Discriminatory Value and Validation of a Risk Prediction Model Based on Serum Cytokines in Pediatric Acute Appendicitis: A Single-Center Experience of 483 Cases
Abstract
1. Introduction
2. Methods
2.1. Patients
2.2. Data Collection and Definitions
2.3. Statistical Analysis
3. Results
3.1. Demographics and Clinical Manifestations at Baseline
3.2. Preoperative Serum Cytokine Levels and Principle Component Analysis
3.3. Therapy and Prognosis
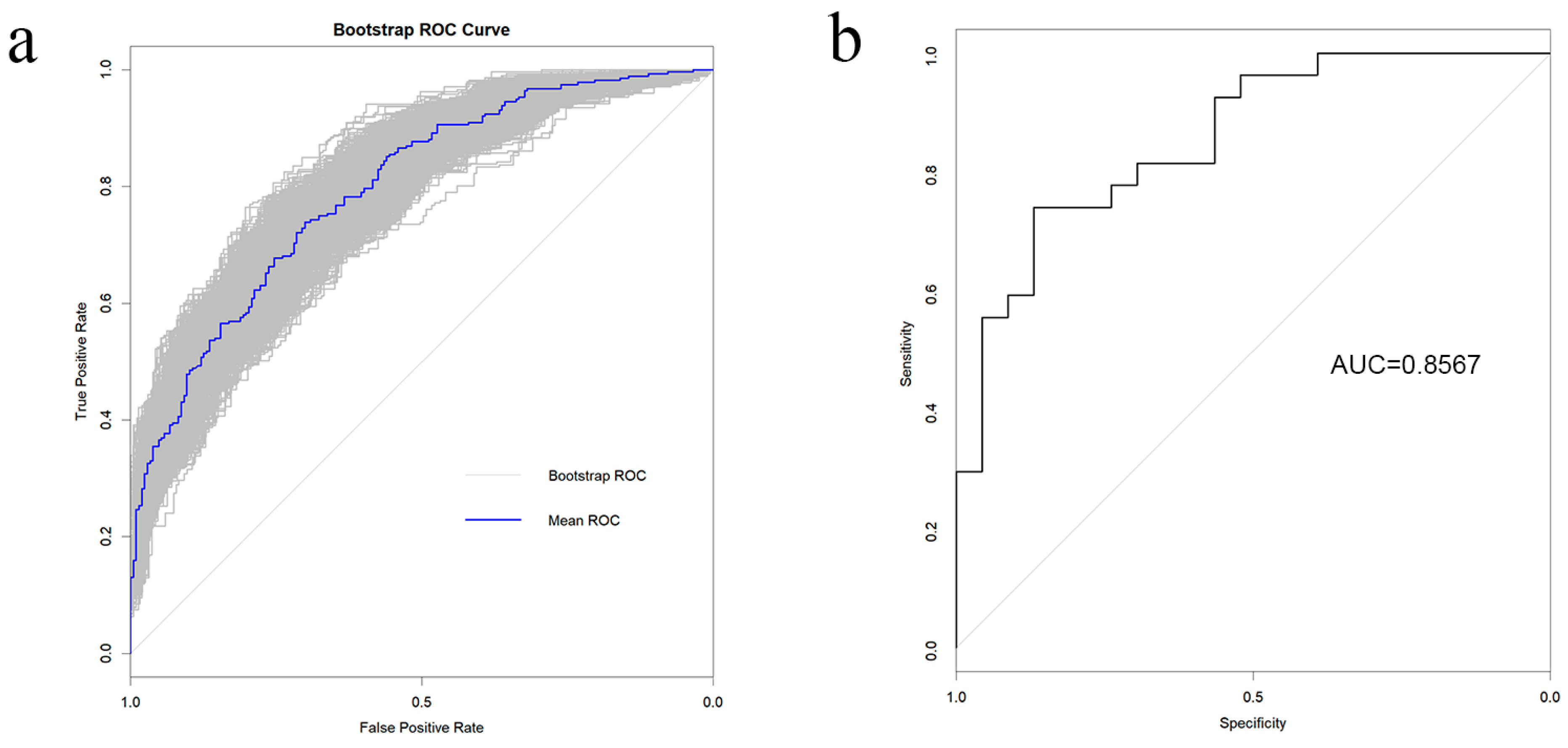
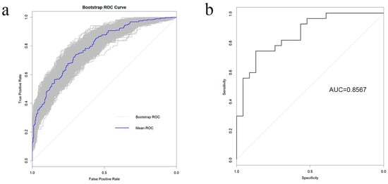
3.4. Risk Factors, Establishment, and Validation of the Predictive Model for Pediatric CA
4. Discussion
Supplementary Materials
Author Contributions
Funding
Institutional Review Board Statement
Informed Consent Statement
Data Availability Statement
Acknowledgments
Conflicts of Interest
References
- Georgiou, R.; Eaton, S.; Stanton, M.P.; Pierro, A.; Hall, N.J. Efficacy and safety of nonoperative treatment for acute appendicitis: A meta-analysis. Pediatrics 2017, 139, e20163003. [Google Scholar] [CrossRef] [PubMed]
- Li, F.; Hu, R.; Zhang, X.; Zhuang, B. Calcitoninogen test in the differential diagnosis of acute appendicitis and mesenteric lymphadenitis in children. J. Pract. Clin. Med. 2016, 20, 80–82. [Google Scholar]
- Hongchen, L. Effect of laparoscopic treatment on serum inflammatory factors and immune function in children with acute suppurative appendicitis. Med. Innov. China 2019, 16, 124–127. [Google Scholar]
- Svensson, J.F.; Hall, N.J.; Eaton, S.; Pierro, A.; Wester, T. A review of conservative treatment of acute appendicitis. Eur. J. Pediatr. Surg. 2012, 22, 185–194. [Google Scholar] [CrossRef]
- Podda, M.; Gerardi, C.; Cillara, N.; Fearnhead, N.; Gomes, C.A.; Birindelli, A.; Mulliri, A.; Davies, R.J.; Di Saverio, S. Antibiotic Treatment and Appendectomy for Uncomplicated Acute Appendicitis in Adults and Children: A Systematic Review and Meta-analysis. Ann. Surg. 2019, 270, 1028–1040. [Google Scholar] [CrossRef]
- Minneci, P.C.; Hade, E.M.; Lawrence, A.E.; Sebastião, Y.V.; Saito, J.M.; Mak, G.Z.; Fox, C.; Hirschl, R.B.; Gadepalli, S.; Helmrath, M.A.; et al. Association of Nonoperative Management Using Antibiotic Therapy vs Laparoscopic Appendectomy With Treatment Success and Disability Days in Children With Uncomplicated Appendicitis. JAMA 2020, 324, 581–593. [Google Scholar] [CrossRef] [PubMed]
- Cameron, D.B.; Anandalwar, S.P.; Graham, D.A.; Melvin, P.; Serres, S.K.; Dunlap, J.L.; Kashtan, M.; Hall, M.; Saito, J.M.; Barnhart, D.C.; et al. Development and implications of an evidence-based and public health-relevant definition of complicated appendicitis in children. Ann. Surg. 2020, 271, 962–968. [Google Scholar] [CrossRef] [PubMed]
- Alotaibi, A.M.; Alfawaz, M.; Felemban, L.; Moshref, L.; Moshref, R. Complicated appendicitis increases the hospital length of stay. Surg. Open Sci. 2022, 9, 64–68. [Google Scholar] [CrossRef] [PubMed]
- Skjold-Ødegaard, B.; Søreide, K. The diagnostic differentiation challenge in acute appendicitis: How to distinguish between uncomplicated and complicated appendicitis in adults. Diagnostics 2022, 12, 1724. [Google Scholar] [CrossRef]
- Hodge, S.V.; Mickiewicz, B.; Lau, M.; Jenne, C.N.; Thompson, G.C. Novel molecular biomarkers and diagnosis of acute appendicitis in children. Biomark. Med. 2021, 15, 1055–1065. [Google Scholar] [CrossRef] [PubMed]
- Di Saverio, S.; Podda, M.; De Simone, B.; Ceresoli, M.; Augustin, G.; Gori, A.; Boermeester, M.; Sartelli, M.; Coccolini, F.; Tarasconi, A.; et al. Diagnosis and treatment of acute appendicitis: 2020 update of the WSES Jerusalem guidelines. World J. Emerg. Surg. 2020, 15, 27. [Google Scholar] [CrossRef]
- Torell, F. Evaluation of stretch reflex synergies in the upper limb using principal component analysis (pca). PLoS ONE 2023, 18, e292807. [Google Scholar] [CrossRef]
- Matuszczak, E.; Tylicka, M.; Dębek, W.; Sankiewicz, A.; Gorodkiewicz, E.; Hermanowicz, A. Concentration of proteasome in the blood plasma of children with acute appendicitis, before and after surgery, and its correlation with crp. World J. Surg. 2018, 42, 2259–2264. [Google Scholar] [CrossRef] [PubMed]
- Kitaoka, H.; Chikai, H.; Watanabe, K.; Ida, H.; Kumagai, T. Diagnostic performance of the classic symptom “abdominal pain before vomiting” for pediatric acute appendicitis. Pediatr. Neonatol. 2023, 65, 17–22. [Google Scholar] [CrossRef] [PubMed]
- Groselj-Grenc, M.; Repse, S.; Vidmar, D.; Derganc, M. Clinical and laboratory methods in diagnosis of acute appendicitis in children. Croat. Med. J. 2007, 48, 353–361. [Google Scholar] [PubMed]
- Raniszewska, A.; Gorska, E.; Kotula, I.; Stelmaszczyk-Emmel, A.; Popko, K.; Ciepiela, O. Recurrent respiratory tract infections in children—Analysis of immunological examinations. Cent. Eur. J. Immunol. 2015, 40, 167–173. [Google Scholar] [CrossRef]
- Destek, S.; Gul, V.O.; Mentes, M.O.; Cicek, A.F. Diagnostic efficacy of serum procalcitonin, il-6, il-2, and d-dimer levels in an experimental acute appendicitis model. Turk. J. Gastroenterol. 2019, 30, 641–647. [Google Scholar] [CrossRef] [PubMed]
- Guangshuai, W. The value of laparoscopic surgical treatment versus open surgical treatment on immunoglobulins and cytokines in patients with acute suppurative appendicitis. Electron. J. Clin. Med. Lit. 2019, 6, 51–52. [Google Scholar]
- Eriksson, S.; Granström, L.; Olander, B.; Wretlind, B. Sensitivity of interleukin-6 and c-reactive protein concentrations in the diagnosis of acute appendicitis. Eur. J. Surg. 1995, 161, 41. [Google Scholar]
- Yoon, D.Y.; Chu, J.; Chandler, C.; Hiyama, S.; Thompson, J.E.; Hines, O.J. Human cytokine levels in nonperforated versus perforated appendicitis: Molecular serum markers for extent of disease? Am Surg. 2002, 68, 1033–1037. [Google Scholar] [CrossRef]
- Groselj-Grenc, M.; Repše, S.; Dolenc-Stražar, Z.; Hojker, S.; Derganc, M. Interleukin-6 and lipopolysaccharide-binding protein in acute appendicitis in children. Scand. J. Clin. Lab. Investig. 2009, 67, 197–206. [Google Scholar] [CrossRef] [PubMed]
- Murphy, C.G.; Glickman, J.N.; Tomczak, K.; Wang, Y.Y.; Beggs, A.H.; Shannon, M.W.; Horwitz, B.H. Acute appendicitis is characterized by a uniform and highly selective pattern of inflammatory gene expression. Mucosal Immunol. 2008, 1, 297–308. [Google Scholar] [CrossRef] [PubMed]
- Yunxi, M. The value of s100a12 protein combined with il-8 and wbc detection in the diagnosis of pediatric acute appendicitis. Chin. J. Clin. Ration. Drug Use 2019, 12, 133–135. [Google Scholar]
- Allister, L.; Bachur, R.; Glickman, J.; Horwitz, B. Serum markers in acute appendicitis. J. Surg. Res. 2011, 168, 70–75. [Google Scholar] [CrossRef]
- Bamias, G.; Cominelli, F. Cytokines and intestinal inflammation. Curr. Opin. Gastroen. 2016, 32, 437–442. [Google Scholar] [CrossRef] [PubMed]
- Xu, H.; Liu, H. Changes in plasma cytokines in patients with severe abdominal infections and the relationship with severity of disease. Int. J. Epidemiol. Infect. Dis. 2020, 47, 260–263. [Google Scholar]
- Man, F. A study on the role of neutrophil/lymphocyte ratio, inflammatory factors and serum bilirubin in predicting complicated acute appendicitis. Mod. Gastroenterol. Interv. Med. 2019, 24, 1455–1457. [Google Scholar]
- Yongquan, T.; Xingzhen, S. Inflammatory factors in the diagnosis and postoperative evaluation of pediatric appendicitis. J. Hunan Norm. Univ. (Med. Sci.) 2020, 17, 174–177. [Google Scholar]
- Huang, D.S.; Han, M.; Xie, Y. Significance of blood inflammatory markers in the diagnosis of pediatric acute appendicitis. J. South. Med. Univ. 2012, 32, 1154–1156. [Google Scholar]
- Peeters, T.; Martens, S.; D’onofrio, V.; Stappers, M.H.T.; van der Hilst, J.C.H.; Houben, B.; Achten, R.; Joosten, L.A.B.; Gyssens, I.C. An observational study of innate immune responses in patients with acute appendicitis. Sci. Rep. 2020, 10, 17352. [Google Scholar] [CrossRef]
- Rubér, M.; Andersson, M.; Petersson, B.F.; Olaison, G.; Andersson, R.E.; Ekerfelt, C. Systemic th17-like cytokine pattern in gangrenous appendicitis but not in phlegmonous appendicitis. Surgery 2010, 147, 366–372. [Google Scholar] [CrossRef] [PubMed]
- Dalal, I.; Somekh, E.; Bilker-Reich, A.; Boaz, M.; Gorenstein, A.; Serour, F. Serum and peritoneal inflammatory mediators in children with suspected acute appendicitis. Arch. Surg. 2005, 140, 169–173. [Google Scholar] [CrossRef] [PubMed]
- Machado, S.L.d.O.; Bagatini, M.D.; da Costa, P.; Baldissarelli, J.; Reichert, K.P.; de Oliveira, L.S.; Lemos, J.G.; Duarte, T.; Schetinger, M.R.C.; Morsch, V.M. Evaluation of mediators of oxidative stress and inflammation in patients with acute appendicitis. Biomarkers 2016, 21, 530–537. [Google Scholar] [CrossRef] [PubMed]
- Gudjonsdottir, J.; Roth, B.; Lovén, G.; Ohlsson, B.; Hagander, L.; Sal, M. An evaluation of serum ige and th2-associated interleukins in children with uncomplicated and complicated appendicitis. Front. Pediatr. 2022, 10, 884138. [Google Scholar] [CrossRef] [PubMed]
- Stankovic, N.; Surbatovic, M.; Stanojevic, I.; Simić, R.; Djuricic, S.; Milickovic, M.; Grujic, B.; Savic, D.; Marinovic, V.M.; Stankovic, M.; et al. Possible cytokine biomarkers in pediatric acute appendicitis. Ital. J. Pediatr. 2019, 45, 125. [Google Scholar] [CrossRef]
- Binboga, S.; Isiksacan, N.; Binboga, E.; Kasapoglu, P.; Surek, A.; Karabulut, M. Diagnostic value of serum cytokines in predicting a complicated acute appendicitis. An. Acad. Bras. Cienc. 2022, 94, e20201947. [Google Scholar] [CrossRef] [PubMed]
- Carvalho, N.; Carolino, E.; Coelho, H.; Cóias, A.; Trindade, M.; Vaz, J.; Cismasiu, B.; Moita, C.; Moita, L.; Costa, P.M. Il-5 serum and appendicular lavage fluid concentrations correlate with eosinophilic infiltration in the appendicular wall supporting a role for a hypersensitivity type i reaction in acute appendicitis. Int. J. Mol. Sci. 2022, 23, 15086. [Google Scholar] [CrossRef] [PubMed]
- Huang, L.; Yin, Y.; Yang, L.; Wang, C.; Li, Y.; Zhou, Z. Comparison of Antibiotic Therapy and Appendectomy for Acute Uncomplicated Appendicitis in Children: A Meta-analysis. JAMA Pediatr. 2017, 171, 426–434. [Google Scholar] [CrossRef] [PubMed]


| Variables | UA (n = 207) | CA (n = 276) | Z-Value | p-Value |
|---|---|---|---|---|
| Age (y), median (IQR) | 9.6 (5.20) | 8.1 (4.50) | −3.763 | <0.001 |
| Younger age group (y), median (IQR) | 6.8 (2.88) | 6.9 (2.80) | ||
| Elder age group (y), median (IQR) | 12.1 (2.33) | 11.4 (2.35) | ||
| Sex (M/total), n (%) | 124 (59.9) | 168 (60.9) | 0.046 | 0.83 |
| Hours of pain evolution (h), median (IQR) | 20 (39) | 48 (48) | −6.859 | <0.001 |
| Fever (yes/total), n (%) | 40 (19.3) | 114 (41.3) | 26.314 | <0.001 |
| Vomiting (yes/total), n (%) | 90 (43.5) | 202 (73.2) | 43.674 | <0.001 |
| Diarrhea (yes/total), n (%) | 39 (18.8) | 65 (23.6) | 1.553 | 0.213 |
| Cytokines (pg/mL) | UA (n = 207) | CA (n = 276) | Z-Value | p-Value | Cut-Off | Sensitivity (%) | Specificity (%) |
|---|---|---|---|---|---|---|---|
| Median (IQR) | |||||||
| IL-1β | 1.65 (2.38) | 1.92 (2.46) | −1.645 | 0.100 | |||
| IL-2 | 0.59 (0.87) | 0.59 (0.91) | −1.128 | 0.259 | |||
| IL-4 | 0.78 (1.35) | 0.73 (1.40) | −1.134 | 0.257 | |||
| IL-5 | 0.47 (0.62) | 0.31 (0.61) | −2.799 | 0.005 | |||
| IL-6 | 11.69 (24.50) | 55.86 (250.81) | −11.091 | <0.001 | 32.135 | 62.7 | 81.6 |
| IL-8 | 6.96 (11.13) | 10.33 (18.95) | −4.025 | <0.001 | 7.75 | 63.8 | 55.1 |
| IL-10 | 2.72 (2.97) | 6.48 (20.17) | −9.293 | <0.001 | 4.395 | 64.1 | 73.4 |
| IL-12 | 1.24 (1.77) | 1.05 (1.78) | −1.620 | 0.105 | |||
| IL-17A | 3.44 (4.53) | 3.46 (5.95) | −0.379 | 0.705 | |||
| TNF-α | 0.99 (1.18) | 1.00 (1.48) | −0.332 | 0.740 | |||
| IFN-α | 1.45 (4.27) | 1.88 (5.55) | −1.486 | 0.137 | |||
| IFN-γ | 0.87 (1.50) | 0.67 (0.79) | −3.733 | <0.001 |
| Variables | UA (n = 207) | CA (n = 276) | Z-Value | p-Value |
|---|---|---|---|---|
| Hospital stay (d), median (IQR) | 7 (6, 8) | 9 (8, 11) | −12.493 | <0.001 |
| Carbapenems antibiotics (yes/total), (n%) | 1 (0.5) | 32 (11.6) | 22.941 | <0.001 |
| PICU (yes/total), (n%) | 2 (1) | 5 (1.8) | 0.592 | 0.442 |
| Complications (yes/total), (n%) | 40 (19.3) | 257 (93.1) | 272.006 | <0.001 |
| Variables | Carbapenems Antibiotics | PICU | Complications | ||||||
|---|---|---|---|---|---|---|---|---|---|
| Y (n = 33) | N (n = 450) | p-Value | Y (n = 7) | N (n = 476) | p-Value | Y (n = 298) | N (n = 185) | p-Value | |
| IL-1β | 2.47 (3.88) | 1.77 (2.44) | <0.001 | 1.97 (2.10) | 1.81 (2.47) | 0.965 | 1.96 (2.48) | 1.46 (2.25) | 0.009 |
| IL-2 | 0.80 (1.09) | 0.59 (0.90) | 0.469 | 0.90 (0.66) | 0.59 (0.91) | 0.525 | 0.59 (0.93) | 0.59 (0.82) | 0.597 |
| IL-4 | 0.73 (1.56) | 0.74 (1.39) | 0.875 | 0.02 (0.93) | 0.75 (1.41) | 0.188 | 0.72 (1.40) | 0.78 (1.38) | 0.414 |
| IL-5 | 0.30 (1.27) | 0.39 (0.60) | 0.382 | 0.12 (3.00) | 0.38 (0.62) | 0.443 | 0.35 (0.67) | 0.45 (0.55) | 0.203 |
| IL-6 | 118.81 (602.92) | 25.18 (58.68) | <0.001 | 193.31 (835.36) | 26.44 (66.93) | 0.042 | 50.42 (210.60) | 12.97 (25.39) | <0.001 |
| IL-8 | 35.14 (64.19) | 8.23 (13.25) | <0.001 | 37.89 (102.54) | 8.65 (15.52) | 0.011 | 10.20 (19.87) | 7.22 (10.15) | <0.001 |
| IL-10 | 37.62 (68.07) | 3.92 (6.71) | <0.001 | 80.99 (143.63) | 4.09 (7.67) | 0.021 | 5.98 (19.43) | 2.62 (3.23) | <0.001 |
| IL-12 | 0.97 (1.94) | 1.13 (1.69) | 0.185 | 0.42 (1.04) | 1.12 (1.70) | 0.081 | 1.08 (1.75) | 1.23 (1.66) | 0.268 |
| IL-17A | 2.81 (6.12) | 3.47 (5.38) | 0.402 | 5.12 (10.96) | 3.44 (5.33) | 0.644 | 3.50 (5.71) | 24.94 (4.58) | 0.820 |
| TNF-α | 0.90 (1.74) | 1.00 (1.40) | 0.806 | 0.88 (1.86) | 0.99 (1.40) | 0.631 | 1.06 (1.55) | 0.98 (1.12) | 0.228 |
| IFN-α | 3.09 (10.98) | 1.59 (4.58) | 0.060 | 1.73 (17.60) | 1.68 (4.93) | 0.620 | 2.05 (6.22) | 1.30 (3.17) | 0.005 |
| IFN-γ | 0.64 (0.84) | 0.75 (1.01) | 0.719 | 0.64 (1.60) | 0.72 (1.00) | 0.696 | 0.68 (0.80) | 0.87 (1.41) | 0.007 |
| Variables | β-Value | OR | 95%CI | p-Value | |
|---|---|---|---|---|---|
| Lower Limit | Upper Limit | ||||
| Intercept | 0.3726 | 0.2929 | |||
| Age group | −0.0808 | 0.6730000 | 0.4871700 | 0.929710 | 0.0163 |
| IL-5 | 0.0044 | 0.0026846 | −0.0057392 | 0.011108 | 0.5322 |
| IL-6 | −0.0001 | 0.9933200 | 0.9287100 | 1.062400 | 0.8452 |
| IL-8 | −0.0020 | 0.9683400 | 0.8649700 | 1.084100 | 0.5764 |
| IL-10 | 0.1069 | 2.4679000 | 1.7362000 | 3.508000 | <0.0001 |
| IL-17A | 0.0294 | 1.1711000 | 0.9445800 | 1.452000 | 0.1498 |
| IFN-γ | −0.2161 | 0.8056300 | 0.7153100 | 0.907360 | 0.0004 |
Disclaimer/Publisher’s Note: The statements, opinions and data contained in all publications are solely those of the individual author(s) and contributor(s) and not of MDPI and/or the editor(s). MDPI and/or the editor(s) disclaim responsibility for any injury to people or property resulting from any ideas, methods, instructions or products referred to in the content. |
© 2025 by the authors. Licensee MDPI, Basel, Switzerland. This article is an open access article distributed under the terms and conditions of the Creative Commons Attribution (CC BY) license (https://creativecommons.org/licenses/by/4.0/).
Share and Cite
Zhou, J.; Liu, G.; Song, X.; Kang, Q. Discriminatory Value and Validation of a Risk Prediction Model Based on Serum Cytokines in Pediatric Acute Appendicitis: A Single-Center Experience of 483 Cases. Children 2025, 12, 298. https://doi.org/10.3390/children12030298
Zhou J, Liu G, Song X, Kang Q. Discriminatory Value and Validation of a Risk Prediction Model Based on Serum Cytokines in Pediatric Acute Appendicitis: A Single-Center Experience of 483 Cases. Children. 2025; 12(3):298. https://doi.org/10.3390/children12030298
Chicago/Turabian StyleZhou, Jiajia, Guobin Liu, Xiaofeng Song, and Quan Kang. 2025. "Discriminatory Value and Validation of a Risk Prediction Model Based on Serum Cytokines in Pediatric Acute Appendicitis: A Single-Center Experience of 483 Cases" Children 12, no. 3: 298. https://doi.org/10.3390/children12030298
APA StyleZhou, J., Liu, G., Song, X., & Kang, Q. (2025). Discriminatory Value and Validation of a Risk Prediction Model Based on Serum Cytokines in Pediatric Acute Appendicitis: A Single-Center Experience of 483 Cases. Children, 12(3), 298. https://doi.org/10.3390/children12030298
