You are currently viewing a new version of our website. To view the old version click .
Children
  • Article
  • Open Access

14 May 2024

The Clinical Pulmonary Infection Score Combined with Procalcitonin and Lung Ultrasound (CPIS-PLUS), a Good Tool for Ventilator Associated Pneumonia Early Diagnosis in Pediatrics

,
,
,
,
,
,
,
and
1
Pediatric Intensive Care Unit, Hospital Sant Joan de Déu, University of Barcelona, Passeig de Sant Joan de Déu, 2, 08950 Barcelona, Spain
2
Faculty of Medicine, University of Barcelona, c. Casanova, 143, 08036 Barcelona, Spain
3
Immunological and Respiratory Disorders in the Paediatric Critical Patient Research Group, Institut de Recerca Sant Joan de Déu, University of Barcelona, 08950 Barcelona, Spain
4
Neonatal Intensive Care Unit, Hospital Sant Joan de Déu, University of Barcelona, 08950 Barcelona, Spain
This article belongs to the Special Issue Application of Pulmonary Ultrasonography in Children

Abstract

Ventilator-associated pneumonia (VAP) is common in Pediatric Intensive Care Units. Although early detection is crucial, current diagnostic methods are not definitive. This study aimed to identify lung ultrasound (LUS) findings and procalcitonin (PCT) values in pediatric patients with VAP to create a new early diagnosis score combined with the Clinical Pulmonary Infection Score (CPIS), the CPIS-PLUS score. Prospective longitudinal and interventional study. Pediatric patients with suspected VAP were included and classified into VAP or non-VAP groups, based on Centers of Disease Control (CDC) criteria for the final diagnosis. A chest-X-ray (CXR), LUS, and blood test were performed within the first 12 h of admission. CPIS score was calculated. A total of 108 patients with VAP suspicion were included, and VAP was finally diagnosed in 51 (47%) patients. CPIS-PLUS showed high accuracy in VAP diagnosis with a sensitivity (Sn) of 80% (95% CI 65–89%) and specificity (Sp) of 73% (95% CI 54–86%). The area under the curve (AUC) resulted in 0.86 for CPIS-PLUS vs. 0.61 for CPIS. In conclusion, this pilot study showed that CPIS-PLUS could be a potential and reliable tool for VAP early diagnosis in pediatric patients. Internal and external validations are needed to confirm the potential value of this score to facilitate VAP diagnosis in pediatric patients.

1. Introduction

Ventilator associated pneumonia (VAP) is the second most frequent hospital-acquired infection (HAI) in the Pediatric Intensive Care Unit (PICU) [1,2,3,4,5]. Its incidence is defined between 5–14% of ventilated pediatric patients [6,7,8,9] and is associated with increased length of stay (LOS), broad-spectrum antibiotic usage, morbidity, and mortality [10,11,12,13]. VAP suspicion should be treated promptly but not massively [14,15,16]. Common entities in critically ill patients, such as pulmonary edema, pulmonary hemorrhage, and acute respiratory distress syndrome, may overlap with pneumonia features [17,18,19], leading to an antibiotic overuse. Due to VAP incidence and the lack of an early suspicion diagnosis gold standard [20,21] there is a need for new diagnostic approaches for development.
The chest X-ray (CXR) is the most widely used image diagnosis test. The changes in radiological findings are intrinsic to most diagnostic VAP algorithms [22]. However, evidence suggests that the inherent subjectivity and shortcomings of the CXR findings make it poorly specific for ICU use [23]. The computed tomography (CT) is the gold standard [24], but its drawbacks include radiation (especially in pediatrics) and patient transfer challenges. Lung ultrasound (LUS) is a radiation-free and bedside-available alternative that has shown promise in diagnosing VAP in adults [24,25]. However, LUS has limitations as it is operator dependent and does not provide a panoramic view of both lungs or quantify pneumothorax. A recent study [15] has also found that LUS can diagnose VAP in the early stage and with high sensitivity (Sn) and specificity (Sp). Nevertheless, scarce data exists regarding its role and usefulness in pediatric VAP diagnosis, with ongoing investigations [26,27].
Prompt antibiotic indication is crucial in VAP to prevent increased morbidity and mortality [28,29]. However, empirical therapy (which accounts for half of antibiotic use in PICU), and extended treatment without VAP confirmation can lead to inappropriate and excessive antibiotic use, fostering antimicrobial resistance [30,31,32]. Moreover, patients with VAP are at a high risk for antimicrobial resistance microorganisms (AMR) infections.
The use of biomarkers like procalcitonin (PCT) and C-reactive protein (CRP) might be helpful to elucidate the etiology of bacterial respiratory infections potentially requiring antibiotics. PCT usefulness has been proven for bacterial infection diagnosis [26,33,34,35,36,37], being more Sn than CRP (92 vs. 86%) for similar Sp (73 and 70%) [34]. However, despite its role in pneumonia diagnosis, PCT alone may not confirm the diagnosis of bacterial pneumonia [38].
The Clinical Pulmonary Infection Score (CPIS) [39,40] has been proposed as a diagnosis tool for VAP in pediatric patients [41,42]. It combines various clinical, analytical, imaging, and microbiological data to calculate a score that guides VAP diagnosis. Nevertheless, subsequent studies have shown that the CPIS score has a low diagnostic performance [43], leading to VAP over-diagnose and excessive prescription of antibiotics [21].
In the adult population, a new CIPIS score incorporating PCT and/or LUS findings demonstrated to improve accuracy in VAP diagnosis [15,44,45], but a reliable diagnostic tool for early VAP diagnosis in pediatrics is required.
The aim of our study was to develop a new score based on CPIS, incorporating PCT values (CPIS-PLUS) and/or LUS (CPIS-LUS) and to analyze its accuracy for pediatric VAP diagnosis.

2. Materials and Methods

2.1. Study Design and Patients

This was a prospective longitudinal and interventional study conducted in a PICU of a tertiary pediatric hospital. The study included patients under 18 years old admitted to the PICU with VAP suspicion, between 2017–2020. Patients with underlying pathologies such as cystic fibrosis or those who were immunocompromised were excluded. Violation of the study protocol and refusal of parental consent were considered withdrawal and abandonment criteria. Written parental informed consent was mandatory. The study was conducted in accordance with the Declaration of Helsinki and approved by the local Healthcare Ethics Committee and the Institutional Review Board (code: PIC-139-16).

2.2. Definitions

Suspected VAP: The presence of a new respiratory deterioration after 48 h of mechanical ventilation associated with clinical signs and symptoms and laboratory parameters (temperature of <36 °C or ≥38 °C, leukocyte count of ≤4.000 or ≥11.000/mm3, new onset of purulent sputum or change in character sputum, tachypnea, shortness of breath) and/or abnormal respiratory auscultation sounds (hypoventilation, tubular breath sounds, murmur) [4,46].
Confirmed VAP: final diagnosis of VAP was completed based on the CDC’s definition (Table S1) [4,46].

2.3. Variables

Demographic data: age, sex, medical history, previous comorbidities, and the Pediatric Risk Score of Mortality III scale (PRISM III). Microbiological data: viral determination in respiratory samples; bacterial cultures and the isolated microorganism—in bronchoaspirate (BA) or bronchoalveolar lavage (BAL) and blood culture. Evolution data: need and duration of respiratory support like noninvasive ventilation (NIV, meaning CPAP and BiPAP), conventional mechanical ventilation (CMV), and nitric oxide (NO); need and duration of hemodynamic support and extracorporeal membrane oxygenation (ECMO); length of hospital and in PICU stay (LOS). Mortality was considered any death occurring at 28 days of discharge.

2.4. Image Diagnostic Test

CXR was interpreted by a senior consultant radiologist who specializes in pediatrics and has dedicated his entire 15-year career to this field, with a special focus on pediatric pulmonary pathologies. The diagnosis of bacterial pneumonia (BP) was based on previous publications [47].
LUS was performed by intensive care physicians who had received special training in LUS and had at least 3 years of experience, and more than 250 LUS performed. Subjects were examined in the supine and lateral decubitus positions. A 12-Mhz lineal probe was used to systemically scan 6 areas for each hemithorax (superior and inferior of each anterior, lateral, and posterior zones), in accordance with international recommendations [48].
The LUS features considered were [11,15,49]:
-
The presence of B-lines and their characteristics (long, spared or confluent), and their position (peri-lesional, unilateral/bilateral).
-
The main lesions (consolidation): size (divided into <15 mm, 15–20 mm, >20 mm), if they were single or multiple, location (unilateral or bilateral) [49]
-
The presence and number (<2 or ≥2) of small subpleural consolidations (<10 mm in diameter) and their position (unilateral/bilateral) [11,15,49].
-
Presence and type of bronchogram and its dynamicity during breath (fix or dynamic).
-
Presence of pleural effusion.
-
Presence of pneumothorax (lung point, absence of lung sliding (M-mode).
The different patterns of aeration and diagnosis of pneumonia were based on previous publications [11,26,50,51]. BP pattern was based on the presence of lung consolidation with air bronchogram and/or the presence of whiteout lung [11,52]. Atelectasis was considered as consolidation with a tissue-like pattern with static air bronchogram [11,52,53].

2.5. PCT Values

PCT values were determined via LumiTest®PCT immune-luminometric assay (ATOM S.A.; Brahms Diagnostica GmbH, Hennigsdorf, Germany). PCT values were established based on the findings of previous similar studies conducted in adults reported in the literature [44]. The cut-off points of PCT score were categorized as <0.5 ng/mL, ≥0.5–1 ng/mL, and ≥1 ng/mL, and were assigned values of 1, 2 and 3 points, respectively. The development of these cut-off points was based on a previous clinical trial that aimed to decrease the use of antibiotic therapies in the ICU (PRORATA trial) [54].

2.6. Microbiological Study

Cultures were indicated according to medical criteria when bacterial infection was suspected. To differentiate between colonization and infection, the quantification of colony forming units (CFU) per milliliter was used. The BA/BAL cultures were considered positive if there was growth of >105 CFU/mL for BA, and >104 CFU/mL for BAL [55,56,57].
Table S2 shows threshold values for cultured specimens used in the diagnosis of pneumonia.

2.7. Data Management

Demographical and clinical data, and analytical and microbiological results were collected. When VAP was suspected (after a minimum of 48 h under CMV), patients underwent a chest X-ray (CXR), a lung ultrasound (LUS), and a blood test including procalcitonin (PCT) determination within the first 12 h of VAP suspicion. The CPIS score, shown in Table 1, was calculated in all patients at the same time [39]. CXR and LUS images were recorded and stored for further checks if needed.
Table 1. CPIS [39] Clinical Pulmonary Infection Score.
Patients were classified into two groups; confirmed VAP and no-VAP. Different scores based on previous publications [11,15,45] were defined and calculated in both groups.
The accuracy of each test (CPIS, CPIS-LUS and CPIS-PLUS) was calculated to identify the CPIS score with better accuracy. The values of the LUS test were assigned in accordance with previous reports [58].

2.8. Outcomes

The outcome was to assess the accuracy of the different scores: CPIS, CPIS-LUS, and CPIS-PLUS for VAP early diagnosis.

2.9. Statistical Analysis

Descriptive statistical analysis of data was performed using the compareGroups R package [59]. Quantitative variables were described by mean and standard deviation or median and interquartile range (IQR), depending on the variable distribution. Frequencies and percentages were used for qualitative variables. The proportions of categorical variables were compared using the X2 test or Fisher’s exact test, and odds ratios were estimated to assess the magnitude of the association. Comparison of means of continuous variables was assessed by the t-test or Mann–Whitney U test.
The score assignment to construct the CPIS-PLUS tests was based on the log-odds ratios criteria, as suggested in [59]. Diagnostic accuracy and predictive ability of the CPIS-PLUS tests were assessed by estimation of the sensitivity (Sn), specificity (Sp), positive and negative predictive values (PPV and NPV), and area under the ROC curve (AUC) using the ThresholdROC v.2.9 [60,61] and pROC R packages v.1.18 [61]. Optimum cut-off points were estimated by maximizing the Youden index, whilst paired AUC were compared using DeLong’s approach. A p-value of <0.05 was considered statistically significant.

3. Results

A total of 108 patients had eligibility criteria for suspected VAP and were enrolled. There were 56 (51.9%) males, and the median age was 8.4 months old (IQR 0.76–57). The median PICU LOS was 23 days (IQR 16–60.5), and the median hospitalization LOS resulted in 43 days (IQR 25–108). Of the 108 patients, 51 (47.2%) patients were finally diagnosed with VAP, which represents a mean rate of 4.8/1000 mechanical ventilation days along the study period. The CPIS score resulted in a mean of 6.63 (standard deviation (SD) 1.74) vs. 5.09 (SD 2.12) points (p < 0.01), for patients with and without VAP, respectively. Demographic and clinical characteristics were similar in both groups (VAP and no-VAP); Table 2.
Table 2. Demographic and clinical variables.
LUS was performed on 84 patients. Figure S1 compares CXR and LUS findings in a patient with confirmed VAP.
Regarding LUS findings, different features were found in patients with VAP vs. no-VAP final diagnosis:
(1)
Lobar consolidations were found in 47 (69.1%) vs. 21 (30.9%) patients; and subpleural consolidations in one (12.5%) vs. in seven (87.5%) cases, p < 0.001.
(2)
Unilateral consolidations were found in 41 (73.2%) vs. 15 (26.8%) patients; and bilateral consolidations in seven (35%) vs. thirteen (65%) cases, p < 0.001.
(3)
Consolidations > 20 mm were found in 39 (76.5%) vs. 12 (23.5%) patients, and those between 15–20 mm in eight (47.1%) vs. nine (52.9%) cases, p < 0.001.
(4)
Regarding the presence and type of bronchogram: dynamic bronchogram (DB) was seen in thirty-eight (95%) vs. two (5%) patients; and static bronchogram (SB) in 10 (34.5%) vs. 19 (65.5%) cases (p < 0.001).
(5)
PCT resulted with a median of 0.47 (IQR 0.17–1.32) in VAP patients vs. 0.21 (IQR 0.10–0.79) in those without VAP, p = 0.300.
LUS findings and PCT values with its log-odds ratios are described in Table 3.
Table 3. LUS findings, PCT values, and its log-odds ratio in all patients, and in both VAP and No-VAP groups.
The CPIS-PLUS score was designed considering the OR of each LUS finding and PCT values in both VAP and non-VAP patients, assigning different punctuation according to these results. The sub-analysis of the different LUS features demonstrated that the best LUS feature to predict VAP was the presence of dynamic air bronchogram. Table 4 shows the new proposed Score.
Table 4. CPIS-PLUS Score.
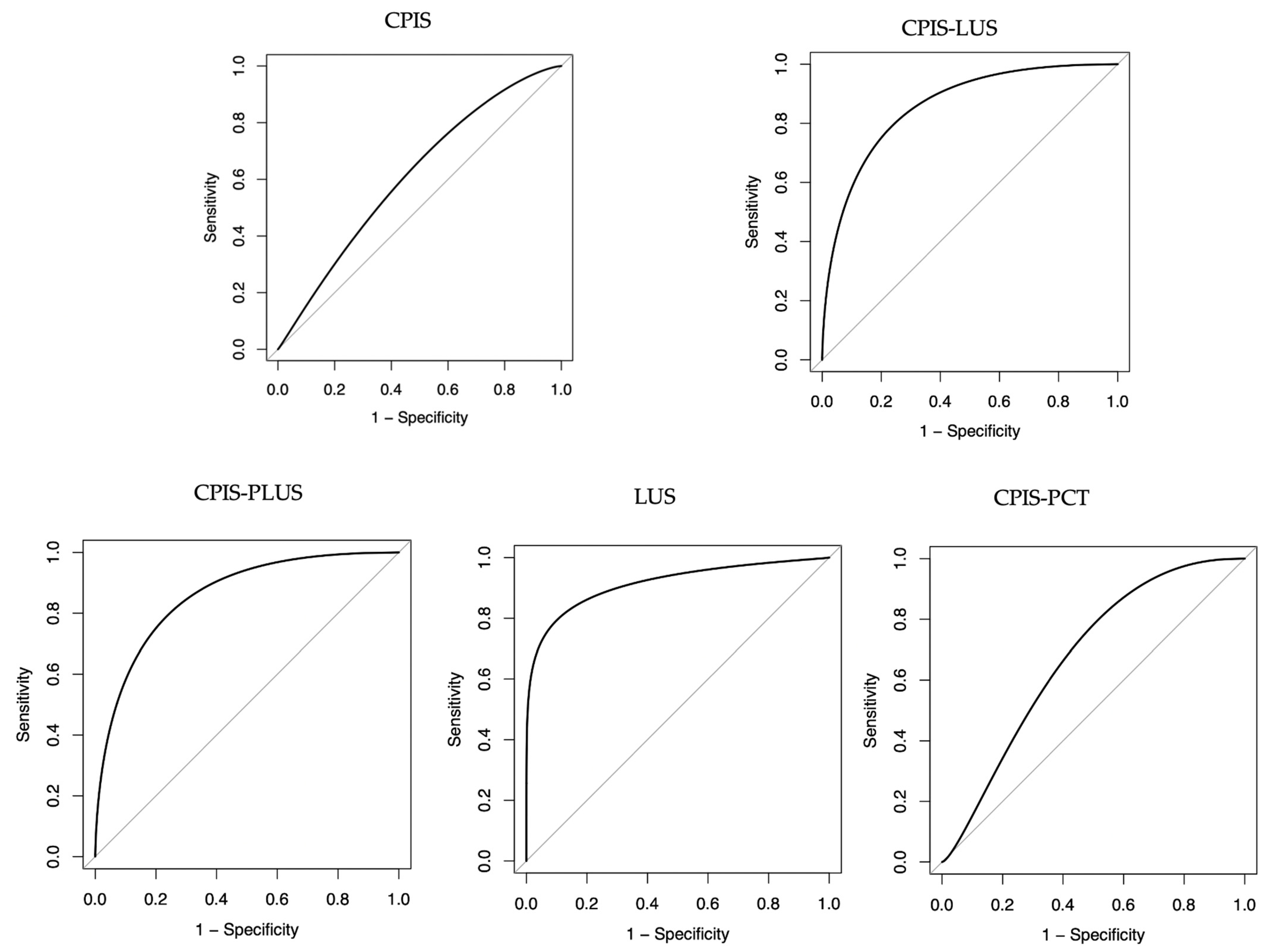
From the total sample (n = 108), a CPIS cut-off of 6 points showed an AUC of 0.70 (95% CI: 0.61–0.80), Sn of 78% (95% CI: 64–88%), Sp in 56% (95% CI: 42–69%), PPV in 62% (95% CI: 49–73%), and a negative NPV of 74% (95% CI: 59–85%) for VAP diagnosis.
When analyzing patients with LUS (n = 84), a CPIS cut-off of 6 points showed an AUC of 0.61 (95% CI: 0.50–0.75) with a Sn of 78 (95% CI: 63–88%) and Sp of 46% (95% CI: 29–63%). When combining CPIS with LUS findings, CPIS-LUS, the AUC increased to 0.86, p < 0.01. Then, when adding PCT, CPIS-PLUS, Sn increased to 80%, Sp decreased to 73%, and the AUC resulted the same (0.86, p = 0.79).
Analyzing LUS findings alone, using LUS ≥ 7 and CPIS-LUS ≥ 12 as thresholds for positive results, the score showed better AUC (0.91 vs. 0.86, p 0.27) and better Sn (81% vs. 76%) for LUS alone.
The addition of the PCT values to CPIS did not improve the diagnostic accuracy.
Accuracy results for LUS scores are summarized in Table 5.
Table 5. Diagnostic accuracy of the different test combinations (n = 84).
Comparison of AUC of different scores are showed in Figure 1.
Figure 1. AUC CPIS, CPIS-LUS, CPIS-PLUS, LUS, and CPIS-PCT.

4. Discussion

This study highlights LUS accuracy for VAP early diagnosis, with higher results in AUC than previously validated scores in pediatric populations such as CPIS. Even when adding blood biomarkers to those scores, LUS accuracy remains superior.
The combination of clinical, microbiological, and radiological findings has shown to be a valuable diagnostic tool for VAP, presenting higher accuracy than when these factors are used separately [62]. The CPIS score, widely implemented for VAP diagnosis, incorporates CXR findings for radiological assessment, which can sometimes lead to VAP overdiagnosis. In the adult population, several scores have been published in the literature, such as the Chest Echography and Procalcitonin Pulmonary Infection Score (CEPPIS) [44], Ventilator-associated Pneumonia Lung Ultrasound (VPLUS) [15], and Sono-Pulmonary Infection Score (SPIS) [45]. Overall, studies aimed to improve VAP early diagnosis and appropriate empirical antibiotic treatment. Moreover, all substituted CXR for LUS, making LUS the bedside imaging test, and LUS findings the radiological features integrated into VAP scores. The first two scores also included direct gram examination of TA, allowing an earlier diagnosis of VAP and showing superior diagnostic accuracy compared to CPIS alone. But in our study of the pediatric population LUS alone was the most useful.
In the CEPPIS study [44], Zagli et al., showed that a Clinical-LUS score based on the presence of lobar consolidation or small anterolateral subpleural consolidations performed better than CPIS alone. Their results showed that a CEEPIS > 5 was significantly better for VAP prediction than CPIS, resulting in an AUC of 0.829 vs. 0.616, respectively. Like this study, the CPIS-PLUS score includes clinical, microbiological, PCT, and LUS features. In line with their results, CPIS-PLUS ≥ 12 had high diagnostic accuracy with better Sn, Sp, and an AUC of 0.86 vs. AUC of 0.61 for CPIS. In the VPLUS study [15], Mongodi et al. found that the combination of dynamic linear/arborescent bronchogram, or the presence of equal or more than two areas with subpleural consolidations, and a positive gram stain examination, showed an AUC of around 0.8. However, they only considered purulent secretion as the only clinical criteria, a subjective item. The results showed that AUC for VPLUS-EA gram and CPIS were, respectively, 0.832 (0.737–0.903) vs. 0.576 (0.473–0.675). Finally, in the SPIS study, Samanta et al. [45] agreed that the best LUS finding to diagnose VAP was the presence of dynamic air bronchogram, followed by equal or more than two areas with subpleural consolidation, or lobar consolidation, or the presence of equal or more than one subpleural, and equal or more than one lobar consolidation. SPIS showed higher Sn (87.5%), Sp (76.7%), and PPV (90.9%) with better AUC (0.913) compared to CPIS alone, including microbiological tests in both cases. These findings were homogeneous with the results of our study, where the sub-analysis of the different LUS features demonstrated that the best LUS feature to predict VAP was a dynamic air bronchogram. The AUC for the CPIS-LUS score was 0.86 vs. 0.61 for CPIS.
In our sample, when considering LUS findings alone compared to CPIS-LUS, the highest score resulted for the LUS, which showed the highest Sn, similar Sp, and higher AUC. The CPIS score had good Sn, but not Sp. However, when LUS findings were added to these results, the Sp rate significantly increases.
LUS can improve early diagnosis of lung diseases in critically ill children, being more sensitive than CXR and comparable to CT, without radiation exposure. Although it is operator dependent, different studies have shown that even beginners can perform it with high precision, showing adequate interobserver agreement in image interpretation [63,64]. Obesity and subcutaneous emphysema are the primary patient-related factors that can limit the effectiveness of LUS. However, pediatric patients are usually good candidates for LUS as they have less subcutaneous tissue. There is a limitation to using LUS for the location of pulmonary pathology since it cannot visualize the etiologies that do not extend to the pleural surface. However, more than 95% of pulmonary pathological processes have a pleural component in both adults and pediatric patients, making ultrasound useful in most cases [63,65].
The efficacy of LUS in diagnosing pneumonia in children has been demonstrated in previous studies. Buonseno et al. [11] described that multiple and bilateral consolidations smaller than 15 mm were more commonly observed in viral pneumonia (VP), in contrast to those over 40 mm that suggested bacterial infection with statistically significant differences (p < 0.001). Likewise, Berce et al. [49] reported similar results, and they concluded that consolidations in VP were significantly smaller, with a median diameter of 15 mm, compared to 20 mm in atypical BP and equal or over 30 mm in BP. These findings were comparable with the results of our study, where the presence of lobar consolidations over 20 mm (76.5%, OR 22.8), unilateral consolidation (73.2%, OR 19.1), and the presence of dynamic bronchogram (95%, OR 266) were significantly associated with BP. Regarding LUS findings in VAP, Mongodi et al. [15] showed that a dynamic air bronchogram was one of the best signs to predict VAP in adulthood. On the other hand, a study of neonates [66] showed that the presence of lung consolidation with air bronchogram had the highest Sn, Sp, and accuracy for VAP diagnosis. In line with these findings, our study also found that the presence of dynamic air-bronchogram was more frequent in patients with a VAP diagnosis.
Regarding the addition of biomarker values, PCT has been shown to be a valuable biomarker for the diagnosis and follow-up of community-acquired pneumonia. A recent pediatric population study [26] demonstrated that a non-typical bacterial consolidation pattern detected on LUS with the addition of PCT improved the diagnosis accuracy. However, PCT alone might not be a reliable diagnostic biomarker for VAP, consistent with our results. In the adult population, the CEPPIS study [44] proposed to replace LUS for CXR and PCT values for leukocytes. The authors demonstrated that CEPPIS had higher Sn than CPIS alone, resulting in 80.5% vs. 40%, respectively—and similar Sp of 85.2% vs. 83.3%, respectively, with higher AUC (0.83 vs. 0.62), p < 0.001. Afterward, these findings were confirmed by other authors. Zhou J. et al. [67] showed better Sp (85.5%) when combining a positive LUS examination with a PCT value ≥ 0.25 ng/mL, significantly higher than CPIS alone (Sp 57.9%), p < 0.01.
Other authors found no differences in the score accuracy results when adding PCT values. Gibot et al. [68] found no difference in serum PCT levels between VAP and non-VAP cases. Also, Mongody et al. [15] omitted PCT values in the PLUS score, as they suggested that lower levels were associated with VAP. They found a statistically significant difference in PCT levels between VAP and non-VAP cases (1.0 vs. 5.0 ng/mL; p < 0,05), indicating a potentially low impact of PCT on early diagnosis. Similar results have been reported in other prospective studies [45,69]. In line with these results, our study also observed that PCT value alone did not effectively discriminate between VAP and non-VAP cases, although there was a trend for higher PCT levels in patients with VAP vs. non-VAP (0.47ng/mL vs. 0.21ng/mL, p = 0.300). Moreover, when adding the PCT value to the score, CPIS-PLUS, the Sn (80% vs. 76%), Sp (73% vs. 77%), and AUC (0.86 vs. 0.86) were similar than when combining CPIS and LUS findings, and lower when compared to LUS findings alone; Sn (80% vs. 81%), Sp (73% vs. 74%), with AUC (0.86 vs. 0.91). This result could be since the integration of LUS allowed for earlier detection of VAP, potentially limiting the timeframe required for PCT rising as a blood biomarker. Patients in the PICU are closely monitored, and therefore, clinical suspicion of VAP is identified early, and LUS is performed immediately. As a result, LUS seems to have contributed more than PCT to the early diagnosis of VAP. In summary, while PCT has proven to be a valuable biomarker for CAP diagnosis and follow-up, its utility as a diagnostic biomarker for VAP is limited. Studies have shown mixed results regarding the effectiveness of PCT alone in discriminating between VAP and non-VAP cases. Integrating PCT with other clinical and microbiological factors, such as CPIS and LUS, may improve the accuracy of VAP diagnosis compared to CPIS alone.
Improving the VAP early diagnostic is relevant because it is the second most prevalent HAI among the pediatric population. The results of our study showed a VAP frequency of 47% from those patients who had VAP suspicion, which aligns with a similar study conducted in the adult’s population where a prevalence of 64% of VAP was reported [15]. In ventilated PICU patients, VAP had a rate that ranged from 2.9 to 21.6 per 1000 ventilator days in different studies [70,71,72]. In our sample, the rate was in line with these previous publications. Interestingly, another study demonstrated that applying different diagnostic criteria resulted in VAP incidence rates varying from 4 to 42% within the same patient population [73].
The present study has several limitations. Firstly, it was conducted in a single center, in which pediatricians are skilled well in LUS performance, which could potentially affect the reproducibility of these high accuracy results. Secondly, since there is no good gold standard diagnostic test for VAP, it is difficult to establish comparisons. However, this study aimed to assess the improvement of early VAP diagnosis based compared to CPIS score, a standardized and validated score. As previously mentioned, the final diagnosis of VAP was based on CDC criteria.
Further multicentric studies will be needed to validate the new CPIS-PLUS score.

5. Conclusions

The new CPIS-PLUS score, combining PCT and LUS findings with CPIS, may provide a practical clinical approach for early VAP diagnosis and could lead to commence empirical antibiotics in patients with VAP suspicion.
LUS findings resulted with better diagnostic accuracy, especially increasing the specificity for VAP diagnosis. LUS findings resulted even better than the CPIS-PLUS score, at least in this study where PICU pediatricians are highly trained and experienced in LUS.
The results of this study, lead and force the authors to design and conduct an external validation of the CPIS-PLUS score throughout a multicenter study.

Supplementary Materials

The following supporting information can be downloaded at https://www.mdpi.com/article/10.3390/children11050592/s1: Figure S1: Comparison of CXR and LUS findings in the same patient; Table S1: CDC diagnostic criteria; Table S2: Threshold values for cultured specimens used in the diagnosis of pneumonia.

Author Contributions

Conceptualization, C.G., M.B. and I.J.; methodology, C.G., M.B. and I.J.; software, J.B.-H., C.G. and J.L.C.-J.; validation, J.B.-H., C.G., J.L.C.-J., I.J. and M.B.; formal analysis, J.L.C.-J.; investigation, J.B.-H., C.G., M.B. and I.J.; resources, A.C., J.B.-H., C.G., J.R.-F. and S.B.-P.; data curation, A.C., J.B.-H., C.G., J.R.-F. and S.B.-P.; writing—original draft preparation, J.B.-H. and C.G.; writing—review and editing, C.G., M.B. and I.J.; visualization, C.G.; supervision, C.G., F.J.C.L., M.B. and I.J.; project administration, C.G., M.B. and I.J. All authors have read and agreed to the published version of the manuscript.

Funding

This research received no external funding.

Institutional Review Board Statement

The study was conducted in accordance with the Declaration of Helsinki and approved by the local Healthcare Ethics Committee and the Institutional Review Board (code: PIC-139-16), approved on 27 October 2016.

Data Availability Statement

The raw data supporting the conclusions of this article will be made available by the authors on request. The data are not publicly available due to privacy.

Conflicts of Interest

The authors declare no conflicts of interest. The funders had no role in the design of the study; in the collection, analyses, or interpretation of data; in the writing of the manuscript; or in the decision to publish the results.

References

  1. Rello, J.; Riera, J.; Serrano, R. What’s new in ventilator-associated pneumonia? Intensive Care Med. 2015, 41, 1954–1956. [Google Scholar] [CrossRef] [PubMed]
  2. Torres, A.; Niederman, M.S.; Chastre, J.; Ewig, S.; Fernandez-Vandellos, P.; Hanberger, H.; Kollef, M.; Bassi, G.L.; Luna, C.M.; Martin-Loeches, I.; et al. International ERS/ESICM/ESCMID/ALAT guidelines for the management of hospital-acquired pneumonia and ventilator-associated pneumonia. Eur. Respir. J. 2017, 50, 1700582. [Google Scholar] [CrossRef] [PubMed]
  3. Esteban, E.; Ferrer, R.; Urrea, M.; Suarez, D.; Rozas, L.; Balaguer, M.; Palomeque, A.; Jordan, I. The Impact of a Quality Improvement Intervention to Reduce Nosocomial Infections in a PICU. Pediatr. Crit. Care Med. 2013, 14, 525–532. [Google Scholar] [CrossRef] [PubMed]
  4. Klompas, M. Complications of mechanical ventilation—The CDC’s new surveillance paradigm. N. Engl. J. Med. 2013, 368, 1470–1472. [Google Scholar] [CrossRef] [PubMed]
  5. Rello, J.; Lisboa, T.; Koulenti, D. Respiratory infections in patients undergoing mechanical ventilation. Lancet Respir. Med. 2014, 2, 764–774. [Google Scholar] [CrossRef] [PubMed]
  6. De Carlos, J.C. Resultados y evolución del registro multicentrico ENVIN. Rev. Espec. Peditarica 2016, 72 (Suppl. S1), 26–29. [Google Scholar]
  7. Palomar, M.; Álvarez Lerma, F.; Olaechea, P.; Gimeno Costa, R.; García Arnillas, M.P.; Seijas Betolaza, I.; Nuvials, X.; Catalán, M. Envin e Helics h. Envin-Helics. 2016. Available online: http://hws.vhebron.net/envin-helics/ (accessed on 5 May 2017).
  8. Chastre, J.; Fagon, J.Y. State of the Art Ventilator-associated Pneumonia. Am. J. Respir. Crit. Care Med. 2002, 165, 867–903. [Google Scholar] [CrossRef] [PubMed]
  9. Elward, A.M.; Warren, D.K.; Fraser, V.J. Ventilator-Associated Pneumonia in Pediatric Intensive Care Unit Patients: Risk Factors and Outcomes. Pediatrics 2002, 109, 758–764. [Google Scholar] [CrossRef] [PubMed]
  10. Rudan, I.; Tomaskovic, L.; Boschi-Pinto, C.; Campbell, H.; WHO Child Health Epidemiology Reference Group. Global estimate of the incidence of clinical pneumonia among children under five years of age. Bull. World Health Organ. 2004, 82, 895–903. [Google Scholar] [PubMed]
  11. Buonsenso, D.; Musolino, A.; Ferro, V.; De Rose, C.; Morello, R.; Ventola, C.; Liotti, F.M.; De Sanctis, R.; Chiaretti, A.; Biasucci, D.G.; et al. Role of lung ultrasound for the etiological diagnosis of acute lower respiratory tract infection (ALRTI) in children: A prospective study. J. Ultrasound 2021, 25, 185–197. [Google Scholar] [CrossRef]
  12. Melsen, W.G.; Rovers, M.M.; Groenwold, R.; Bergmans, D.C.; Camus, C.; Bauer, T.T.; Hanisch, E.; Klarin, B.; Koeman, M.; Krueger, W.A.; et al. Attributable mortality of ventilator-associated pneumonia: A meta-analysis of individual patient data from randomised prevention studies. Lancet Infect. Dis. 2013, 13, 665–671. [Google Scholar] [CrossRef]
  13. Melsen, W.G.; Rovers, M.; Koeman, M.; Bonten, M.J.M. Estimating the attributable mortality of ventilator-associated pneumonia from randomized prevention studies. Crit. Care Med. 2011, 39, 2736–2742. [Google Scholar] [CrossRef] [PubMed]
  14. Bouhemad, B.; Brisson, H.; Le-Guen, M.; Arbelot, C.; Lu, Q.; Rouby, J.-J. Bedside Ultrasound Assessment of Positive End-Expiratory Pressure–induced Lung Recruitment. Am. J. Respir. Crit. Care Med. 2011, 183, 341–347. [Google Scholar] [CrossRef] [PubMed]
  15. Mongodi, S.; Via, G.; Girard, M.; Rouquette, I.; Misset, B.; Braschi, A.; Mojoli, F.; Bouhemad, B. Lung Ultrasound for Early Diagnosis of Ventilator-Associated Pneumonia. Chest 2016, 149, 969–980. [Google Scholar] [CrossRef]
  16. Mongodi, S.; Bouhemad, B.; Mojoli, F. Specific Ultrasound Signs May Improve Bedside Early Diagnosis of Ventilator-Associated Pneumonia. Respir. Care 2019, 64, 1175–1176. [Google Scholar] [CrossRef] [PubMed]
  17. Soldati, G.; Testa, A.; Silva, F.R.; Carbone, L.; Portale, G.; Silveri, N.G. Chest Ultrasonography in Lung Contusion. Chest 2006, 130, 533–538. [Google Scholar] [CrossRef] [PubMed]
  18. Copetti, R.; Soldati, G.; Copetti, P. Chest sonography: A useful tool to differentiate acute cardiogenic pulmonary edema from acute respiratory distress syndrome. Cardiovasc. Ultrasound 2008, 6, 16. [Google Scholar] [CrossRef]
  19. Nazerian, P.; Vanni, S.; Volpicelli, G.; Gigli, C.; Zanobetti, M.; Bartolucci, M.; Ciavattone, A.; Lamorte, A.; Veltri, A.; Fabbri, A.; et al. Accuracy of Point-of-Care Multiorgan Ultrasonography for the Diagnosis of Pulmonary Embolism. Chest 2014, 145, 950–957. [Google Scholar] [CrossRef] [PubMed]
  20. Iosifidis, E.; Pitsava, G.; Roilides, E. Ventilator-associated pneumonia in neonates and children: A systematic analysis of diagnostic methods and prevention. Future Microbiol. 2018, 13, 1431–1446. [Google Scholar] [CrossRef]
  21. Fernando, S.M.; Tran, A.; Cheng, W.; Klompas, M.; Kyeremanteng, K.; Mehta, S.; English, S.W.; Muscedere, J.; Cook, D.J.; Torres, A.; et al. Diagnosis of ventilator-associated pneumonia in critically ill adult patients—A systematic review and meta-analysis. Intensive Care Med. 2020, 46, 1170–1179. [Google Scholar] [CrossRef] [PubMed]
  22. Rea-Neto, A.; Youssef, N.C.; Tuche, F.; Brunkhorst, F.; Ranieri, V.M.; Reinhart, K.; Sakr, Y. Diagnosis of ventilator-associated pneumonia: A systematic review of the literature. Crit. Care 2008, 12, R56. [Google Scholar] [CrossRef] [PubMed]
  23. E Graat, M.; Choi, G.; Wolthuis, E.K.; Korevaar, J.C.; E Spronk, P.; Stoker, J.; Vroom, M.B.; Schultz, M.J. The clinical value of daily routine chest radiographs in a mixed medical–surgical intensive care unit is low. Crit. Care 2005, 10, R11. [Google Scholar] [CrossRef] [PubMed]
  24. Wang, G.; Ji, X.; Xu, Y.; Xiang, X. Lung ultrasound: A promising tool to monitor ventilator-associated pneumonia in critically ill patients. Crit. Care 2016, 20, 320. [Google Scholar] [CrossRef] [PubMed]
  25. Reissig, A.; Copetti, R.; Mathis, G.; Mempel, C.; Schuler, A.; Zechner, P.; Aliberti, S.; Neumann, R.; Kroegel, C.; Hoyer, H. Lung Ultrasound in the Diagnosis and Follow-up of Community-Acquired Pneumonia: A prospective, multicenter, diagnostic accuracy study. Chest 2012, 142, 965–972. [Google Scholar] [CrossRef] [PubMed]
  26. Guitart, C.; Rodríguez-Fanjul, J.; Bobillo-Perez, S.; Carrasco, J.L.; Clemente, E.J.I.; Cambra, F.J.; Balaguer, M.; Jordan, I. An algorithm combining procalcitonin and lung ultrasound improves the diagnosis of bacterial pneumonia in critically ill children: The PROLUSP study, a randomized clinical trial. Pediatr. Pulmonol. 2022, 57, 711–723. [Google Scholar] [CrossRef] [PubMed]
  27. Bobillo-Perez, S.; Girona-Alarcon, M.; Rodriguez-Fanjul, J.; Jordan, I.; Gargallo, M.B. Lung ultrasound in children: What does it give us? Paediatr. Respir. Rev. 2020, 36, 136–141. [Google Scholar] [CrossRef] [PubMed]
  28. American Thoracic Society; Infectious Diseases Society of America. Guidelines for the Management of Adults with Hospital-acquired, Ventilator-associated, and Healthcare-associated Pneumonia. Am. J. Respir. Crit. Care Med. 2005, 171, 388–416. [Google Scholar] [CrossRef] [PubMed]
  29. Ibrahim, E.H.; Sherman, G.; Ward, S.; Fraser, V.J.; Kollef, M.H. The Influence of Inadequate Antimicrobial Treatment of Bloodstream Infections on Patient Outcomes in the ICU Setting. Chest 2000, 118, 146–155. [Google Scholar] [CrossRef] [PubMed]
  30. Rello, J.; Ausina, V.; Ricart, M.; Puzo, C.; Quintana, E.; Net, A.; Prats, G. Risk factors for infection by Pseudomonas aeruginosa in patients with ventilator-associated pneumonia. Intensive Care Med. 1994, 20, 193–198. [Google Scholar] [CrossRef] [PubMed]
  31. Trouillet, J.L.; Chastre, J.; Vuagnat, A.; Joly-Guillou, M.L.; Combaux, D.; Dombret, M.C.; Gibert, C. Ventilator-associated pneumonia caused by potentially drug-resistant bacteria. Am. J. Respir. Crit. Care Med. 1998, 157, 531–539. [Google Scholar] [CrossRef] [PubMed]
  32. Yu, V.L.; Singh, N. Excessive antimicrobial usage causes measurable harm to patients with suspected ventilator-associated pneumonia. Intensive Care Med. 2004, 30, 735–738. [Google Scholar] [CrossRef] [PubMed]
  33. Milcent, K.; Faesch, S.; Guen, C.G.-L.; Dubos, F.; Poulalhon, C.; Badier, I.; Marc, E.; Laguille, C.; de Pontual, L.; Mosca, A.; et al. Use of Procalcitonin Assays to Predict Serious Bacterial Infection in Young Febrile Infants. JAMA Pediatr. 2016, 170, 62–69. [Google Scholar] [CrossRef] [PubMed]
  34. Simon, L.; Gauvin, F.; Amre, D.K.; Saint-Louis, P.; Lacroix, J. Serum Procalcitonin and C-Reactive Protein Levels as Markers of Bacterial Infection: A Systematic Review and Meta-analysis. Clin. Infect. Dis. 2004, 39, 206–217. [Google Scholar] [CrossRef] [PubMed]
  35. Bobillo-Perez, S.; Rodríguez-Fanjul, J.; Garcia, I.J. Is Procalcitonin Useful in Pediatric Critical Care Patients? Biomark. Insights 2018, 13, 1177271918792244. [Google Scholar] [CrossRef] [PubMed]
  36. Pepper, D.J.; Sun, J.; Rhee, C.; Welsh, J.; Powers, J.H.; Danner, R.L.; Kadri, S.S. Procalcitonin-Guided Antibiotic Discontinuation and Mortality in Critically Ill Adults: A Systematic Review and Meta-analysis. Chest 2019, 155, 1109–1118. [Google Scholar] [CrossRef] [PubMed]
  37. van der Does, Y.; Rood, P.P.; Haagsma, J.A.; Patka, P.; van Gorp, E.C.; Limper, M. Procalcitonin-guided therapy for the initiation of antibiotics in the ED: A systematic review. Am. J. Emerg. Med. 2016, 34, 1286–1293. [Google Scholar] [CrossRef]
  38. Korppi, M.; Remes, S.; Heiskanen-Kosma, T. Serum procalcitonin concentrations in bacterial pneumonia in children: A negative result in primary healthcare settings. Pediatr. Pulmonol. 2003, 35, 56–61. [Google Scholar] [CrossRef]
  39. Pugin, J.; Auckenthaler, R.; Mili, N.; Janssens, J.-P.; Lew, P.D.; Suter, P.M. Diagnosis of Ventilator-associated Pneumonia by Bacteriologic Analysis of Bronchoscopic and Nonbronchoscopic “Blind” Bronchoalveolar Lavage Fluid. Am. Rev. Respir. Dis. 1991, 143, 1121–1129. [Google Scholar] [CrossRef] [PubMed]
  40. Luna, C.M.; Blanzaco, D.; Niederman, M.S.; Matarucco, W.; Baredes, N.C.; Desmery, P.; Palizas, F.; Menga, G.; Rios, F.; Apezteguia, C. Resolution of ventilator-associated pneumonia: Prospective evaluation of the clinical pulmonary infection score as an early clinical predictor of outcome. Crit. Care Med. 2003, 31, 676–682. [Google Scholar] [CrossRef] [PubMed]
  41. Sachdev, A.; Chugh, K.; Sethi, M.; Gupta, D.; Wattal, C.; Menon, G. Clinical pulmonary infection score to diagnose ventilator-associated pneumonia in children. Indian Pediatr. 2011, 48, 949–954. [Google Scholar] [CrossRef] [PubMed]
  42. da Silva, P.S.L.; de Aguiar, V.E.; de Carvalho, W.B.; Fonseca, M.C.M. Value of clinical pulmonary infection score in critically ill children as a surrogate for diagnosis of ventilator-associated pneumonia. J. Crit. Care 2014, 29, 545–550. [Google Scholar] [CrossRef] [PubMed]
  43. Zilberberg, M.D.; Shorr, A.F. Ventilator-Associated Pneumonia: The Clinical Pulmonary Infection Score as a Surrogate for Diagnostics and Outcome. Clin. Infect. Dis. 2010, 51, S131–S135. [Google Scholar] [CrossRef] [PubMed]
  44. Zagli, G.; Cozzolino, M.; Terreni, A.; Biagioli, T.; Caldini, A.L.; Peris, A. Diagnosis of Ventilator-Associated Pneumonia: A Pilot, Exploratory Analysis of a New Score Based on Procalcitonin and Chest Echography. Chest 2014, 146, 1578–1585. [Google Scholar] [CrossRef] [PubMed]
  45. Poddar, B.; Neyaz, Z.; Patnaik, R.; Baronia, A.K.; Singh, R.K. Incorporating Lung Ultrasound in Clinical Pulmonary Infection Score as an Added Tool for Diagnosing Ventilator-associated Pneumonia: A Prospective Observational Study from a Tertiary Care Center. Indian J. Crit. Care Med. 2021, 25, 284–291. [Google Scholar] [CrossRef]
  46. Centers for Disease Control and Prevention; National Center for Emerging and Zoonotic Infectious Diseases (NCEZID); Division of Healthcare Quality Promotion (DHQP). Pneumonia (Ventilator-Associated [VAP] and Non-Ventilator-Associated Pneumonia [PNEU]) Event; CDC: Atlanta, GA, USA, 2023. [Google Scholar]
  47. World Health Organization; Pneumonia Vaccine Trial Investigators’ Group. Standardization of Interpretation of Chest Radiographs for the Diagnosis of Pneumonia in Children/World Health Organization Pneumonia Vaccine Trial Investigators’ Group; World Health Organization: Geneva, Switzerland, 2001. [Google Scholar]
  48. Volpicelli, G.; Elbarbary, M.; Blaivas, M.; Lichtenstein, D.A.; Mathis, G.; Kirkpatrick, A.W.; Melniker, L.; Gargani, L.; Noble, V.E.; Via, G.; et al. International evidence-based recommendations for point-of-care lung ultrasound. Intensive Care Med. 2012, 38, 577–591. [Google Scholar] [CrossRef] [PubMed]
  49. Berce, V.; Tomazin, M.; Gorenjak, M.; Berce, T.; Lovrenčič, B. The Usefulness of Lung Ultrasound for the Aetiological Diagnosis of Community-Acquired Pneumonia in Children. Sci. Rep. 2019, 9, 17957. [Google Scholar] [CrossRef] [PubMed]
  50. Cherian, T.; Mulholland, E.K.; Carlin, J.B.; Ostensen, H.; Amin, R.; Campo, M.D.; Greenberg, D.; Lagos, R.; Lucero, M.; Madhi, S.A.; et al. Standardized interpretation of paediatric chest radiographs for the diagnosis of pneumonia in epidemiological studies. Bull. World Health Organ. 2005, 83, 353–359. [Google Scholar] [PubMed]
  51. Shah, V.P.; Tunik, M.G.; Tsung, J.W. Prospective Evaluation of Point-of-Care Ultrasonography for the Diagnosis of Pneumonia in Children and Young Adults. JAMA Pediatr. 2013, 167, 119–125. [Google Scholar] [CrossRef] [PubMed]
  52. Musolino, A.M.; Tomà, P.; Supino, M.C.; Scialanga, B.; Mesturino, A.; Scateni, S.; Battaglia, M.; Pirozzi, N.; Bock, C.; Buonsenso, D. Lung ultrasound features of children with complicated and noncomplicated community acquired pneumonia: A prospective study. Pediatr. Pulmonol. 2019, 54, 1479–1486. [Google Scholar] [CrossRef]
  53. Varshney, T.; Mok, E.; Shapiro, A.J.; Li, P.; Dubrovsky, A.S. Point-of-care lung ultrasound in young children with respiratory tract infections and wheeze. Emerg. Med. J. 2016, 33, 603–610. [Google Scholar] [CrossRef] [PubMed]
  54. Bouadma, L.; Luyt, C.E.; Tubach, F.; Cracco, C.; Alvarez, A.; Schwebel, C.; Schortgen, F.; Lasocki, S.; Veber, B.; Dehoux, M.; et al. Use of procalcitonin to reduce patients’ exposure to antibiotics in intensive care units (PRORATA trial): A multicentre randomised controlled trial. Lancet 2010, 375, 463–474. [Google Scholar] [CrossRef] [PubMed]
  55. Fernández-Barat, L.; Motos, A.; Ranzani, O.T.; Bassi, G.L.; Xiol, E.A.; Senussi, T.; Travierso, C.; Chiurazzi, C.; Idone, F.; Muñoz, L.; et al. Diagnostic Value of Endotracheal Aspirates Sonication on Ventilator-Associated Pneumonia Microbiologic Diagnosis. Microorganisms 2017, 5, 62. [Google Scholar] [CrossRef] [PubMed]
  56. Arango, M.V.; Martí, A.T.; Ordeñana, J.I.; Lerma, F.; Joaquinet, N.C.; Casado, M.H.; León, J.T. Valor diagnóstico del cultivo cuantitativo del aspirado endotraqueal en la neumonía adquirida durante la ventilación mecánica. Estud. Multicéntrico 2003, 39, 394–399. [Google Scholar] [CrossRef] [PubMed]
  57. Kollef, M.H.; Burnham, C.-A.D. Ventilator-Associated Pneumonia: The Role of Emerging Diagnostic Technologies. Semin. Respir. Crit. Care Med. 2017, 38, 253–263. [Google Scholar] [CrossRef] [PubMed]
  58. Sullivan, L.M.; Massaro, J.M.; D’Agostino, R.B. Presentation of multivariate data for clinical use: The Framingham Study risk score functions. Stat. Med. 2004, 23, 1631–1660. [Google Scholar] [CrossRef] [PubMed]
  59. Subirana, I.; Héctor, C.; Cresib, S.; Vila, J. Building Bivariate Tables: The CompareGroups Package for R. J. Stat. Softw. 2014, 57, 1–16. [Google Scholar] [CrossRef]
  60. Perez-Jaume, S.; Skaltsa, K.; Pallarès, N.; Carrasco, J.L. ThresholdROC: Optimum Threshold Estimation Tools for Continuous Diagnostic Tests in R. J. Stat. Softw. 2017, 82, 1–21. [Google Scholar] [CrossRef]
  61. Robin, X.; Turck, N.; Hainard, A.; Tiberti, N.; Lisacek, F.; Sanchez, J.-C.; Müller, M. pROC: An open-source package for R and S+ to analyze and compare ROC curves. BMC Bioinform. 2011, 12, 77. [Google Scholar] [CrossRef] [PubMed]
  62. Staub, L.J.; Biscaro, R.R.M.; Maurici, R. Accuracy and Applications of Lung Ultrasound to Diagnose Ventilator-Associated Pneumonia: A Systematic Review. J. Intensive Care Med. 2018, 33, 447–455. [Google Scholar] [CrossRef] [PubMed]
  63. Rizvi, M.B.; Rabiner, J.E. Pediatric Point-of-Care Lung Ultrasonography: A Narrative Review. West. J. Emerg. Med. 2022, 23, 497–504. [Google Scholar] [CrossRef]
  64. See, K.C.; Ong, V.; Wong, S.H.; Leanda, R.; Santos, J.; Taculod, J.; Phua, J.; Teoh, C.M. Lung ultrasound training: Curriculum implementation and learning trajectory among respiratory therapists. Intensive Care Med. 2016, 42, 63–71. [Google Scholar] [CrossRef]
  65. Bhalla, D.; Naranje, P.; Jana, M.; Bhalla, A.S. Pediatric lung ultrasonography: Current perspectives. Pediatr. Radiol. 2022, 52, 2038–2050. [Google Scholar] [CrossRef] [PubMed]
  66. Jiang, P.; Wei, J. The Application of Pulmonary Ultrasound in Neonatal Ventilator-Associated Pneumonia. Front. Pediatr. 2022, 10, 882056. [Google Scholar] [CrossRef] [PubMed]
  67. Zhou, J.; Song, J.; Gong, S.; Hu, W.; Wang, M.; Xiao, A.; Zhang, C.; Dong, Z. Lung Ultrasound Combined With Procalcitonin for a Diagnosis of Ventilator-Associated Pneumonia. Respir. Care 2019, 64, 519–527. [Google Scholar] [CrossRef] [PubMed]
  68. Gibot, S.; Cravoisy, A.; Levy, B.; Bene, M.-C.; Faure, G.; Bollaert, P.-E. Soluble Triggering Receptor Expressed on Myeloid Cells and the Diagnosis of Pneumonia|Enhanced Reader. N. Engl. J. Med. 2004, 350, 451–458. [Google Scholar] [CrossRef] [PubMed]
  69. Jung, B.; Embriaco, N.; Roux, F.; Forel, J.M.; Demory, D.; Allardet-Servent, J.; Jaber, S.; La Scola, B.; Papazian, L. Microbiogical data, but not procalcitonin improve the accuracy of the clinical pulmonary infection score. Intensive Care Med. 2010, 36, 790–798. [Google Scholar] [CrossRef] [PubMed]
  70. Gadappa, S.M.; Behera, M.K. Ventilator associated pneumonia: Incidence, profile and outcome in pediatric intensive care unit of tertiary care centre. Int. J. Contemp. Pediatr. 2018, 5, 2098–2102. [Google Scholar] [CrossRef]
  71. Patria, M.F.; Chidini, G.; Ughi, L.; Montani, C.; Prandi, E.; Galeone, C.; Calderini, E.; Esposito, S. Ventilator-associated pneumonia in an Italian pediatric intensive care unit: A prospective study. World J. Pediatr. 2013, 9, 365–368. [Google Scholar] [CrossRef] [PubMed]
  72. Srinivasan, R.; Asselin, J.; Gildengorin, G.; Wiener-Kronish, J.; Flori, H. A Prospective Study of Ventilator-Associated Pneumonia in Children. Pediatrics 2009, 123, 1108–1115. [Google Scholar] [CrossRef] [PubMed]
  73. Ego, A.; Preiser, J.-C.; Vincent, J.-L. Impact of Diagnostic Criteria on the Incidence of Ventilator-Associated Pneumonia. Chest 2015, 147, 347–355. [Google Scholar] [CrossRef] [PubMed]
Disclaimer/Publisher’s Note: The statements, opinions and data contained in all publications are solely those of the individual author(s) and contributor(s) and not of MDPI and/or the editor(s). MDPI and/or the editor(s) disclaim responsibility for any injury to people or property resulting from any ideas, methods, instructions or products referred to in the content.

Article Metrics

Citations

Article Access Statistics

Multiple requests from the same IP address are counted as one view.