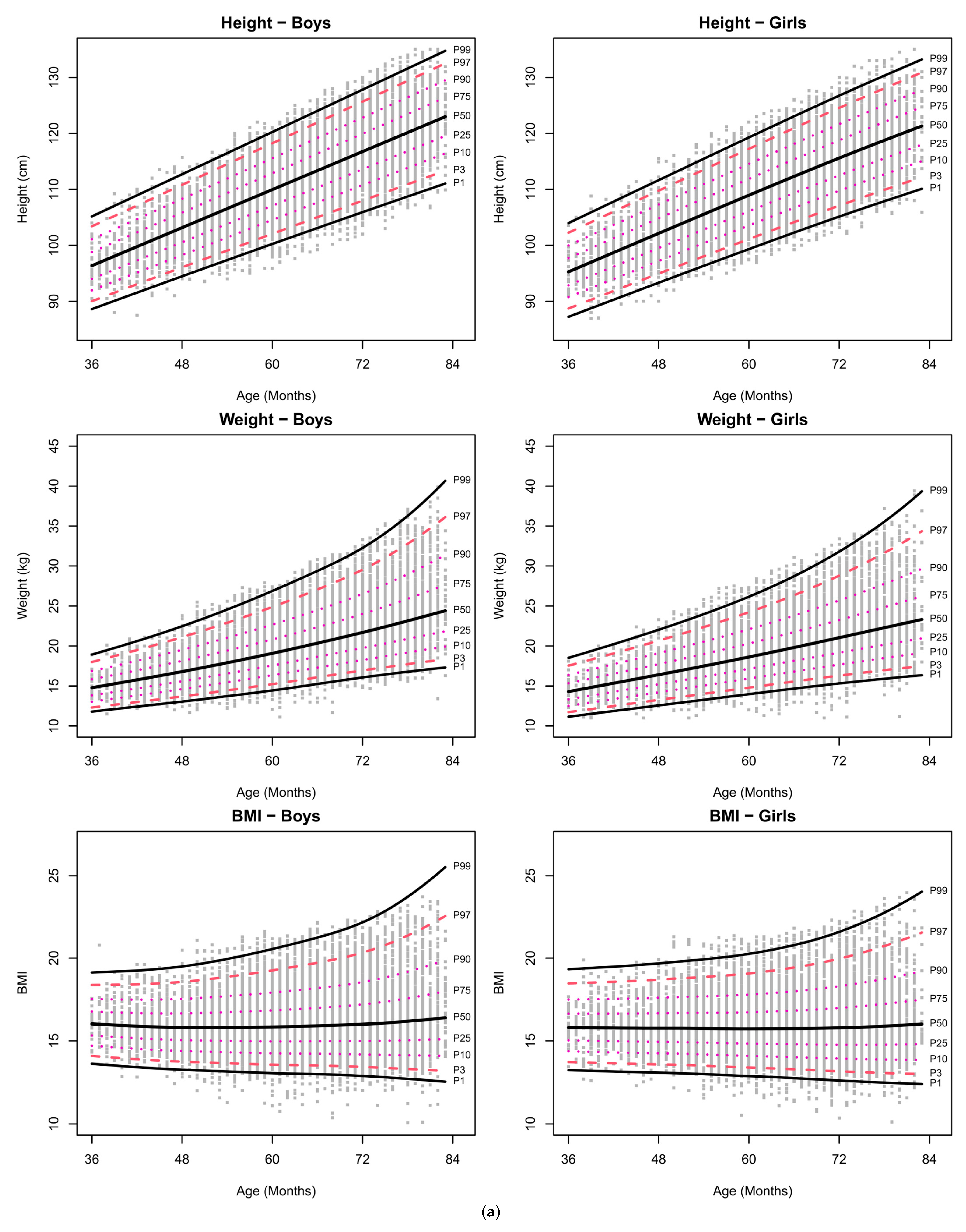
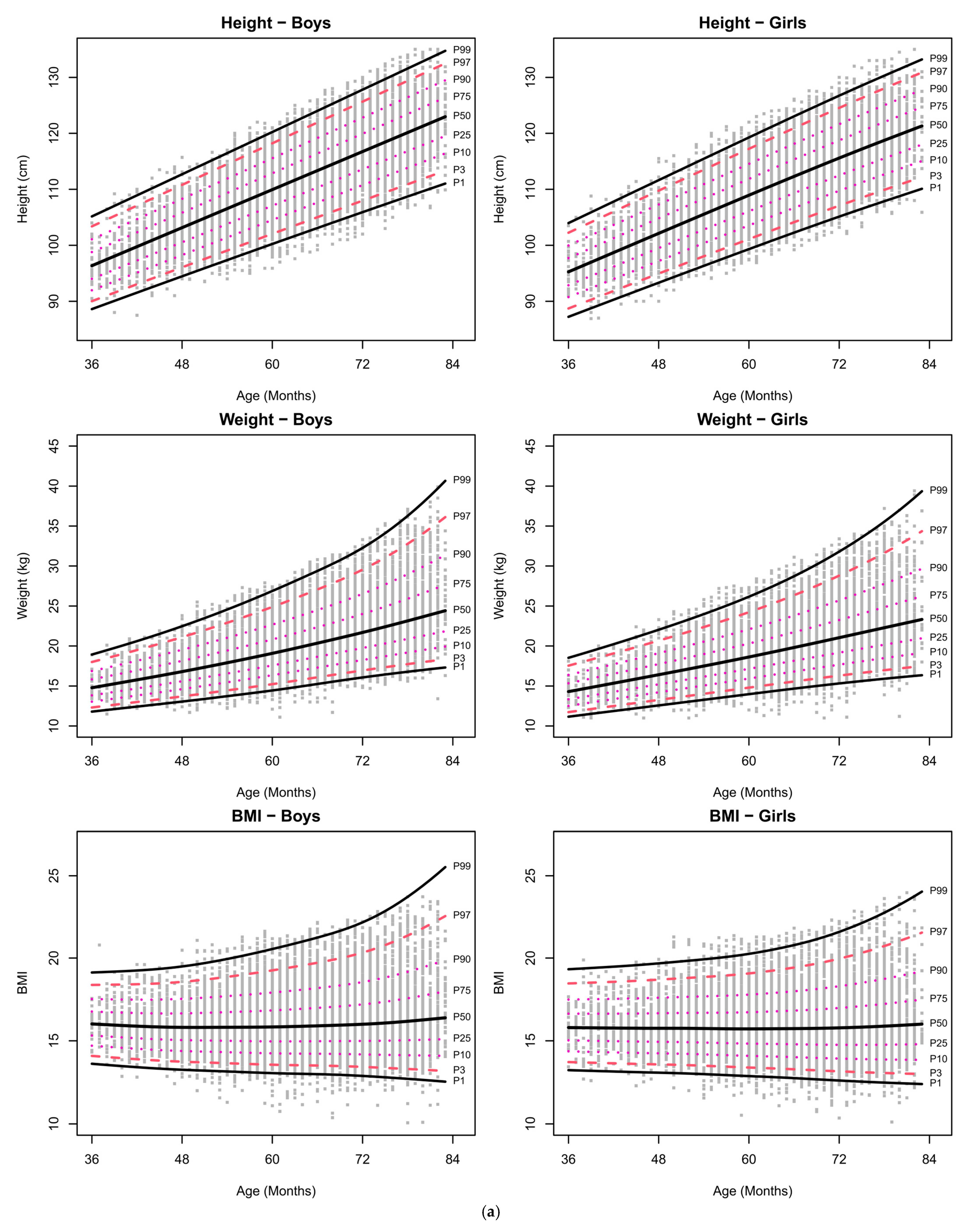
2.3. Anthropometric Measurements
2.4. Physical Fitness Measurements and Significance
- (1)
- Sit and Reach Test (SRT)
- (2)
- V-Sit Endurance Test (VSE)
- (3)
- Standing Long Jump (SLJ)
- (4)
- Single-Leg Stand (SLS)
- (5)
- Five-Meter Shuttle Run (5SR)
2.5. Statistical Analysis
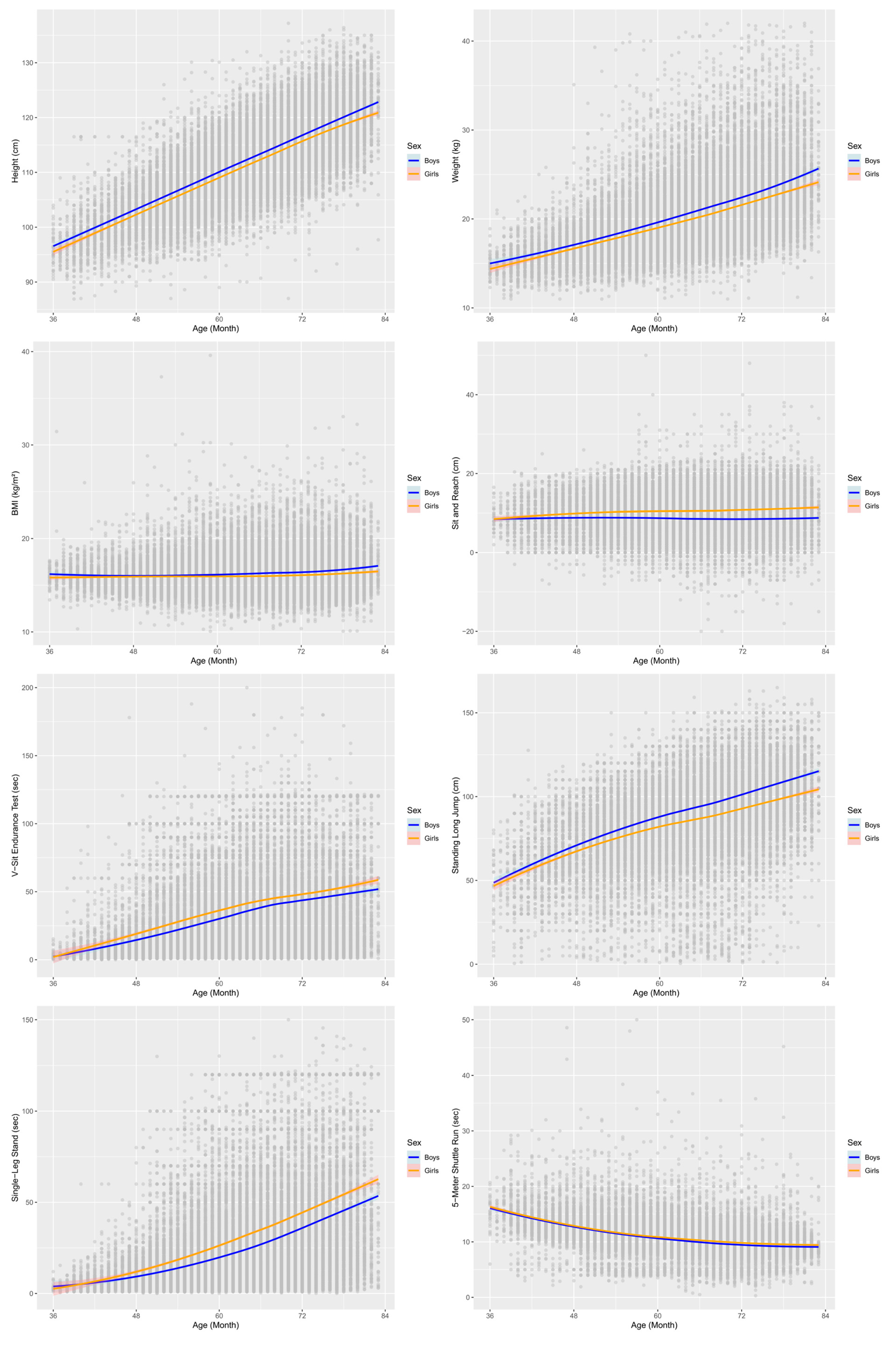
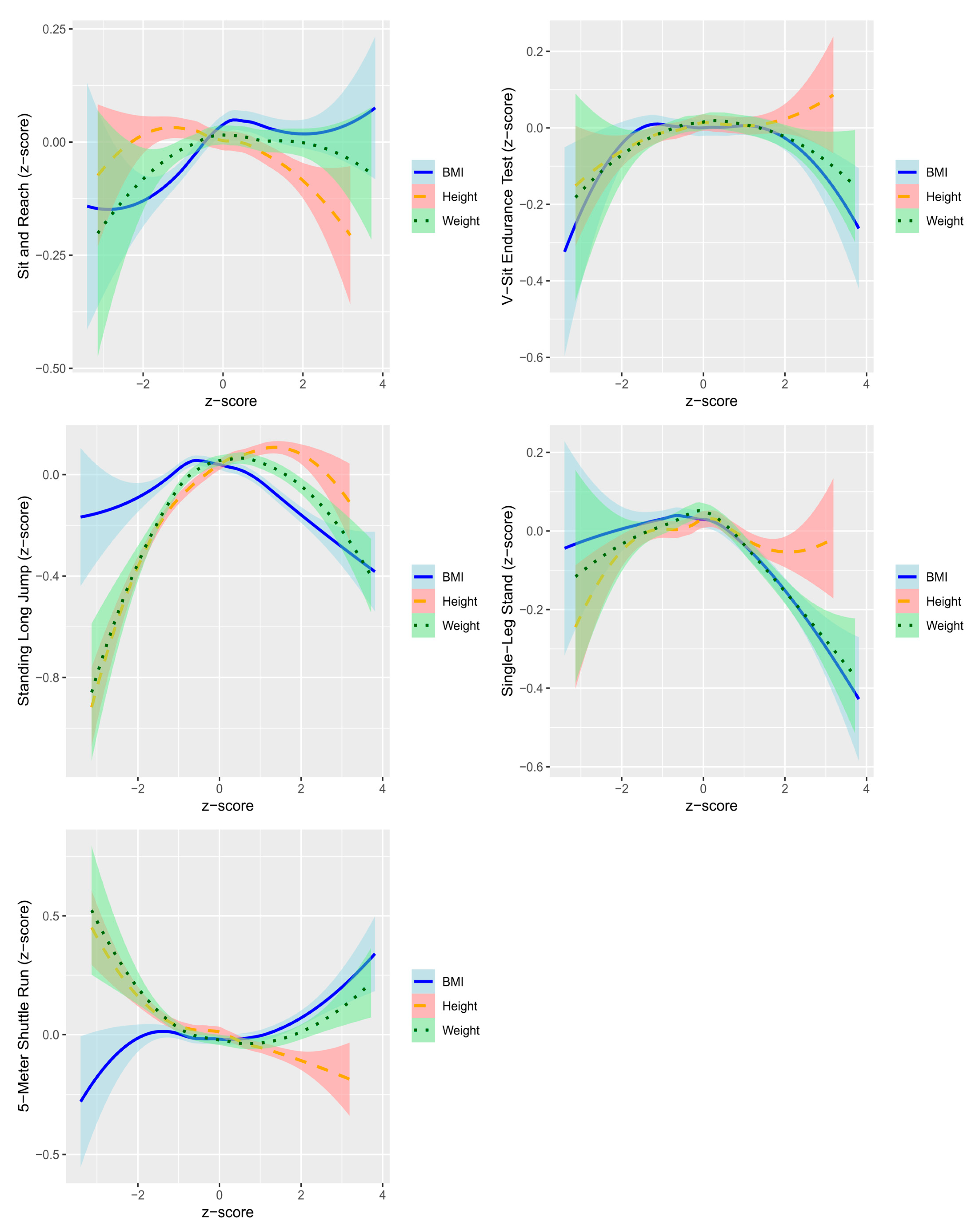
3. Results
4. Discussion
4.1. International Context and Study Implications
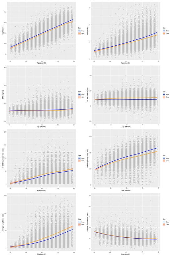
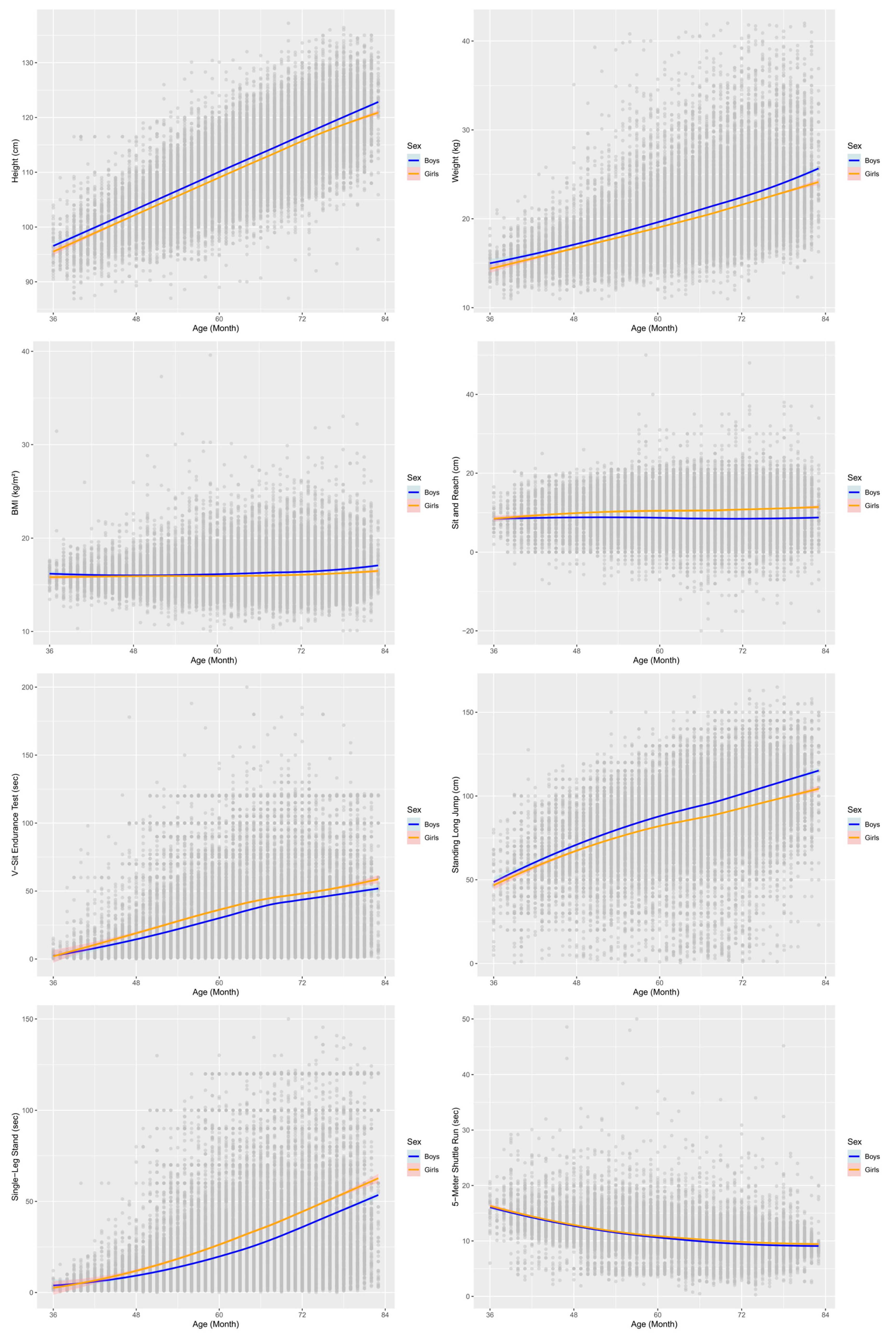
4.2. Differences Between Boys and Girls
4.3. Age-Related Changes
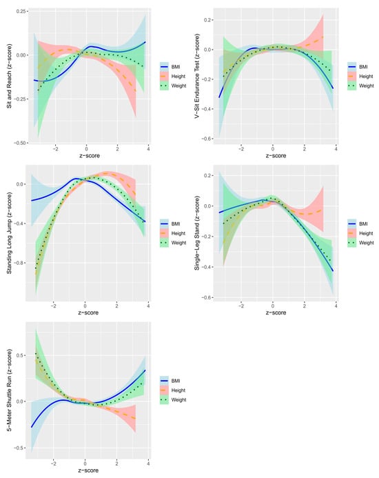
4.4. Relationship Between Anthropometric Measures and Physical Fitness
4.5. Limitations
Author Contributions
Funding
Institutional Review Board Statement
Informed Consent Statement
Data Availability Statement
Acknowledgments
Conflicts of Interest
References
- Ruiz, J.R.; Castro-Piñero, J.; Artero, E.G.; Ortega, F.B.; Sjöström, M.; Suni, J.; Castillo, M.J. Predictive validity of health-related fitness in youth: A systematic review. Br. J. Sports Med. 2009, 43, 909–923. [Google Scholar] [CrossRef] [PubMed]
- Ortega, F.B.; Ruiz, J.R.; Castillo, M.J.; Sjöström, M. Physical fitness in childhood and adolescence: A powerful marker of health. Int. J. Obes. 2008, 32, 1–11. [Google Scholar] [CrossRef] [PubMed]
- Vlahov, E.; Baghurst, T.M.; Mwavita, M. Preschool Motor Development Predicting High School Health-Related Physical Fitness: A Prospective Study. Percept. Mot. Ski. 2014, 119, 279–291. [Google Scholar] [CrossRef]
- Niederer, I.; Kriemler, S.; Zahner, L.; Bürgi, F.; Ebenegger, V.; Marques-Vidal, P.; Puder, J.J. BMI Group-Related Differences in Physical Fitness and Physical Activity in Preschool-Age Children: A Cross-Sectional Analysis. Res. Q. Exerc. Sport 2012, 83, 12–19. [Google Scholar] [CrossRef]
- Hinkley, T.; Crawford, D.; Salmon, J.; Okely, A.D.; Hesketh, K. Preschool Children and Physical Activity. Am. J. Prev. Med. 2008, 34, 435–441. [Google Scholar] [CrossRef]
- Garcia-Hermoso, A.; Alonso-Martinez, A.M.; Ramirez-Velez, R.; Perez-Sousa, M.A.; Ramirez-Campillo, R.; Izquierdo, M. Association of Physical Education with Improvement of Health-Related Physical Fitness Outcomes and Fundamental Motor Skills Among Youths: A Systematic Review and Meta-analysis. JAMA Pediatr. 2020, 174, e200223. [Google Scholar] [CrossRef]
- Fedewa, A.L.; Ahn, S. The effects of physical activity and physical fitness on children’s achievement and cognitive outcomes: A meta-analysis. Res. Q. Exerc. Sport 2011, 82, 521–535. [Google Scholar] [CrossRef]
- Cadenas-Sanchez, C.; Intemann, T.; Labayen, I.; Peinado, A.B.; Vidal-Conti, J.; Sanchis-Moysi, J.; Moliner-Urdiales, D.; Rodriguez Perez, M.A.; Cañete Garcia-Prieto, J.; Fernández-Santos, J.D.R.; et al. Physical fitness reference standards for preschool children: The PREFIT project. J. Sci. Med. Sport 2019, 22, 430–437. [Google Scholar] [CrossRef]
- De Miguel-Etayo, P.; Gracia-Marco, L.; Ortega, F.B.; Intemann, T.; Foraita, R.; Lissner, L.; Oja, L.; Barba, G.; Michels, N.; Tornaritis, M.; et al. Physical fitness reference standards in European children: The IDEFICS study. Int. J. Obes. 2014, 38 (Suppl. S2), S57–S66. [Google Scholar] [CrossRef]
- Zhang, F.; Bi, C.; Yin, X.; Chen, Q.; Li, Y.; Liu, Y.; Zhang, T.; Li, M.; Sun, Y.; Yang, X. Physical fitness reference standards for Chinese children and adolescents. Sci. Rep. 2021, 11, 4991. [Google Scholar] [CrossRef]
- Li, R.; Li, R.; Liu, M.; Zhao, H.; Deng, P.; Zhu, J. Field-based physical fitness assessment in preschool children in China. BMC Public Health 2024, 24, 2722. [Google Scholar] [CrossRef]
- Ke, D.; Maimaitijiang, R.; Shen, S.; Kishi, H.; Kurokawa, Y.; Suzuki, K. Field-based physical fitness assessment in preschool children: A scoping review. Front. Pediatr. 2022, 10, 939442. [Google Scholar] [CrossRef] [PubMed]
- Ma, F.F.; Luo, D.M. Relationships between physical activity, fundamental motor skills, and body mass index in preschool children. Front. Public Health 2023, 11, 1094168. [Google Scholar] [CrossRef] [PubMed]
- Korcz, A.; Bojkowski, L.; Bronikowski, M.; Lopatka, M.; Khorkova, M.; Koszalka-Silska, A.; Ciesla, E.; Krzysztoszek, J. Cluster analysis of physical activity and physical fitness and their associations with components of school skills in children aged 8–9 years. Sci. Rep. 2025, 15, 5053. [Google Scholar] [CrossRef]
- Han, Y.O.; Lee, B.S. Development of Physical Activity Competence Test Battery and Evaluation Standards for Korean Children. Children 2022, 9, 79. [Google Scholar] [CrossRef]
- Castro-Pinero, J.; Chillon, P.; Ortega, F.B.; Montesinos, J.L.; Sjostrom, M.; Ruiz, J.R. Criterion-related validity of sit-and-reach and modified sit-and-reach test for estimating hamstring flexibility in children and adolescents aged 6–17 years. Int. J. Sports Med. 2009, 30, 658–662. [Google Scholar] [CrossRef]
- Cuenca-Garcia, M.; Marin-Jimenez, N.; Perez-Bey, A.; Sanchez-Oliva, D.; Camiletti-Moiron, D.; Alvarez-Gallardo, I.C.; Ortega, F.B.; Castro-Pinero, J. Reliability of Field-Based Fitness Tests in Adults: A Systematic Review. Sports Med. 2022, 52, 1961–1979. [Google Scholar] [CrossRef]
- Musalem, L.L.; Stankovic, T.; Glisic, D.; Cook, G.E.; Beach, T.A. Biomechanical and Electromyographic Comparisons of Isometric Trunk Flexor Endurance Test Postures: Prone Plank Versus V-Sit. J. Appl. Biomech. 2015, 31, 469–475. [Google Scholar] [CrossRef]
- Latorre-Roman, P.A.; Garcia-Pinillos, F.; Mora-Lopez, D. Reference Values of Standing Long Jump in Preschool Children: A Population-Based Study. Pediatr. Exerc. Sci. 2017, 29, 116–120. [Google Scholar] [CrossRef]
- Bayindir, B.; Kolayis, I.E. Comparision of strenght speed and endurance in 11–13 age boys and girls. Procedia Soc. Behav. 2015, 174, 3292–3298. [Google Scholar] [CrossRef]
- Castro-Pinero, J.; Ortega, F.B.; Artero, E.G.; Girela-Rejon, M.J.; Mora, J.; Sjostrom, M.; Ruiz, J.R. Assessing muscular strength in youth: Usefulness of standing long jump as a general index of muscular fitness. J. Strength. Cond. Res. 2010, 24, 1810–1817. [Google Scholar] [CrossRef] [PubMed]
- Zumbrunn, T.; MacWilliams, B.A.; Johnson, B.A. Evaluation of a single leg stance balance test in children. Gait Posture 2011, 34, 174–177. [Google Scholar] [CrossRef] [PubMed]
- Mani, H.; Miyagishima, S.; Kozuka, N.; Kodama, Y.; Takeda, K.; Asaka, T. Development of postural control during single-leg standing in children aged 3-10 years. Gait Posture 2019, 68, 174–180. [Google Scholar] [CrossRef]
- Cattuzzo, M.T.; dos Santos Henrique, R.; Re, A.H.; de Oliveira, I.S.; Melo, B.M.; de Sousa Moura, M.; de Araujo, R.C.; Stodden, D. Motor competence and health related physical fitness in youth: A systematic review. J. Sci. Med. Sport 2016, 19, 123–129. [Google Scholar] [CrossRef]
- Ozen, G.; Kafkas, M.E.; Akalan, C. The Influence of Birth Weight on Physical Fitness in Children Between 8 to 10 Years. Turk. J. Sports Med. 2019, 54, 9–16. [Google Scholar] [CrossRef]
- Bovet, P.; Auguste, R.; Burdette, H. Strong inverse association between physical fitness and overweight in adolescents: A large school-based survey. Int. J. Behav. Nutr. Phys. Act. 2007, 4, 24. [Google Scholar] [CrossRef]
- Sakai, T.; Demura, S.; Fujii, K. Relationship between body composition and BMI in preschool children. Sport Sci. Health 2012, 7, 5–12. [Google Scholar] [CrossRef]
- Raudsepp, L.; Pääsuke, M. Gender Differences in Fundamental Movement Patterns, Motor Performances, and Strength Measurements of Prepubertal Children. Pediatr. Exerc. Sci. 1995, 7, 294–304. [Google Scholar] [CrossRef]
- Koslow, R.E. Sit and Reach Flexibility Measures for Boys and Girls Aged Three through Eight Years. Percept. Mot. Ski. 1987, 64, 1103–1106. [Google Scholar] [CrossRef]
- Arifiyanti, N. The Gross Motor Skill Differences Between Preschool Boys and Girl. Aulad J. Early Child. 2020, 3, 115–120. [Google Scholar] [CrossRef]
- Venetsanou, F.; Kambas, A. Moter performance difference in pre-school aged boys and girls. In Preschool Children: Physical Activity, Behavioral Assessment and Developmental Challenges; Colombo, L., Bianchi, R., Eds.; Nova Science Publishers, Inc.: New York, NY, USA, 2010; pp. 19–37. [Google Scholar]
- Krombholz, H. Physical performance in relation to age, sex, social class and sports activities in kindergarten and elementary school. Percept. Mot. Ski. 1997, 84, 1168–1170. [Google Scholar] [CrossRef] [PubMed]
- Navarro-Paton, R.; Lago-Ballesteros, J.; Arufe-Giraldez, V.; Sanmiguel-Rodriguez, A.; Lago-Fuentes, C.; Mecias-Calvo, M. Gender Differences on Motor Competence in 5-Year-Old Preschool Children Regarding Relative Age. Int. J. Environ. Res. Public Health 2021, 18, 3143. [Google Scholar] [CrossRef] [PubMed]
- Faigenbaum, A.D.; Westcott, W.L.; Loud, R.L.; Long, C. The effects of different resistance training protocols on muscular strength and endurance development in children. Pediatrics 1999, 104, e5. [Google Scholar] [CrossRef] [PubMed]
- Merino-Marban, R.; Mayorga-Vega, D.; Fernandez-Rodriguez, E.; Estrada, F.V.; Viciana, J. Effect of a physical education-based stretching programme on sit-and-reach score and its posterior reduction in elementary schoolchildren. Eur. Phys. Educ. Rev. 2014, 21, 83–92. [Google Scholar] [CrossRef]
- Kasovic, M.; Stefan, L.; Petric, V.; Stemberger, V.; Blazevic, I. Functional endurance capacity is associated with multiple other physical fitness components in 7–14-year-olds: A cross-sectional study. BMC Public Health 2021, 21, 669. [Google Scholar] [CrossRef]
- Fang, H.; Quan, M.; Zhou, T.; Sun, S.; Zhang, J.; Zhang, H.; Cao, Z.; Zhao, G.; Wang, R.; Chen, P. Relationship between Physical Activity and Physical Fitness in Preschool Children: A Cross-Sectional Study. BioMed Res. Int. 2017, 2017, 9314026. [Google Scholar] [CrossRef]
- Doe-Asinyo, R.X.; Smits-Engelsman, B.C.M. Ecological validity of the PERF-FIT: Correlates of active play, motor performance and motor skill-related physical fitness. Heliyon 2021, 7, e07901. [Google Scholar] [CrossRef]
- Freitas, D.L.; Lausen, B.; Maia, J.A.; Gouveia, E.R.; Antunes, A.M.; Thomis, M.; Lefevre, J.; Malina, R.M. Skeletal maturation, fundamental motor skills, and motor performance in preschool children. Scand. J. Med. Sci. Sports 2018, 28, 2358–2368. [Google Scholar] [CrossRef]
- Morano, M.; Colella, D.; Caroli, M. Gross motor skill performance in a sample of overweight and non-overweight preschool children. Int. J. Pediatr. Obes. 2011, 6 (Suppl. S2), 42–46. [Google Scholar] [CrossRef]





| Fitness Test | Abbreviation | Fitness Component | Unit of Measurement |
|---|---|---|---|
| Sit and Reach Test | SRT | Flexibility | Reach Distance (cm) |
| V-Sit Endurance Test | VSE | Abdominal Endurance | Hold Time (s) |
| Standing Long Jump | SLJ | Jumping Power | Jump Distance (cm) |
| Single-Leg Stand | SLS | Balance | Balance Duration (s) |
| 5-Meter Shuttle Run | 5SR | Agility | Performance Time (s) |
| Age (Years) | Sit and Reach Test (cm) | V-Sit Endurance Test (s) | Standing Long Jump (cm) | Single-Leg Stand (s) | 5-Meter Shuttle Run | |||||
|---|---|---|---|---|---|---|---|---|---|---|
| Boys | Girls | Boys | Girls | Boys | Girls | Boys | Girls | Boys | Girls | |
| 3 | 8.78 ± 4.45 (8.48–9.09) | 9.55 ± 4.39 (9.24–9.86) | 8.24 ± 9.52 (7.56–8.93) | 9.81 ± 10.34 (9.05–10.58) | 63.37 ± 20.50 (61.95–64.78) | 60.76 ± 18.57 (59.44–62.09) | 6.25 ± 5.02 (5.90–6.61) | 7.19 ± 5.87 (6.76–7.62) | 13.75 ± 3.37 (13.52–13.99) | 14.02 ± 3.36 (13.78–14.26) |
| 4 | 8.79 ± 4.61 (8.66–8.93) | 10.27 ± 4.69 (10.13–10.41) | 22.16 ± 22.45 (21.48–22.83) | 27.69 ± 25.50 (26.91–28.46) | 81.47 ± 18.62 (80.92–82.02) | 76.86 ± 16.70 (76.36–77.37) | 14.00 ± 12.91 (13.62–14.39) | 17.58 ± 14.87 (17.12–18.03) | 11.23 ± 2.51 (11.16–11.31) | 11.42 ± 2.44 (11.35–11.50) |
| 5 | 8.57 ± 4.99 (8.46–8.69) | 10.58 ± 4.91 (10.46–10.69) | 37.15 ± 30.68 (36.46–37.85) | 42.22 ± 31.29 (41.50–42.95) | 95.61 ± 19.12 (95.17–96.04) | 87.94 ± 16.92 (87.55–88.33) | 26.02 ± 22.49 (25.51–26.53) | 33.10 ± 24.77 (32.53–33.68) | 9.90 ± 1.83 (9.86–9.94) | 10.26 ± 1.82 (10.22–10.30) |
| 6 | 8.50 ± 5.25 (8.35–8.66) | 10.90 ± 5.22 (10.74–11.06) | 45.86 ± 31.62 (44.91–46.81) | 50.86 ± 31.99 (49.85–51.87) | 107.26 ± 18.58 (106.70–107.82) | 97.43 ± 16.98 (96.89–97.96) | 41.87 ± 29.74 (40.98–42.76) | 50.46 ± 30.74 (49.49–51.42) | 9.19 ± 1.59 (9.14–9.23) | 9.58 ± 1.57 (9.53–9.63) |
| Age (Months) | Boys | Age (Months) | Girls | ||||||||||||||||
|---|---|---|---|---|---|---|---|---|---|---|---|---|---|---|---|---|---|---|---|
| P1 | P3 | P10 | P25 | P50 | P75 | P90 | P97 | P99 | P1 | P3 | P10 | P25 | P50 | P75 | P90 | P97 | P99 | ||
| Sit and Reach Test (cm) | Sit and Reach Test (cm) | ||||||||||||||||||
| 36 | −0.9 | 0.9 | 3.4 | 6.0 | 8.8 | 11.7 | 14.2 | 16.7 | 18.6 | 36 | −1.0 | 0.9 | 3.4 | 6.0 | 8.8 | 11.7 | 14.3 | 16.8 | 18.7 |
| 48 | −1.6 | 0.4 | 3.1 | 5.8 | 8.8 | 11.9 | 14.6 | 17.3 | 19.3 | 48 | −0.6 | 1.4 | 4.1 | 6.9 | 9.9 | 12.9 | 15.7 | 18.4 | 20.4 |
| 60 | −2.5 | −0.4 | 2.5 | 5.4 | 8.7 | 11.9 | 14.9 | 17.7 | 19.9 | 60 | −0.7 | 1.4 | 4.3 | 7.2 | 10.4 | 13.7 | 16.6 | 19.5 | 21.6 |
| 72 | −3.5 | −1.2 | 1.9 | 5.0 | 8.5 | 12.0 | 15.1 | 18.2 | 20.5 | 72 | −1.1 | 1.2 | 4.2 | 7.3 | 10.8 | 14.2 | 17.3 | 20.3 | 22.6 |
| 84 | −4.3 | −1.9 | 1.4 | 4.8 | 8.5 | 12.2 | 15.5 | 18.8 | 21.3 | 84 | −1.4 | 1.0 | 4.3 | 7.6 | 11.2 | 14.9 | 18.2 | 21.4 | 23.9 |
| V-Sit Endurance Test (s) | V-Sit Endurance Test (s) | ||||||||||||||||||
| 36 | 0.1 | 0.2 | 0.6 | 1.4 | 3.0 | 5.5 | 8.6 | 12.6 | 16.2 | 36 | 0.1 | 0.3 | 0.7 | 1.7 | 3.7 | 6.8 | 10.8 | 15.9 | 20.5 |
| 48 | 0.2 | 0.5 | 1.6 | 4.1 | 9.1 | 17.5 | 28.2 | 42.2 | 54.9 | 48 | 0.3 | 0.8 | 2.2 | 5.3 | 11.6 | 21.6 | 34.4 | 50.9 | 65.8 |
| 60 | 0.6 | 1.4 | 4.2 | 10.0 | 21.9 | 41.2 | 65.8 | 97.6 | 126.3 | 60 | 0.8 | 2.0 | 5.5 | 12.6 | 26.7 | 49.1 | 77.4 | 113.6 | 146.1 |
| 72 | 1.4 | 3.2 | 7.9 | 16.9 | 33.7 | 59.6 | 91.6 | 132.2 | 168.4 | 72 | 2.1 | 4.4 | 10.0 | 20.1 | 38.4 | 65.6 | 98.9 | 140.4 | 177.3 |
| 84 | 3.3 | 6.2 | 12.9 | 24.4 | 44.0 | 72.3 | 106.1 | 147.9 | 184.6 | 84 | 4.5 | 8.0 | 16.0 | 28.8 | 50.3 | 80.6 | 116.3 | 160.1 | 198.4 |
| Standing Long Jump (cm) | Standing Long Jump (cm) | ||||||||||||||||||
| 36 | 13.7 | 22.3 | 34.2 | 46.0 | 58.7 | 70.3 | 79.3 | 87.3 | 92.7 | 36 | 15.9 | 23.3 | 32.8 | 41.8 | 51.1 | 60.1 | 68.3 | 76.5 | 82.7 |
| 48 | 23.5 | 34.4 | 48.2 | 60.8 | 73.9 | 85.8 | 95.4 | 104.2 | 110.4 | 48 | 26.9 | 36.0 | 47.2 | 57.7 | 68.4 | 78.7 | 88.1 | 97.4 | 104.3 |
| 60 | 36.2 | 48.7 | 63.4 | 76.4 | 89.1 | 100.7 | 110.7 | 120.1 | 126.8 | 60 | 39.3 | 48.9 | 60.8 | 71.7 | 83.0 | 93.7 | 103.4 | 112.9 | 120.0 |
| 72 | 51.3 | 64.6 | 79.7 | 92.4 | 104.3 | 115.3 | 125.3 | 135.0 | 142.2 | 72 | 51.9 | 61.3 | 72.9 | 83.7 | 94.8 | 105.3 | 114.8 | 124.0 | 130.9 |
| 84 | 68.0 | 81.6 | 96.5 | 108.7 | 119.6 | 129.7 | 139.4 | 149.4 | 157.0 | 84 | 64.8 | 73.8 | 84.9 | 95.2 | 105.8 | 115.9 | 124.9 | 133.7 | 140.2 |
| Single-Leg Stand (s) | Single-Leg Stand (s) | ||||||||||||||||||
| 36 | 0.3 | 0.6 | 1.1 | 1.8 | 3.1 | 4.8 | 6.8 | 9.2 | 11.4 | 36 | 0.5 | 0.7 | 1.2 | 1.9 | 3.0 | 4.5 | 6.1 | 8.0 | 9.7 |
| 48 | 0.5 | 1.0 | 2.1 | 3.9 | 7.1 | 11.7 | 17.1 | 23.9 | 29.9 | 48 | 0.6 | 1.2 | 2.5 | 4.7 | 8.5 | 14.0 | 20.5 | 28.6 | 35.7 |
| 60 | 0.7 | 1.5 | 3.6 | 7.5 | 14.8 | 26.0 | 39.8 | 57.2 | 72.7 | 60 | 1.1 | 2.2 | 5.1 | 10.2 | 19.3 | 32.8 | 49.3 | 69.8 | 88.0 |
| 72 | 1.4 | 2.9 | 7.0 | 14.4 | 28.1 | 48.6 | 73.9 | 105.8 | 134.0 | 72 | 2.6 | 5.0 | 10.6 | 20.0 | 36.2 | 59.6 | 87.7 | 122.4 | 152.9 |
| 84 | 4.3 | 7.7 | 15.3 | 27.4 | 47.6 | 76.1 | 109.6 | 150.7 | 186.5 | 84 | 8.5 | 13.2 | 22.5 | 36.0 | 56.8 | 84.3 | 115.6 | 152.9 | 184.8 |
| 5-Meter Shuttle Run (s) | 5-Meter Shuttle Run (s) | ||||||||||||||||||
| 36 | 6.4 | 8.6 | 11.3 | 13.7 | 15.7 | 17.8 | 20.6 | 24.4 | 28.0 | 36 | 5.7 | 8.0 | 11.0 | 13.5 | 15.7 | 17.9 | 20.8 | 24.5 | 27.9 |
| 48 | 5.4 | 7.0 | 9.1 | 10.8 | 12.3 | 13.8 | 15.8 | 18.6 | 21.2 | 48 | 5.1 | 7.0 | 9.3 | 11.1 | 12.5 | 14.0 | 15.9 | 18.3 | 20.4 |
| 60 | 5.4 | 6.6 | 8.0 | 9.2 | 10.2 | 11.3 | 12.6 | 14.5 | 16.3 | 60 | 5.2 | 6.6 | 8.3 | 9.6 | 10.6 | 11.6 | 13.0 | 14.6 | 16.1 |
| 72 | 5.2 | 6.2 | 7.4 | 8.4 | 9.3 | 10.1 | 11.2 | 12.8 | 14.2 | 72 | 5.4 | 6.5 | 7.8 | 8.8 | 9.6 | 10.4 | 11.5 | 12.9 | 14.2 |
| 84 | 5.2 | 6.1 | 7.2 | 8.0 | 8.7 | 9.3 | 10.3 | 11.5 | 12.7 | 84 | 5.7 | 6.5 | 7.5 | 8.3 | 8.9 | 9.6 | 10.5 | 11.8 | 12.9 |
Disclaimer/Publisher’s Note: The statements, opinions and data contained in all publications are solely those of the individual author(s) and contributor(s) and not of MDPI and/or the editor(s). MDPI and/or the editor(s) disclaim responsibility for any injury to people or property resulting from any ideas, methods, instructions or products referred to in the content. |
© 2025 by the authors. Licensee MDPI, Basel, Switzerland. This article is an open access article distributed under the terms and conditions of the Creative Commons Attribution (CC BY) license (https://creativecommons.org/licenses/by/4.0/).
Share and Cite
Oh, M.-Y.; Lee, J.-H. Physical Fitness Benchmarks for Preschool Children in South Korea: A Population-Based Study. Children 2025, 12, 361. https://doi.org/10.3390/children12030361
Oh M-Y, Lee J-H. Physical Fitness Benchmarks for Preschool Children in South Korea: A Population-Based Study. Children. 2025; 12(3):361. https://doi.org/10.3390/children12030361
Chicago/Turabian StyleOh, Moon-Yeon, and Jae-Ho Lee. 2025. "Physical Fitness Benchmarks for Preschool Children in South Korea: A Population-Based Study" Children 12, no. 3: 361. https://doi.org/10.3390/children12030361
APA StyleOh, M.-Y., & Lee, J.-H. (2025). Physical Fitness Benchmarks for Preschool Children in South Korea: A Population-Based Study. Children, 12(3), 361. https://doi.org/10.3390/children12030361

