Caring Under Pressure: Investigating Parental Attitudes in Mother–Child Chronic Illness Dynamics
Abstract
1. Introduction
2. Materials and Methods
2.1. Participants
2.2. Study Design
2.3. Sample Size
2.4. Statistical Analysis
3. Results
Parental Attitude Scale
4. Discussion
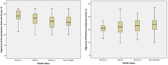
4.1. Overprotective Attitudes
4.2. Permissive Attitudes
4.3. Democratic and Authoritarian Attitudes
4.4. Group Where Only the Mother Is Ill
4.5. Mother–Child Characteristics and Parenting
4.6. Strengths and Limitations
5. Conclusions
Author Contributions
Funding
Institutional Review Board Statement
Informed Consent Statement
Data Availability Statement
Conflicts of Interest
References
- Mokkink, L.B.; van der Lee, J.H.; Grootenhuis, M.A.; Offringa, M.; Heymans, H.S.; Dutch National Consensus Committee “Chronic Diseases and Health Conditions in Childhood”. Defining chronic diseases and health conditions in childhood (0–18 years of age): National consensus in the Netherlands. Eur. J. Pediatr. 2008, 167, 1441–1447. [Google Scholar] [CrossRef] [PubMed]
- Perrin, J.M.; Gnanasekaran, S.; Delahaye, J. Psychological aspects of chronic health conditions. Pediatr. Rev. 2012, 33, 99–109. [Google Scholar] [CrossRef] [PubMed]
- Compas, B.E.; Jaser, S.S.; Dunn, M.J.; Rodriguez, E.M. Coping with chronic illness in childhood and adolescence. Annu. Rev. Clin. Psychol. 2012, 8, 455–480. [Google Scholar] [CrossRef] [PubMed]
- Morawska, A.; Calam, R.; Fraser, J. Parenting interventions for childhood chronic illness: A review and recommendations for intervention design and delivery. J. Child. Health Care 2015, 19, 5–17. [Google Scholar] [CrossRef]
- Centers for Disease Control and Prevention (CDC). About Chronic Diseases. Available online: https://www.cdc.gov/chronic-disease/about/index.html (accessed on 22 September 2024).
- Rajaei, S.; Namazi, S.; Seddighi, N.; Kamyab, Z.; Teshnizi, S.H.; Khajeh, M. Investigating Psychological Problems in Parents of Children with Congenital Heart Diseases: A Cross-Sectional Study. Hormozgan Med. J. 2024, 28, 101–108. [Google Scholar] [CrossRef]
- Dinleyici, M.; Carman, K.B.; Ozdemir, C.; Harmanci, K.; Eren, M.; Kirel, B.; Simsek, E.; Yarar, C.; Duyan Camurdan, A.; Sahin Dagli, F. Quality-of-life Evaluation of Healthy Siblings of Children with Chronic Illness. Balk. Med. J. 2019, 37, 34–42. [Google Scholar] [CrossRef]
- Puka, K.; Tavares, T.P.; Anderson, K.K.; Ferro, M.A.; Speechley, K.N. A systematic review of quality of life in parents of children with epilepsy. Epilepsy Behav. 2018, 82, 38–45. [Google Scholar] [CrossRef]
- Ozyurt, G.; Cagan-Appak, Y.; Karakoyun, M.; Baran, M. Evaluation of emotional, behavioral problems and family functioning in adolescents with chronic gastritis. Arch. Argent. Pediatr. 2019, 117, e110–e114. [Google Scholar] [CrossRef]
- Psihogios, A.M.; Fellmeth, H.; Schwartz, L.A.; Barakat, L.P. Family Functioning and Medical Adherence Across Children and Adolescents With Chronic Health Conditions: A Meta-Analysis. J. Pediatr. Psychol. 2019, 44, 84–97. [Google Scholar] [CrossRef]
- Lumsden, M.R. Parenting a Child with Congenital Heart Defects; The University of Manchester: Manchester, UK, 2018. [Google Scholar]
- Bradshaw, S.; Bem, D.; Shaw, K.; Taylor, B.; Chiswell, C.; Salama, M.; Bassett, E.; Kaur, G.; Cummins, C. Improving health, wellbeing and parenting skills in parents of children with special health care needs and medical complexity—A scoping review. BMC Pediatr. 2019, 19, 301. [Google Scholar] [CrossRef]
- Barkmann, C.; Romer, G.; Watson, M.; Schulte-Markwort, M. Parental physical illness as a risk for psychosocial maladjustment in children and adolescents: Epidemiological findings from a national survey in Germany. Psychosomatics 2007, 48, 476–481. [Google Scholar] [CrossRef]
- Sieh, D.S.; Meijer, A.M.; Oort, F.J.; Visser-Meily, J.M.; Van der Leij, D.A. Problem behavior in children of chronically ill parents: A meta-analysis. Clin. Child. Fam. Psychol. Rev. 2010, 13, 384–397. [Google Scholar] [CrossRef] [PubMed]
- Ajili, G.; Michard, P. The “parentified” child, a concept of contextual approach. Soins Pediatr. Pueric. 2000, 197, 26–29. [Google Scholar]
- Harris, C.A.; Zakowski, S.G. Comparisons of distress in adolescents of cancer patients and controls. Psychooncology 2003, 12, 173–182. [Google Scholar] [CrossRef]
- Pierce, M.; Hope, H.F.; Kolade, A.; Gellatly, J.; Osam, C.S.; Perchard, R.; Kosidou, K.; Dalman, C.; Morgan, V.; Di Prinzio, P.; et al. Effects of parental mental illness on children’s physical health: Systematic review and meta-analysis. Br. J. Psychiatry 2020, 217, 354–363. [Google Scholar] [CrossRef]
- de Roos, S.A.; Iedema, J.; de Boer, A.H. Quality of Life of Schoolchildren Living with a Long-Term Sick Parent: The Role of Tasks at Home, Life Circumstances and Social Support. Int. J. Environ. Res. Public Health 2022, 19, 7043. [Google Scholar] [CrossRef]
- Jidong, D.E.; Husain, N.; Ike, T.J.; Murshed, M.; Pwajok, J.Y.; Roche, A.; Karick, H.; Dagona, Z.K.; Karuri, G.S.; Francis, C.; et al. Maternal mental health and child well-being in Nigeria: A systematic review. Health Psychol. Open 2021, 8, 20551029211012199. [Google Scholar] [CrossRef]
- Van Gampelaere, C.; Luyckx, K.; van der Straaten, S.; Laridaen, J.; Goethals, E.R.; Casteels, K.; Vanbesien, J.; den Brinker, M.; Depoorter, S.; Klink, D.; et al. Families with pediatric type 1 diabetes: A comparison with the general population on child well-being, parental distress, and parenting behavior. Pediatr. Diabetes 2020, 21, 395–408. [Google Scholar] [CrossRef]
- Annunziato, R.A.; Rakotomihamina, V.; Rubacka, J. Examining the effects of maternal chronic illness on child well-being in single parent families. J. Dev. Behav. Pediatr. 2007, 28, 386–391. [Google Scholar] [CrossRef]
- Elaraby, M.E.; Baraka, S.I.M.; Baraka, N.I.M. Application of Information-Motivation-Behavioral Skills Model on Mothers’ Care and Quality of Life of their Children with Congenital Heart Diseases. Tanta Sci. Nurs. J. 2024, 33. [Google Scholar] [CrossRef]
- Chen, C.Y.-C. Effects of Parental Chronic Illness on Children’s Psychosocial and Educational Functioning: A Literature Review. Contemp. Sch. Psychol. 2017, 21, 166–176. [Google Scholar] [CrossRef]
- Baumrind, D. Effects of Authoritative Parental Control on Child Behavior. Child Development. Child. Dev. 1966, 37, 887–907. [Google Scholar] [CrossRef]
- Thomasgard, M.; Metz, W.P.; Edelbrock, C.; Shonkoff, J.P. Parent-child relationship disorders. Part I. Parental overprotection and the development of the Parent Protection Scale. J. Dev. Behav. Pediatr. 1995, 16, 244–250. [Google Scholar] [CrossRef] [PubMed]
- Roper, S.O.; Allred, D.W.; Mandleco, B.; Freeborn, D.; Dyches, T. Caregiver burden and sibling relationships in families raising children with disabilities and typically developing children. Fam. Syst. Health 2014, 32, 241–246. [Google Scholar] [CrossRef]
- Balling, K.; McCubbin, M. Hospitalized children with chronic illness: Parental caregiving needs and valuing parental expertise. J. Pediatr. Nurs. 2001, 16, 110–119. [Google Scholar] [CrossRef]
- Eleen, F. The Stress-Moderating Roles of Perceived Parenting and Family Structure on Adult Psychological Adjustment. Ph.D. Dissertation, Pacific Graduate School of Psychology, Palo Alto, CA, USA, 2000. [Google Scholar]
- Altinel Açoğlu, E.; Aydin, B.; Isiyel, E.; Çelik, M.; Yalçın, S.S. Mother’s psychopathological conditions and parenting characteristics according to smoke exposure. Int. J. Environ. Health Res. 2024, 34, 1701–1712. [Google Scholar] [CrossRef]
- Oflu, A.; Yalçın, S.S. Relations of maternal health literacy and parenting practices with early childhood development: A cross-sectional study. Int. J. Environ. Health Res. 2024, 34, 1540–1550. [Google Scholar] [CrossRef]
- Yildiz, D.; Yalcin, S.S. Change in screen time of preschool children according to parental attitudes during the COVID-19 pandemic with an online survey. Int. J. Environ. Health Res. 2024, 34, 864–873. [Google Scholar] [CrossRef]
- Karabulut Demir, E.; Şendil, G. Ebeveyn tutum ölçeği (ETÖ). Türk Psikol. Yazıları 2008, 11, 15–25. [Google Scholar]
- Pond, H. Parental attitudes toward children with a chronic medical disorder: Special reference to diabetes mellitus. Diabetes Care 1979, 2, 425–431. [Google Scholar] [CrossRef]
- Pinquart, M. Do the parent-child relationship and parenting behaviors differ between families with a child with and without chronic illness? A meta-analysis. J. Pediatr. Psychol. 2013, 38, 708–721. [Google Scholar] [CrossRef] [PubMed]
- Carpentier, M.Y.; Mullins, L.L.; Wolfe-Christensen, C.; Chaney, J.M. The relationship of parent self-focused negative attributions to ratings of parental overprotection, perceived child vulnerability, and parenting stress. Fam. Syst. Health 2008, 26, 147–163. [Google Scholar] [CrossRef]
- Qiu, Y.; Xu, L.; Pan, Y.; He, C.; Huang, Y.; Xu, H.; Lu, Z.; Dong, C. Family Resilience, Parenting Styles and Psychosocial Adjustment of Children With Chronic Illness: A Cross-Sectional Study. Front. Psychiatry 2021, 12, 646421. [Google Scholar] [CrossRef] [PubMed]
- Abali, O.; Zulfikar, O.B.; Karakoc Demirkaya, S.; Ayaydin, H.; Kircelli, F.; Duman, M. An examination of the symptoms of anxiety and parental attitude in children with hemophilia. Turk. J. Med. Sci. 2014, 44, 1087–1090. [Google Scholar] [CrossRef]
- Carlson, J.M.; Miller, P.A. Family burden, child disability, and the adjustment of mothers caring for children with epilepsy: Role of social support and coping. Epilepsy Behav. 2017, 68, 168–173. [Google Scholar] [CrossRef]
- Holmbeck, G.N.; Johnson, S.Z.; Wills, K.E.; McKernon, W.; Rose, B.; Erklin, S.; Kemper, T. Observed and perceived parental overprotection in relation to psychosocial adjustment in preadolescents with a physical disability: The mediational role of behavioral autonomy. J. Consult. Clin. Psychol. 2002, 70, 96–110. [Google Scholar] [CrossRef]
- Jakubowska-Winecka, A.; Biernacka, M. Parental Attitudes and Medication Adherence in Groups of Adolescents After Liver and Kidney Transplantations. Transpl. Proc. 2018, 50, 2145–2149. [Google Scholar] [CrossRef]
- Alkan, F.; Sertcelik, T.; Sapmaz, S.Y.; Eser, E.; Coskun, S. Responses of mothers of children with CHD: Quality of life, anxiety and depression, parental attitudes, family functionality. Cardiol. Young 2017, 27, 1748–1754. [Google Scholar] [CrossRef]
- Tripon, C. Nurturing Sustainable Development: The Interplay of Parenting Styles and SDGs in Children’s Development. Children 2024, 11, 695. [Google Scholar] [CrossRef]
- Neel, M.L.; Slaughter, J.C.; Stark, A.R.; Maitre, N.L. Parenting style associations with sensory threshold and behaviour: A prospective cohort study in term/preterm infants. Acta Paediatr. 2019, 108, 1616–1623. [Google Scholar] [CrossRef]
- Konopka, A.; Rek-Owodzin, K.; Pelka-Wysiecka, J.; Samochowiec, J. Parenting style in family and the risk of psychopathology. Postep. Hig. Med. Dosw. 2018, 72, 924–931. [Google Scholar] [CrossRef]
- Kong, C.; Yasmin, F. Impact of Parenting Style on Early Childhood Learning: Mediating Role of Parental Self-Efficacy. Front. Psychol. 2022, 13, 928629. [Google Scholar] [CrossRef] [PubMed]
- Pekcanlar Akay, A.; Hiz Kurul, S.; Ozek, H.; Cengizhan, S.; Emiroglu, N.; Ellidokuz, H. Maternal reactions to a child with epilepsy: Depression, anxiety, parental attitudes and family functions. Epilepsy Res. 2011, 95, 213–220. [Google Scholar] [CrossRef]
- Avcil, S.; Uysal, P.; Demir, F.; Erge, D.; Kurt Omurlu, I.; Yenigun, A. Mothers’ emotional states and attitudes regarding their children with asthma. J. Asthma 2019, 56, 618–626. [Google Scholar] [CrossRef]
- Stoeckel, M.; Weissbrod, C. Growing up with an ill parent: An examination of family characteristics and parental illness features. Fam. Syst. Health 2015, 33, 356–362. [Google Scholar] [CrossRef]
- Korneluk, Y.G.; Lee, C.M. Children’s adjustment to parental physical illness. Clin. Child. Fam. Psychol. Rev. 1998, 1, 179–193. [Google Scholar] [CrossRef]
- Krattenmacher, T.; Kuhne, F.; Ernst, J.; Bergelt, C.; Romer, G.; Moller, B. Parental cancer: Factors associated with children’s psychosocial adjustment—A systematic review. J. Psychosom. Res. 2012, 72, 344–356. [Google Scholar] [CrossRef]
- Pantke, R.; Slade, P. Remembered parenting style and psychological well-being in young adults whose parents had experienced early child loss. Psychol. Psychother. 2006, 79, 69–81. [Google Scholar] [CrossRef]
- Lee, D.H.; Khang, M.; Shin, J.; Lee, H.J.; Brown, J.A. Life Experience of Bereaved Parents After the 2014 Sewol Ferry Disaster in South Korea. Omega 2020, 80, 515–543. [Google Scholar] [CrossRef]
- Lee, D.H.; Khang, M. Parenting school-aged children after the death of a child: A qualitative study on victims’ families of the Sewol ferry disaster in South Korea. Death Stud. 2020, 44, 1–11. [Google Scholar] [CrossRef]
- Sloper, P. Predictors of distress in parents of children with cancer: A prospective study. J. Pediatr. Psychol. 2000, 25, 79–91. [Google Scholar] [CrossRef] [PubMed]

| Family Characteristics | Mean ± SD, Median (25–75 p), [Min–Max], N (%) | Characteristics | Mean ± SD, Median (25–75 p), [Min–Max], N (%) |
|---|---|---|---|
| Mother’s age, years | 33.2 ± 5.5 [19–52] | Number of children | 2 [1–7] |
| <30 years | 232 (26.4) | 1 child | 325 (37.0) |
| 30–34 years | 301 (34.3) | >1 children | 553 (63.0) |
| 35–39 years | 223 (25.4) | Gestational duration < 37 w | 66 (7.5) |
| ≥40 years | 122 (13.9) | Birth weight, grams | 3175 ± 500 [610–5000] |
| Mother’s education | <2500 | 58 (6.6) | |
| ≤Secondary school | 166 (18.9) | ≥2500 | 820 (93.4) |
| High school | 241 (27.4) | Child’s sex, male | 459 (52.3) |
| University | 471 (53.6) | Child’s age, year | 3.9 ± 1.3 [2–6] |
| Mother has a job | 448 (51.0) | 2 | 156 (17.8) |
| Household size | 4.0 ± 1.0 [3–11] | 3 | 211 (24.0) |
| <5 person | 700 (79.7) | 4 | 208 (23.7) |
| ≥5 person | 178 (20.3) | 5 | 187 (21.3) |
| Family type, nuclear | 787 (89.6) | 6 | 116 (13.2) |
| History of fetus or child death | 30 (3.4) | Nursery/kindergarten care | |
| Intrauterine loss | 14 (1.6) | Yes | 439 (50) |
| Infant or child death | 16 (1.8) | No | 439 (50) |
| Mother–child health status | Parental Attitude Scale | ||
| Only mother is ill | 94 (10.7) | Democratic score | 74 (69–79) |
| Only child is ill | 166 (18.9) | Authoritarian score | 19 (17–23) |
| Both are ill | 45 (5.1) | Overprotective score | 33 (29–38) |
| Both are healthy | 573 (65.3) | Permissive score | 23 (20–27) |
| Overall | Democratic Score ≥ 78 | Authoritarian Score ≥ 23 | Overprotective Score ≥ 37 | Permissive Score ≥ 27 | |||||
|---|---|---|---|---|---|---|---|---|---|
| n (%) * | % ** | p | % ** | p | % ** | p | % ** | p | |
| Overall | 878 (100) | 33.4 | 25.4 | 33.9 | 27.4 | ||||
| Health Status | 0.245 | 0.893 | <0.001 | 0.018 | |||||
| Both are ill | 45 (5.1) | 40.0 | 24.4 | 62.2 a | 13.3 a | ||||
| Only child is ill | 166 (18.9) | 38.0 | 26.5 | 47.0 a | 21.1 ab | ||||
| Only mother is ill | 94 (10.7) | 36.2 | 22.3 | 28.7 b | 29.8 b | ||||
| Both are healthy | 573 (65.3) | 31.1 | 25.7 | 28.8 b | 30.0 b | ||||
| Mother’s age | 0.034 | 0.937 | 0.002 | 0.036 | |||||
| <30 years | 232 (26.4) | 40.9 a | 25.4 | 44.0 a | 25.0 a | ||||
| 30–34 years | 301 (34.3) | 31.6 b | 24.6 | 31.9 b | 23.9 a | ||||
| 35–39 years | 223 (25.4) | 30.9 b | 26.9 | 29.6 b | 29.6 ab | ||||
| ≥40 years | 122 (13.9) | 27.9 b | 24.6 | 27.9 b | 36.9 b | ||||
| Mother’s education level | 0.544 | 0.190 | <0.001 | <0.001 | |||||
| ≤ Secondary school | 166 (18.9) | 31.3 | 30.7 | 63.9 a | 18.7 a | ||||
| High school | 241 (27.4) | 36.1 | 25.3 | 41.5 b | 16.6 a | ||||
| University | 471 (53.6) | 32.7 | 23.6 | 19.5 c | 36.1 b | ||||
| Mother has a job | 0.014 | 0.872 | <0.001 | <0.001 | |||||
| Yes | 429 (48.9) | 29.4 | 25.6 | 19.1 | 39.2 | ||||
| No | 449 (51.1) | 37.2 | 25.2 | 48.1 | 16.3 | ||||
| Family type | 0.429 | 0.977 | <0.001 | 0.006 | |||||
| Nuclear | 787 (89.6) | 33.8 | 25.4 | 31.8 | 28.8 | ||||
| Extended | 91 (10.4) | 29.7 | 25.3 | 52.7 | 15.4 | ||||
| Number of children | 0.157 | 0.125 | 0.024 | 0.091 | |||||
| 1 child | 325 (37.0) | 36.3 | 22.5 | 29.2 | 30.8 | ||||
| >1 children | 553 (63.0) | 31.6 | 27.1 | 36.7 | 25.5 | ||||
| Child’s age | 0.014 | 0.670 | 0.013 | 0.159 | |||||
| 2–3 years | 365 (41.6) | 38.1 | 24.7 | 38.6 | 24.9 | ||||
| 4–6 years | 513 (58.4) | 30.0 | 25.9 | 30.6 | 29.2 | ||||
| Kindergarten attendance | 0.830 | 0.103 | <0.001 | 0.496 | |||||
| No | 439 (50) | 33.0 | 27.8 | 43.3 | 26.4 | ||||
| Yes | 439 (50) | 33.7 | 23.0 | 24.6 | 28.5 | ||||
| Gestational duration | 0.995 | 0.944 | 0.020 | 0.041 | |||||
| <37 weeks | 66 (7.5) | 33.4 | 25.4 | 32.9 | 28.3 | ||||
| ≥37 weeks | 812 (92.5) | 33.3 | 25.8 | 47.0 | 16.7 | ||||
| Birth weight | 0.294 | 0.479 | 0.017 | 0.016 | |||||
| <2500 g | 58 (6.6) | 39.7 | 29.3 | 48.3 | 13.8 | ||||
| ≥2500 g | 820 (93.4) | 32.9 | 25.1 | 32.9 | 28.4 | ||||
| History of fetus or child death | 0.451 | 0.942 | 0.012 | 0.042 | |||||
| No | 848 (96.6) | 33.6 | 25.5 | 33.3 a | 27.0 a | ||||
| Intrauterine loss | 14 (1.6) | 35.7 | 21.4 | 35.7 ab | 57.1 ab | ||||
| Infant or child death | 16 (1.8) | 18.8 | 25.0 | 68.8 b | 25.0 a |
| Overprotective Score ≥ 37 Model 1 | Overprotective Score ≥ 37 Model 2 | Permissive Score ≥ 27 Model 1 | Permissive Score ≥ 27 Model 2 | |||||
|---|---|---|---|---|---|---|---|---|
| AOR | 95% CI | AOR | 95% CI | AOR | 95% CI | AOR | 95% CI | |
| Health status | ||||||||
| “Only mother is ill” vs. “Both healthy” | 0.82 | 0.48–1.38 | 0.78 | 0.46–1.33 | 1.26 | 0.76–2.11 | 1.31 | 0.79–2.20 |
| “Only child is ill” vs. “Both healthy” | 1.60 | 1.08–2.39 | 1.56 | 1.04–2.34 | 0.83 | 0.53–1.31 | 0.84 | 0.53–1.31 |
| “Both are ill” vs. “Both healthy” | 2.94 | 1.45–5.97 | 2.90 | 1.42–5.89 | 0.39 | 0.15–1.01 | 0.37 | 0.14–0.99 |
| Mother’s age | ||||||||
| 30–34 vs. <30 years | 0.92 | 0.61–1.37 | 1.05 | 0.69–1.60 | 0.60 | 0.39–0.94 | 0.60 | 0.38–0.93 |
| 35–39 vs. <30 years | 1.10 | 0.69–1.75 | 1.24 | 0.77–2.01 | 0.67 | 0.41–1.09 | 0.65 | 0.40–1.06 |
| ≥40 vs. <30 years | 0.84 | 0.48–1.47 | 0.95 | 0.53–1.69 | 1.03 | 0.60–1.76 | 1.00 | 0.59–1.72 |
| Mother’s education level | ||||||||
| High school vs. ≤ Secondary school | 0.52 | 0.34–0.80 | 0.50 | 0.32–0.77 | 0.67 | 0.38–1.16 | 0.73 | 0.41–1.27 |
| University vs. ≤ Secondary school | 0.29 | 0.17–0.47 | 0.25 | 0.15–0.42 | 1.02 | 0.57–1.81 | 1.17 | 0.65–2.11 |
| Mother has a job | ||||||||
| Yes vs. no | 0.54 | 0.36–0.81 | 0.53 | 0.35–0.80 | 2.93 | 1.90–4.53 | 2.99 | 1.92–4.66 |
| Family type | ||||||||
| Extended vs. Nuclear | 1.75 | 1.07–2.87 | 1.93 | 1.17–3.19 | 0.47 | 0.25–0.88 | 0.45 | 0.24–0.84 |
| Number of children | ||||||||
| >1 children vs. 1 child | 1.10 | 0.77–1.55 | 1.11 | 0.78–1.58 | 0.83 | 0.59–1.17 | 0.81 | 0.58–1.15 |
| Child’s age | ||||||||
| 4–6 vs. 2–3 years | 1.03 | 0.71–1.49 | 1.07 | 0.74–1.56 | 1.06 | 0.76–1.48 | 1.05 | 0.75–1.47 |
| Gestational duration | ||||||||
| <37 weeks vs. ≥37 weeks | 0.95 | 0.44–2.02 | 1.05 | 0.49–2.28 | 1.03 | 0.40–2.68 | 1.00 | 0.38–2.60 |
| Birth weight | ||||||||
| <2500 vs. ≥2500 g | 1.54 | 0.69–3.45 | 1.46 | 0.64–3.33 | 0.36 | 0.12–1.06 | 0.37 | 0.12–1.11 |
| History of fetus or child death | ||||||||
| Intrauterine loss vs. no | 1.27 | 0.38–4.24 | 1.08 | 0.30–3.89 | 4.33 | 1.37–13.72 | 4.28 | 1.34–13.68 |
| Infant or child death vs. no | 1.56 | 0.49–5.03 | 1.87 | 0.56–6.24 | 2.05 | 0.59–7.09 | 1.78 | 0.50–6.31 |
| Kindergarten attendance | ||||||||
| Yes vs. no | 0.65 | 0.45–0.94 | 0.62 | 0.42–0.90 | ||||
| Democratic subscale | ||||||||
| Score ≥78 vs. <78 | 2.53 | 1.81–3.55 | 0.71 | 0.50–1.02 | ||||
| Authoritarian subscale | ||||||||
| Score ≥23 vs. <23 | 1.26 | 0.87–1.81 | 1.12 | 0.78–1.61 | ||||
| Overprotective subscale | ||||||||
| Score ≥37 vs. <37 | 1.44 | 0.98–2.12 | ||||||
| Permissive subscale | ||||||||
| Score ≥27 vs. <27 | 1.38 | 0.94–2.03 | ||||||
| Constant | 1.39 | 0.83 | 0.36 | 0.32 | ||||
Disclaimer/Publisher’s Note: The statements, opinions and data contained in all publications are solely those of the individual author(s) and contributor(s) and not of MDPI and/or the editor(s). MDPI and/or the editor(s) disclaim responsibility for any injury to people or property resulting from any ideas, methods, instructions or products referred to in the content. |
© 2024 by the authors. Licensee MDPI, Basel, Switzerland. This article is an open access article distributed under the terms and conditions of the Creative Commons Attribution (CC BY) license (https://creativecommons.org/licenses/by/4.0/).
Share and Cite
Celik, M.; Altinel Acoglu, E.; Aydin, B.; Isiyel, E.; Yalcin, S.S. Caring Under Pressure: Investigating Parental Attitudes in Mother–Child Chronic Illness Dynamics. Children 2024, 11, 1348. https://doi.org/10.3390/children11111348
Celik M, Altinel Acoglu E, Aydin B, Isiyel E, Yalcin SS. Caring Under Pressure: Investigating Parental Attitudes in Mother–Child Chronic Illness Dynamics. Children. 2024; 11(11):1348. https://doi.org/10.3390/children11111348
Chicago/Turabian StyleCelik, Melda, Esma Altinel Acoglu, Beril Aydin, Emel Isiyel, and Siddika Songul Yalcin. 2024. "Caring Under Pressure: Investigating Parental Attitudes in Mother–Child Chronic Illness Dynamics" Children 11, no. 11: 1348. https://doi.org/10.3390/children11111348
APA StyleCelik, M., Altinel Acoglu, E., Aydin, B., Isiyel, E., & Yalcin, S. S. (2024). Caring Under Pressure: Investigating Parental Attitudes in Mother–Child Chronic Illness Dynamics. Children, 11(11), 1348. https://doi.org/10.3390/children11111348

