Exploring the Continuous Glucose Monitoring in Pediatric Diabetes: Current Practices, Innovative Metrics, and Future Implications
Abstract
1. Introduction
2. Clinical Practice of CGM in Diabetes in Children and Adolescents with T1D
2.1. CGM Devices Approved for the Pediatric Age
2.2. Glycemic Targets
- >70% TIR between 3.9 and 10 mmol/L (70–180 mg/dL);
- <4% TBR (low) < 3.9 mmol/L (70 mg/dL);
- <1% TBR (very low) < 3.0 mmol/L (54 mg/dL);
- <25% TAR (high) >10 mmol/L (180 mg/dL);
- <5% TAR (very high) >13.9 mmol/L (250 mg/dL);
- Coefficient of variation (%CV) target ≤ 36% [2].
3. New Emerging CGM Metrics
3.1. Time in Tight Range (TITR)
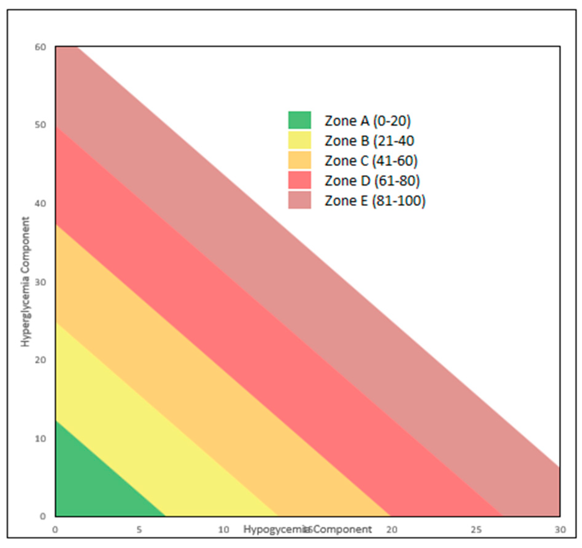
3.2. Glycemia Risk Index (GRI)
4. Future Implementation of CGM Use in the Pediatric Age
4.1. Prevention of T1D Complications
4.2. Early Stages of T1D
4.3. CGM and Obesity
5. Conclusions
Author Contributions
Funding
Institutional Review Board Statement
Informed Consent Statement
Data Availability Statement
Conflicts of Interest
References
- de Bock, M.; Codner, E.; Craig, M.E.; Huynh, T.; Maahs, D.M.; Mahmud, F.H.; Marcovecchio, L.; DiMeglio, L.A. ISPAD Clinical Practice Consensus Guidelines 2022: Glycemic targets and glucose monitoring for children, adolescents, and young people with diabetes. Pediatr. Diabetes 2022, 23, 1270–1276. [Google Scholar] [CrossRef]
- Tauschmann, M.; Forlenza, G.; Hood, K.; Cardona-Hernandez, R.; Giani, E.; Hendrieckx, C.; DeSalvo, D.J.; Laffel, L.M.; Saboo, B.; Wheeler, B.J.; et al. ISPAD Clinical Practice Consensus Guidelines 2022: Diabetes technologies: Glucose monitoring. Pediatr. Diabetes 2022, 23, 1390–1405. [Google Scholar] [CrossRef] [PubMed]
- Battelino, T.; Danne, T.; Bergenstal, R.M.; Amiel, S.A.; Beck, R.; Biester, T.; Bosi, E.; Buckingham, B.A.; Cefalu, W.T.; Close, K.L.; et al. Clinical Targets for Continuous Glucose Monitoring Data Interpretation: Recommendations from the International Consensus on Time in Range. Diabetes Care 2019, 42, 1593–1603. [Google Scholar] [CrossRef] [PubMed]
- Piona, C.; Marigliano, M.; Roncarà, C.; Mozzillo, E.; Di Candia, F.; Zanfardino, A.; Iafusco, D.; Maltoni, G.; Zucchini, S.; Piccinno, E.; et al. Glycemia Risk Index as a Novel Metric to Evaluate the Safety of Glycemic Control in Children and Adolescents with Type 1 Diabetes: An Observational, Multicenter, Real-Life Cohort Study. Diabetes Technol. Ther. 2023, 25, 507–512. [Google Scholar] [CrossRef]
- Klonoff, D.C.; Wang, J.; Rodbard, D.; Kohn, M.A.; Li, C.; Liepmann, D.; Kerr, D.; Ahn, D.; Peters, A.L.; Umpierrez, G.E.; et al. A Glycemia Risk Index (GRI) of Hypoglycemia and Hyperglycemia for Continuous Glucose Monitoring Validated by Clinician Ratings. J. Diabetes Sci. Technol. 2023, 17, 1226–1242. [Google Scholar] [CrossRef]
- Passanisi, S.; Piona, C.; Salzano, G.; Marigliano, M.; Bombaci, B.; Morandi, A.; Alibrandi, A.; Maffeis, C.; Lombardo, F. Aiming for the Best Glycemic Control Beyond Time in Range: Time in Tight Range as a New Continuous Glucose Monitoring Metric in Children and Adolescents with Type 1 Diabetes Using Different Treatment Modalities. Diabetes Technol. Ther. 2024, 26, 161–166. [Google Scholar] [CrossRef]
- Beck, R.W. Is It Time to Replace Time-in-Range with Time-in-Tight-Range? Maybe Not. Diabetes Technol. Ther. 2024, 26, 147–150. [Google Scholar] [CrossRef] [PubMed]
- Beck, R.W.; Raghinaru, D.; Calhoun, P.; Bergenstal, R.M. A Comparison of Continuous Glucose Monitoring-Measured Time-in-Range 70–180 mg/dL versus Time-in-Tight-Range 70–140 mg/dL. Diabetes Technol. Ther. 2024, 26, 151–155. [Google Scholar] [CrossRef]
- Dovc, K.; Bode, B.W.; Battelino, T. Continuous and Intermittent Glucose Monitoring in 2023. Diabetes Technol. Ther. 2024, 26, S14–S31. [Google Scholar] [CrossRef]
- Cardona-Hernandez, R.; Schwandt, A.; Alkandari, H.; Bratke, H.; Chobot, A.; Coles, N.; Corathers, S.; Goksen, D.; Goss, P.; Imane, Z.; et al. Glycemic Outcome Associated with Insulin Pump and Glucose Sensor Use in Children and Adolescents with Type 1 Diabetes. Data from the International Pediatric Registry SWEET. Diabetes Care 2021, 44, 1176–1184. [Google Scholar] [CrossRef]
- Danne, T.; Nimri, R.; Battelino, T.; Bergenstal, R.M.; Close, K.L.; DeVries, J.H.; Garg, S.; Heinemann, L.; Hirsch, I.; Amiel, S.A.; et al. International Consensus on Use of Continuous Glucose Monitoring. Diabetes Care 2017, 40, 1631–1640. [Google Scholar] [CrossRef]
- Dexcom G6 vs G7 CGM: What Is the Difference/Dexcom. Available online: https://www.dexcom.com/en-us/compare-g6-and-g7 (accessed on 15 June 2024).
- Type 1 Diabetes/Medtronic Diabetes. Available online: https://www.medtronic-diabetes.com/ (accessed on 15 June 2024).
- FreeStyle Libre 3 vs. FreeStyle Libre 2 vs Dexcom G7/Compare CGM. Available online: https://www.freestyle.abbott/us-en/compare-cgms.html (accessed on 15 June 2024).
- Introducing the Eversence E3® GCM System/Ascencia Diabetes Care. Available online: https://www.ascensiadiabetes.com/eversense/ (accessed on 15 July 2024).
- Berg, A.K.; Grauslund, A.C.; Sørensen, F.; Thorsen, S.U.; Thyssen, J.P.; Zachariae, C.; Svensson, J. A Skin Care Program to Prevent Skin Problems due to Diabetes Devices in Children and Adolescents: A Cluster-Controlled Intervention Study. Diabetes Care 2023, 46, 1770–1777. [Google Scholar] [CrossRef]
- Bellido, V.; Aguilera, E.; Cardona-Hernandez, R.; Diaz-Soto, G.; González Pérez de Villar, N.; Picón-César, M.J.; Ampudia-Blasco, F.J. Expert Recommendations for Using Time-in-Range and Other Continuous Glucose Monitoring Metrics to Achieve Patient-Centered Glycemic Control in People with Diabetes. J. Diabetes Sci. Technol. 2023, 17, 1326–1336. [Google Scholar] [CrossRef] [PubMed]
- Beck, R.W.; Bergenstal, R.M.; Riddlesworth, T.D.; Kollman, C.; Li, Z.; Brown, A.S.; Close, K.L. Validation of Time in Range as an Outcome Measure for Diabetes Clinical Trials. Diabetes Care 2019, 42, 400–405. [Google Scholar] [CrossRef]
- Piona, C.; Marigliano, M.; Mozzillo, E.; Di Candia, F.; Zanfardino, A.; Iafusco, D.; Maltoni, G.; Zucchini, S.; Delvecchio, M.; Maffeis, C. High Glycemic Variability Is Associated with Worse Continuous Glucose Monitoring Metrics in Children and Adolescents with Type 1 Diabetes. Horm. Res. Paediatr. 2021, 94, 369–373. [Google Scholar] [CrossRef]
- Shah, V.N.; DuBose, S.N.; Li, Z.; Beck, R.W.; Peters, A.L.; Weinstock, R.S.; Kruger, D.; Tansey, M.; Sparling, D.; Woerner, S.; et al. Continuous Glucose Monitoring Profiles in Healthy Nondiabetic Participants: A Multicenter Prospective Study. J. Clin. Endocrinol. Metab. 2019, 104, 4356–4364, Erratum in J. Clin. Endocrinol. Metab. 2022, 107, e1775–e1776. [Google Scholar] [CrossRef] [PubMed]
- Battelino, T.; Alexander, C.M.; Amiel, S.A.; Arreaza-Rubin, G.; Beck, R.W.; Bergenstal, R.M.; Buckingham, B.A.; Carroll, J.; Ceriello, A.; Chow, E.; et al. Continuous glucose monitoring and metrics for clinical trials: An international consensus statement. Lancet Diabetes Endocrinol. 2023, 11, 42–57, Erratum in Lancet Diabetes Endocrinol. 2024, 12, e12. [Google Scholar] [CrossRef]
- Petersson, J.; Åkesson, K.; Sundberg, F.; Särnblad, S. Translating glycated hemoglobin A1c into time spent in glucose target range: A multicenter study. Pediatr. Diabetes 2019, 20, 339–344. [Google Scholar] [CrossRef]
- Eviz, E.; Killi, N.E.; Karakus, K.E.; Can, E.; Gokce, T.; Yesiltepe Mutlu, G.; Hatun, S. Assessing the feasibility of time in tight range (TITR) targets with advanced hybrid closed loop (AHCL) use in children and adolescents: A single-centre real-world study. Diabet. Med. 2024, 26, e15333. [Google Scholar] [CrossRef]
- Dunn, T.C.; Ajjan, R.A.; Bergenstal, R.M.; Xu, Y. Is It Time to Move Beyond TIR to TITR? Real-World Data from Over 20,000 Users of Continuous Glucose Monitoring in Patients with Type 1 and Type 2 Diabetes. Diabetes Technol. Ther. 2024, 26, 203–210. [Google Scholar] [CrossRef] [PubMed]
- Hamidi, V.; Pettus, J.H. Time in Tight Range for Patients with Type 1 Diabetes: The Time Is Now, or Is It Too Soon? Diabetes Care 2024, 47, 782–784. [Google Scholar] [CrossRef] [PubMed]
- Passanisi, S.; Salzano, G.; Bombaci, B.; Minuto, N.; Bassi, M.; Bonfanti, R.; Scialabba, F.; Mozzillo, E.; Di Candia, F.; Monti, S.; et al. Sustained Effectiveness of an Advanced Hybrid Closed-Loop System in a Cohort of Children and Adolescents with Type 1 Diabetes: A 1-Year Real-World Study. Diabetes Care 2024, 47, 1084–1091. [Google Scholar] [CrossRef]
- Panfil, K.; Redel, J.M.; Vandervelden, C.A.; Lockee, B.; Kahkoska, A.R.; Tallon, E.M.; Williams, D.D.; Clements, M.A. Correlation between the Glycemia Risk Index and Longitudinal Hemoglobin A1c in Children and Young Adults with Type 1 Diabetes. J. Diabetes Sci. Technol. 2024, 18, 771–778. [Google Scholar] [CrossRef] [PubMed]
- Morrison, D.; Vogrin, S.; Zaharieva, D.P. Assessment of Glycemia Risk Index and Standard Continuous Glucose Monitoring Metrics in a Real-World Setting of Exercise in Adults with Type 1 Diabetes: A Post-Hoc Analysis of the Type 1 Diabetes and Exercise Initiative. J. Diabetes Sci. Technol. 2024, 18, 787–794. [Google Scholar] [CrossRef]
- Panfil, K.; Vandervelden, C.A.; Lockee, B.; Tallon, E.M.; Williams, D.D.; Lee, J.M. The Glycemia Risk Index Predicts Performance of Diabetes Self-Management Habits in Youth with Type 1 Diabetes Mellitus. J. Diabetes Sci. Technol. 2024, 18, 779–786. [Google Scholar] [CrossRef]
- Yapanis, M.; James, S.; Craig, M.E.; O’Neal, D.; Ekinci, E.I. Complications of Diabetes and Metrics of Glycemic Management Derived from Continuous Glucose Monitoring. J. Clin. Endocrinol. Metab. 2022, 107, e2221–e2236. [Google Scholar] [CrossRef]
- Morandi, A.; Piona, C.; Corradi, M.; Marigliano, M.; Giontella, A.; Orsi, S.; Emiliani, F.; Tagetti, A.; Marcon, D.; Fava, C.; et al. Risk factors for pre-clinical atherosclerosis in adolescents with type 1 diabetes. Diabetes Res. Clin. Pract. 2023, 198, 110618. [Google Scholar] [CrossRef] [PubMed]
- Piona, C.; Marigliano, M.; Mancioppi, V.; Mozzillo, E.; Occhiati, L.; Zanfardino, A.; Iafusco, D.; Maltoni, G.; Zucchini, S.; Delvecchio, M.; et al. Glycemic variability and Time in range are associated with the risk of overweight and high LDL-cholesterol in children and youths with Type 1 Diabetes. Horm. Res. Paediatr. 2023. ahead of print. [Google Scholar] [CrossRef] [PubMed]
- Steck, A.K.; Dong, F.; Geno Rasmussen, C.; Bautista, K.; Sepulveda, F.; Baxter, J.; Yu, L.; Frohnert, B.I.; Rewers, M.J.; ASK Study Group. CGM Metrics Predict Imminent Progression to Type 1 Diabetes: Autoimmunity Screening for Kids (ASK) Study. Diabetes Care 2022, 45, 365–371. [Google Scholar] [CrossRef]
- Wilson, D.M.; Pietropaolo, S.L.; Acevedo-Calado, M.; Huang, S.; Anyaiwe, D.; Scheinker, D.; Steck, A.K.; Vasudevan, M.M.; McKay, S.V.; Sherr, J.L.; et al. CGM Metrics Identify Dysglycemic States in Participants from the TrialNet Pathway to Prevention Study. Diabetes Care 2023, 46, 526–534. [Google Scholar] [CrossRef]
- Steck, A.K.; Dong, F.; Taki, I.; Hoffman, M.; Simmons, K.; Frohnert, B.I.; Rewers, M.J. Continuous Glucose Monitoring Predicts Progression to Diabetes in Autoantibody Positive Children. J. Clin. Endocrinol. Metab. 2019, 104, 3337–3344. [Google Scholar] [CrossRef]
- Ylescupidez, A.; Speake, C.; Pietropaolo, S.L.; Wilson, D.M.; Steck, A.K.; Sherr, J.L.; Gaglia, J.L.; Bender, C.; Lord, S.; Greenbaum, C.J. OGTT Metrics Surpass Continuous Glucose Monitoring Data for T1D Prediction in Multiple-Autoantibody-Positive Individuals. J. Clin. Endocrinol. Metab. 2023, 109, 57–67, Erratum in J. Clin. Endocrinol. Metab. 2024, 109, e881. [Google Scholar] [CrossRef] [PubMed]
- Maffeis, C.; Olivieri, F.; Valerio, G.; Verduci, E.; Licenziati, M.R.; Calcaterra, V.; Pelizzo, G.; Salerno, M.; Staiano, A.; Bernasconi, S.; et al. The treatment of obesity in children and adolescents: Consensus position statement of the Italian society of pediatric endocrinology and diabetology, Italian Society of Pediatrics and Italian Society of Pediatric Surgery. Ital. J. Pediatr. 2023, 49, 69. [Google Scholar] [CrossRef] [PubMed]
- Hampl, S.E.; Hassink, S.G.; Skinner, A.C.; Armstrong, S.C.; Barlow, S.E.; Bolling, C.F.; Avila Edwards, K.C.; Eneli, I.; Hamre, R.; Joseph, M.M.; et al. Clinical Practice Guideline for the Evaluation and Treatment of Children and Adolescents with Obesity. Pediatrics 2023, 151, e2022060640, Erratum in Pediatrics 2024, 153, e2023064612. [Google Scholar] [CrossRef] [PubMed]
- Shah, A.S.; Zeitler, P.S.; Wong, J.; Pena, A.S.; Wicklow, B.; Arslanian, S.; Chang, N.; Fu, J.; Dabadghao, P.; Pinhas-Hamiel, O.; et al. ISPAD Clinical Practice Consensus Guidelines 2022: Type 2 diabetes in children and adolescents. Pediatr. Diabetes 2022, 23, 872–902. [Google Scholar] [CrossRef] [PubMed]
- Zahalka, S.J.; Galindo, R.J.; Shah, V.N.; Low Wang, C.C. Continuous Glucose Monitoring for Prediabetes: What Are the Best Metrics? J. Diabetes Sci. Technol. 2024, 18, 835–846. [Google Scholar] [CrossRef]


| CGM Medtronic Guardian 4 | CGM Medtronic Simplera | FreeStyle Libre 2 | FreeStyle Libre 3 | Dexcom G6 | Dexcom G7 | Dexcom One | Medtrum S9 CGM System | |
|---|---|---|---|---|---|---|---|---|
| Registration | >7 years old | >2 years old | >4 years old | >4 years old | >2 years old | >2 years old | >2 years old | >2 years old |
| Sensor lifespan | 7 days | 7 days | 14 days | 14 days | 10 days | 10 days | 10 days | 14 days |
| Glucose reading frequency | Every 5 min | Every 5 min | Every 1 min | Every 1 min | Every 5 min | Every 5 min | Every 5 min | Every 2 min |
| Wear location | Back of the upper arm (7–17 years) | Back of upper arm Upper buttocks (2–17 years) | Back of the upper arm | Back of the upper arm | Back of the upper arm Abdomen Upper buttocks (2–17 years) | Back of the upper arm Upper buttocks (2–6 years) | Back of the upper arm Abdomen Upper buttocks (2–6 years) | Back of the upper arm Abdomen Upper buttocks (children) |
| MARD | 10.6% (adults) 11.6% (children) | 10.9% (children-arm) 10.2% (children-buttock) | 9.2–9.5% | 7.8–7.9% | 9% | 8.1% (arm) | 8.7% | 9.7% |
| Alerts | Yes | Yes | When scanned | Yes | Yes | Yes | Yes | Yes |
| Warm-up time | 2 h | 2 h | 1 h | 1 h | 2 h | 30 min | 30 min | 30 min |
Disclaimer/Publisher’s Note: The statements, opinions and data contained in all publications are solely those of the individual author(s) and contributor(s) and not of MDPI and/or the editor(s). MDPI and/or the editor(s) disclaim responsibility for any injury to people or property resulting from any ideas, methods, instructions or products referred to in the content. |
© 2024 by the authors. Licensee MDPI, Basel, Switzerland. This article is an open access article distributed under the terms and conditions of the Creative Commons Attribution (CC BY) license (https://creativecommons.org/licenses/by/4.0/).
Share and Cite
Chobot, A.; Piona, C.; Bombaci, B.; Kamińska-Jackowiak, O.; Mancioppi, V.; Passanisi, S. Exploring the Continuous Glucose Monitoring in Pediatric Diabetes: Current Practices, Innovative Metrics, and Future Implications. Children 2024, 11, 907. https://doi.org/10.3390/children11080907
Chobot A, Piona C, Bombaci B, Kamińska-Jackowiak O, Mancioppi V, Passanisi S. Exploring the Continuous Glucose Monitoring in Pediatric Diabetes: Current Practices, Innovative Metrics, and Future Implications. Children. 2024; 11(8):907. https://doi.org/10.3390/children11080907
Chicago/Turabian StyleChobot, Agata, Claudia Piona, Bruno Bombaci, Olga Kamińska-Jackowiak, Valentina Mancioppi, and Stefano Passanisi. 2024. "Exploring the Continuous Glucose Monitoring in Pediatric Diabetes: Current Practices, Innovative Metrics, and Future Implications" Children 11, no. 8: 907. https://doi.org/10.3390/children11080907
APA StyleChobot, A., Piona, C., Bombaci, B., Kamińska-Jackowiak, O., Mancioppi, V., & Passanisi, S. (2024). Exploring the Continuous Glucose Monitoring in Pediatric Diabetes: Current Practices, Innovative Metrics, and Future Implications. Children, 11(8), 907. https://doi.org/10.3390/children11080907

