Exploring the Clinical Characteristics and Outcomes of Rhinovirus Infection in Hospitalized Children Compared with Other Respiratory Viruses
Abstract
1. Introduction
2. Materials and Methods
3. Results
3.1. General Data Analysis
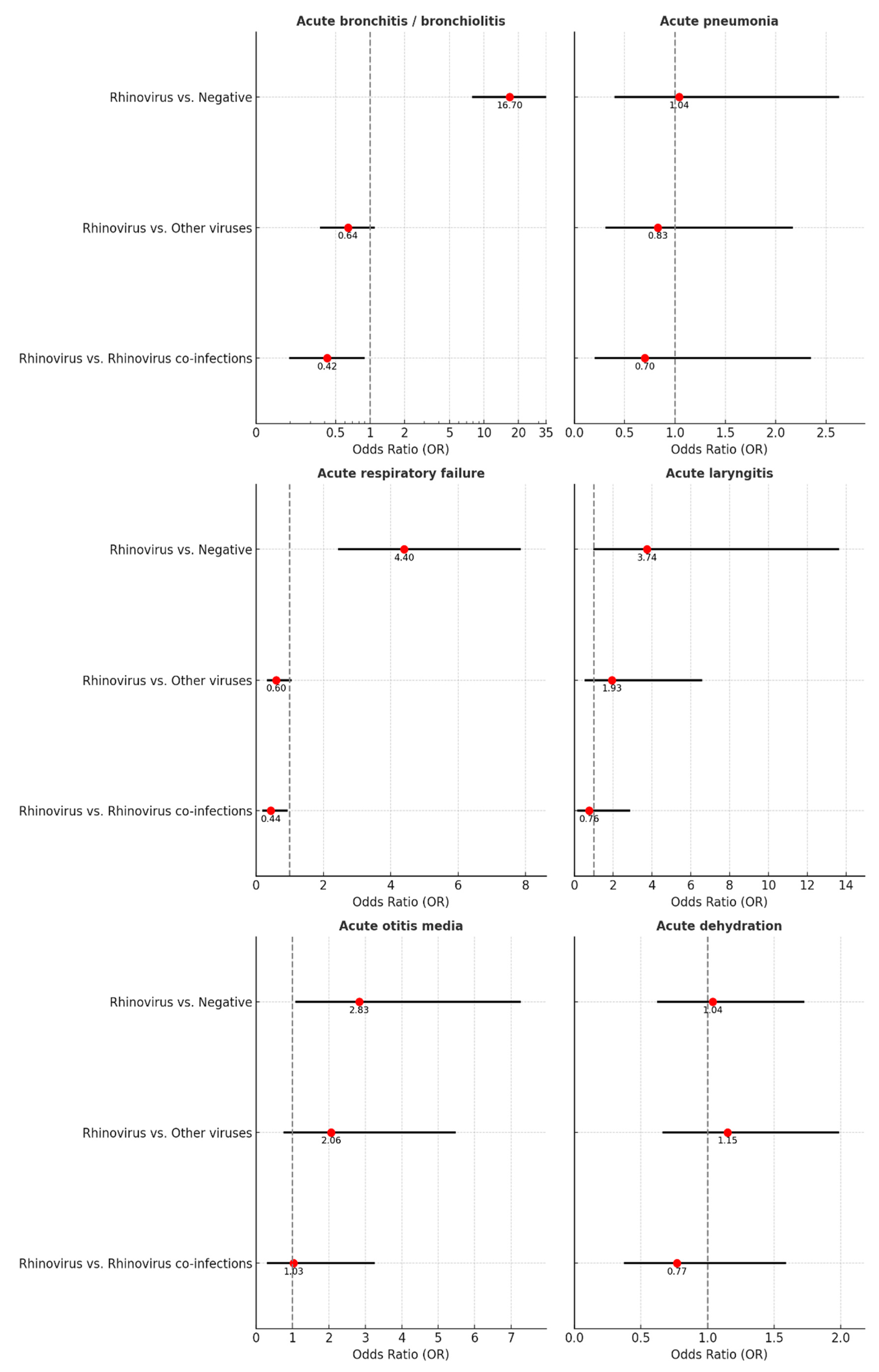
3.2. Specific and Comparative Characteristics of Rhinovirus-Positive Cases
4. Discussion
5. Conclusions
Author Contributions
Funding
Institutional Review Board Statement
Informed Consent Statement
Data Availability Statement
Acknowledgments
Conflicts of Interest
References
- Watson, A.; Wilkinson, T.M.A. Respiratory viral infections in the elderly. Ther. Adv. Respir. Dis. 2021, 15, 1753466621995050. [Google Scholar] [CrossRef] [PubMed]
- Leotte, J.; Trombetta, H.; Faggion, H.Z.; Almeida, B.M.; Nogueira, M.B.; Vidal, L.R.; Raboni, S.M. Impact and seasonality of human rhinovirus infection in hospitalized patients for two consecutive years. J. Pediatr. 2017, 93, 294–300. [Google Scholar] [CrossRef] [PubMed]
- Ljubin-Sternak, S.; Mestrovic, T. Rhinovirus-A True Respiratory Threat or a Common Inconvenience of Childhood? Viruses 2023, 15, 825. [Google Scholar] [CrossRef] [PubMed]
- Gern, J.E. The ABCs of rhinoviruses, wheezing, and asthma. J. Virol. 2010, 84, 7418–7426. [Google Scholar] [CrossRef] [PubMed]
- Vandini, S.; Biagi, C.; Fischer, M.; Lanari, M. Impact of Rhinovirus Infections in Children. Viruses 2019, 11, 521. [Google Scholar] [CrossRef]
- To, K.K.W.; Yip, C.C.Y.; Yuen, K.Y. Rhinovirus—From bench to bedside. J. Formos. Med. Assoc. 2017, 116, 496–504. [Google Scholar] [CrossRef]
- Winther, B. Rhinovirus infections in the upper airway. Proc. Am. Thorac. Soc. 2011, 8, 79–89. [Google Scholar] [CrossRef]
- Yin-Murphy, M.; Almond, J.W. Picornaviruses. In Medical Microbiology; University of Texas Medical Branch at Galveston: Galveston, TX, USA, 1996. [Google Scholar]
- Cafferkey, J.; Coultas, J.A.; Mallia, P. Human rhinovirus infection and COPD: Role in exacerbations and potential for therapeutic targets. Expert Rev. Respir. Med. 2020, 14, 777–789. [Google Scholar] [CrossRef]
- Atmar, R.L. Uncommon(ly considered) manifestations of infection with rhinovirus, agent of the common cold. Clin. Infect. Dis. 2005, 41, 266–267. [Google Scholar] [CrossRef]
- Kennedy, J.L.; Turner, R.B.; Braciale, T.; Heymann, P.W.; Borish, L. Pathogenesis of rhinovirus infection. Curr. Opin. Virol. 2012, 2, 287–293. [Google Scholar] [CrossRef]
- Miron, V.D.; Gunsahin, D.; Filimon, C.; Bar, G.; Craiu, M. Pediatric Emergencies and Hospital Admissions in the First Six Months of the COVID-19 Pandemic in a Tertiary Children’s Hospital in Romania. Children 2022, 9, 513. [Google Scholar] [CrossRef]
- Sandulescu, O.; Draganescu, A.; Pitigoi, D. Influenza redefined-clinical and epidemiological insight. Germs 2019, 9, 60. [Google Scholar] [CrossRef] [PubMed]
- Sandulescu, M.; Sandulescu, O. Changing clinical patterns and ear-nose-throat complications of seasonal viral respiratory tract infections. Germs 2023, 13, 311–313. [Google Scholar] [CrossRef] [PubMed]
- Draganescu, A.C.; Miron, V.D.; Sandulescu, O.; Bilasco, A.; Streinu-Cercel, A.; Sandu, R.G.; Marinescu, A.; Gunsahin, D.; Hoffmann, K.I.; Horobet, D.S.; et al. Omicron in Infants-Respiratory or Digestive Disease? Diagnostics 2023, 13, 421. [Google Scholar] [CrossRef] [PubMed]
- Olsen, S.J.; Winn, A.K.; Budd, A.P.; Prill, M.M.; Steel, J.; Midgley, C.M.; Kniss, K.; Burns, E.; Rowe, T.; Foust, A.; et al. Changes in Influenza and Other Respiratory Virus Activity During the COVID-19 Pandemic—United States, 2020–2021. Morb. Mortal. Wkly. Rep. 2021, 70, 1013–1019. [Google Scholar] [CrossRef] [PubMed]
- Miron, V.D.; Bar, G.; Filimon, C.; Craiu, M. From COVID-19 to Influenza-Real-Life Clinical Practice in a Pediatric Hospital. Diagnostics 2022, 12, 1208. [Google Scholar] [CrossRef]
- Miron, V.D.; Banica, L.; Sandulescu, O.; Paraschiv, S.; Surleac, M.; Florea, D.; Vlaicu, O.; Milu, P.; Streinu-Cercel, A.; Bilasco, A.; et al. Clinical and molecular epidemiology of influenza viruses from Romanian patients hospitalized during the 2019/20 season. PLoS ONE 2021, 16, e0258798. [Google Scholar] [CrossRef]
- Smedberg, J.R.; DiBiase, L.M.; Hawken, S.E.; Allen, A.; Mohan, S.; Santos, C.; Smedberg, T.; Barzin, A.H.; Wohl, D.A.; Miller, M.B. Reduction and persistence of co-circulating respiratory viruses during the SARS-CoV-2 pandemic. Am. J. Infect. Control. 2022, 50, 1064–1066. [Google Scholar] [CrossRef]
- Haapanen, M.; Renko, M.; Artama, M.; Kuitunen, I. The impact of the lockdown and the re-opening of schools and day cares on the epidemiology of SARS-CoV-2 and other respiratory infections in children–A nationwide register study in Finland. EClinicalMedicine 2021, 34, 100807. [Google Scholar] [CrossRef]
- Pinky, L.; Dobrovolny, H.M. SARS-CoV-2 coinfections: Could influenza and the common cold be beneficial? J. Med. Virol. 2020, 92, 2623–2630. [Google Scholar] [CrossRef]
- Esneau, C.; Duff, A.C.; Bartlett, N.W. Understanding Rhinovirus Circulation and Impact on Illness. Viruses 2022, 14, 141. [Google Scholar] [CrossRef] [PubMed]
- Jacobs, S.E.; Lamson, D.M.; St George, K.; Walsh, T.J. Human rhinoviruses. Clin. Microbiol. Rev. 2013, 26, 135–162. [Google Scholar] [CrossRef] [PubMed]
- Miron, V.D.; Craiu, M. Red throat or acute pharyngitis-challenges in real life clinical practice. Germs 2021, 11, 351–353. [Google Scholar] [CrossRef] [PubMed]
- Peltola, V.; Waris, M.; Osterback, R.; Susi, P.; Hyypia, T.; Ruuskanen, O. Clinical effects of rhinovirus infections. J. Clin. Virol. 2008, 43, 411–414. [Google Scholar] [CrossRef] [PubMed]
- Li, Y.; Min, L.; Zhang, X. Usefulness of procalcitonin (PCT), C-reactive protein (CRP), and white blood cell (WBC) levels in the differential diagnosis of acute bacterial, viral, and mycoplasmal respiratory tract infections in children. BMC Pulm. Med. 2021, 21, 386. [Google Scholar] [CrossRef] [PubMed]
- Debes, S.; Haug, J.B.; De Blasio, B.F.; Lindstrom, J.C.; Jonassen, C.M.; Dudman, S.G. Antibiotic Consumption in a Cohort of Hospitalized Adults with Viral Respiratory Tract Infection. Antibiotics 2023, 12, 788. [Google Scholar] [CrossRef]
- Diac, I.; Dogaroiu, C.; Keresztesi, A.A.; Horumba, M. Antimicrobial resistance trends-a single-center retrospective study of healthcare-associated pathogens-postmortem sampling from medico-legal autopsies in Bucharest. Germs 2022, 12, 352–360. [Google Scholar] [CrossRef]
- Schaut, M.; Schaefer, M.; Trost, U.; Sander, A. Integrated antibiotic clinical decision support system (CDSS) for appropriate choice and dosage: An analysis of retrospective data. Germs 2022, 12, 203–213. [Google Scholar] [CrossRef]
- Săndulescu, O.; Viziteu, I.; Streinu-Cercel, A.; Miron, V.D.; Preoțescu, L.L.; Chirca, N.; Albu, S.E.; Craiu, M.; Streinu-Cercel, A. Novel Antimicrobials, Drug Delivery Systems and Antivirulence Targets in the Pipeline—From Bench to Bedside. Appl. Sci. 2022, 12, 11615. [Google Scholar] [CrossRef]
- Rao, S.; Lamb, M.M.; Moss, A.; Mistry, R.D.; Grice, K.; Ahmed, W.; Santos-Cantu, D.; Kitchen, E.; Patel, C.; Ferrari, I.; et al. Effect of Rapid Respiratory Virus Testing on Antibiotic Prescribing Among Children Presenting to the Emergency Department with Acute Respiratory Illness: A Randomized Clinical Trial. JAMA Netw. Open 2021, 4, e2111836. [Google Scholar] [CrossRef]
- Tarciuc, P.; Plesca, D.A.; Duduciuc, A.; Gimiga, N.; Tataranu, E.; Herdea, V.; Ion, L.M.; Diaconescu, S. Self-Medication Patterns during a Pandemic: A Qualitative Study on Romanian Mothers’ Beliefs toward Self-Treatment of Their Children. Healthcare 2022, 10, 1602. [Google Scholar] [CrossRef] [PubMed]
- Plesca, V.S.; Miron, V.D.; Marinescu, A.G.; Draganescu, A.C.; Plesca, A.D.; Sandulescu, O.; Voiosu, C.; Hainarosie, R.; Streinu-Cercel, A. Hospitalizations for Acute Otitis and Sinusitis in Patients Living with HIV: A Retrospective Analysis of a Tertiary Center in Romania. J. Clin. Med. 2024, 13, 3346. [Google Scholar] [CrossRef] [PubMed]
- Fang, P.; Elena, A.X.; Kunath, M.A.; Berendonk, T.U.; Klumper, U. Reduced selection for antibiotic resistance in community context is maintained despite pressure by additional antibiotics. ISME Commun. 2023, 3, 52. [Google Scholar] [CrossRef] [PubMed]
- van Houten, C.B.; Cohen, A.; Engelhard, D.; Hays, J.P.; Karlsson, R.; Moore, E.; Fernandez, D.; Kreisberg, R.; Collins, L.V.; de Waal, W.; et al. Antibiotic misuse in respiratory tract infections in children and adults–A prospective, multicentre study (TAILORED Treatment). Eur. J. Clin. Microbiol. Infect. Dis. 2019, 38, 505–514. [Google Scholar] [CrossRef]
- Wildenbeest, J.G.; van der Schee, M.P.; Hashimoto, S.; Benschop, K.S.; Minnaar, R.P.; Sprikkelman, A.B.; Haarman, E.G.; van Aalderen, W.M.; Sterk, P.J.; Pajkrt, D.; et al. Prevalence of rhinoviruses in young children of an unselected birth cohort from the Netherlands. Clin. Microbiol. Infect. 2016, 22, 736.e9–736.e15. [Google Scholar] [CrossRef]
- Plesca, V.S.; Streinu-Cercel, A.; Sandulescu, O.; Draganescu, A.C.; Hainarosie, R.; Plesca, A.D. Incidence and Characteristics of Pediatric Patients with Acute Otitis Hospitalized in a Romanian Infectious Diseases Hospital. Children 2024, 11, 832. [Google Scholar] [CrossRef]
- Stewart, C.J.; Hasegawa, K.; Wong, M.C.; Ajami, N.J.; Petrosino, J.F.; Piedra, P.A.; Espinola, J.A.; Tierney, C.N.; Camargo, C.A., Jr.; Mansbach, J.M. Respiratory Syncytial Virus and Rhinovirus Bronchiolitis Are Associated with Distinct Metabolic Pathways. J. Infect. Dis. 2018, 217, 1160–1169. [Google Scholar] [CrossRef]
- Draganescu, A.C.; Miron, V.D.; Streinu-Cercel, A.; Florea, D.; Vlaicu, O.; Bilasco, A.; Otelea, D.; Luminos, M.L.; Pitigoi, D.; Streinu-Cercel, A.; et al. Circulation of influenza A viruses among patients hospitalized for severe acute respiratory infection in a tertiary care hospital in Romania in the 2018/19 season: Results from an observational descriptive epidemiological study. Medicine 2021, 100, e28460. [Google Scholar] [CrossRef]
- Chantzi, F.M.; Papadopoulos, N.G.; Bairamis, T.; Tsiakou, M.; Bournousouzis, N.; Constantopoulos, A.G.; Liapi, G.; Xatzipsalti, M.; Kafetzis, D.A. Human rhinoviruses in otitis media with effusion. Pediatr. Allergy Immunol. 2006, 17, 514–518. [Google Scholar] [CrossRef]
- Plesca, V.S.; Marinescu, A.G.; Voiosu, C.; Draganescu, A.C.; Streinu-Cercel, A.; Vilaia, A.; Hainarosie, R.; Plesca, D.A.; Sandulescu, O. Occurrence of acute otitis and sinusitis in patients hospitalized for influenza. Germs 2024, 14, 38–44. [Google Scholar] [CrossRef]
- Rankin, D.A.; Spieker, A.J.; Perez, A.; Stahl, A.L.; Rahman, H.K.; Stewart, L.S.; Schuster, J.E.; Lively, J.Y.; Haddadin, Z.; Probst, V.; et al. Circulation of Rhinoviruses and/or Enteroviruses in Pediatric Patients with Acute Respiratory Illness Before and During the COVID-19 Pandemic in the US. JAMA Netw. Open 2023, 6, e2254909. [Google Scholar] [CrossRef] [PubMed]




| Characteristics | Only Rhinovirus Infection | Negative Patients | p-Value | Other Respiratory Viruses | p-Value | Rhinovirus Co-Infection | p-Value |
|---|---|---|---|---|---|---|---|
| N = 91 | N = 216 | N = 142 | N = 47 | ||||
| Demographic data | |||||||
| Male | 49 (53.8) | 114 (52.8) | 0.862 | 78 (54.9) | 0.862 | 28 (59.6) | 0.521 |
| Age (months), median (IQR) | 12 (2, 53) | 6.5 (0, 58.5) | <0.001 | 3 (0, 24.5) | <0.001 | 13 (4, 32) | 0.457 |
| Clinical features | |||||||
| Malaise | 38 (41.8) | 73 (33.8) | 0.184 | 56 (39.4) | 0.729 | 19 (40.4) | 0.887 |
| Fever | 43 (47.3) | 92 (42.6) | 0.454 | 68 (47.9) | 0.920 | 30 (63.8) | 0.064 |
| Cough | 58 (63.7) | 57 (26.4) | <0.001 | 121 (85.2) | <0.001 | 40 (85.1) | 0.009 |
| Nasal congestion | 39 (42.9) | 27 (12.5) | <0.001 | 83 (58.5) | 0.020 | 23 (48.9) | 0.497 |
| Dyspnea | 47 (51.6) | 46 (21.3) | <0.001 | 95 (66.9) | 0.019 | 33 (70.2) | 0.036 |
| Diarrhea | 18 (19.8) | 57 (26.4) | 0.219 | 18 (12.7) | 0.143 | 6 (12.8) | 0.303 |
| Vomiting | 17 (18.7) | 34 (15.7) | 0.105 | 15 (10.6) | 0.079 | 2 (4.3) | 0.019 |
| Laboratory findings | |||||||
| Increased WBC | 38 (41.8) | 66 (30.6) | 0.058 | 24 (16.9) | <0.001 | 14 (29.8) | 0.169 |
| Decreased WBC | 3 (3.3) | 16 (7.4) | 0.172 | 10 (7.0) | 0.223 | 0 (0.0) | NA |
| Increased neutrophils | 34 (37.4) | 64 (29.6) | 0.184 | 22 (15.5) | <0.001 | 13 (27.7) | 0.254 |
| Decreased neutrophils | 1 (1.1) | 14 (6.5) | 0.076 | 6 (4.2) | 0.251 | 1 (2.1) | NA |
| Increased monocyte | 55 (60.4) | 125 (57.9) | 0.680 | 78 (54.9) | 0.406 | 31 (66.0) | 0.527 |
| Increased lymphocyte | 9 (9.9) | 24 (11.1) | 0.751 | 17 (12.0) | 0.624 | 4 (8.5) | 0.828 |
| Decreased lymphocyte | 22 (24.2) | 36 (16.7) | 0.124 | 34 (23.9) | 0.920 | 9 (19.1) | 0.502 |
| Elevated CRP | 51 (56.0) | 96 (44.4) | 0.063 | 55 (38.7) | 0.009 | 20 (42.6) | 0.132 |
| Treatment | |||||||
| Antibiotics | 34 (37.4) | 115 (53.2) | 0.011 | 71 (50.0) | 0.058 | 21 (44.7) | 0.350 |
| Aerosol therapy | 58 (63.7) | 52 (24.9) | <0.001 | 114 (80.3) | 0.005 | 33 (70.2) | 0.446 |
| Isotonic saline solution * | 9 (9.9) | 7 (3.2) | 0.023 | 19 (13.4) | 0.423 | 5 (10.6) | 0.892 |
| Hypertonic saline solution * | 15 (16.5) | 25 (11.6) | 0.243 | 12 (8.5) | 0.061 | 2 (4.3) | 0.041 |
| Salbutamol * | 35 (38.5) | 25 (11.6) | <0.001 | 30 (21.1) | 0.003 | 14 (29.8) | 0.312 |
| Adrenaline * | 24 (26.4) | 20 (9.3) | <0.001 | 79 (55.6) | <0.001 | 21 (44.7) | 0.029 |
| Cortisone # | 39 (42.9) | 50 (23.1) | <0.001 | 51 (35.9) | 0.287 | 26 (55.3) | 0.164 |
| Complications | |||||||
| AOM | 10 (11.0) | 9 (4.2) | 0.023 | 8 (5.6) | 0.135 | 5 (10.6) | 0.920 |
| Acute bronchitis or bronchiolitis | 43 (47.3) | 11 (5.1) | <0.001 | 83 (58.5) | 0.094 | 32 (68.1) | 0.019 |
| ARF | 36 (39.6) | 28 (13.0) | <0.001 | 74 (52.1) | 0.060 | 28 (59.6) | 0.025 |
| Acute laryngitis | 6 (6.6) | 4 (1.9) | 0.042 | 5 (3.5) | 0.346 | 4 (8.5) | 0.734 |
| Acute pneumonia | 7 (7.7) | 16 (7.4) | 0.920 | 13 (9.2) | 0.718 | 5 (10.6) | 0.751 |
| Acute dehydration | 35 (38.5) | 81 (37.5) | 0.862 | 50 (35.2) | 0.617 | 21 (44.7) | 0.479 |
Disclaimer/Publisher’s Note: The statements, opinions and data contained in all publications are solely those of the individual author(s) and contributor(s) and not of MDPI and/or the editor(s). MDPI and/or the editor(s) disclaim responsibility for any injury to people or property resulting from any ideas, methods, instructions or products referred to in the content. |
© 2024 by the authors. Licensee MDPI, Basel, Switzerland. This article is an open access article distributed under the terms and conditions of the Creative Commons Attribution (CC BY) license (https://creativecommons.org/licenses/by/4.0/).
Share and Cite
Covaci, S.; Filimon, C.; Craiu, M. Exploring the Clinical Characteristics and Outcomes of Rhinovirus Infection in Hospitalized Children Compared with Other Respiratory Viruses. Children 2024, 11, 1303. https://doi.org/10.3390/children11111303
Covaci S, Filimon C, Craiu M. Exploring the Clinical Characteristics and Outcomes of Rhinovirus Infection in Hospitalized Children Compared with Other Respiratory Viruses. Children. 2024; 11(11):1303. https://doi.org/10.3390/children11111303
Chicago/Turabian StyleCovaci, Sigrid, Claudiu Filimon, and Mihai Craiu. 2024. "Exploring the Clinical Characteristics and Outcomes of Rhinovirus Infection in Hospitalized Children Compared with Other Respiratory Viruses" Children 11, no. 11: 1303. https://doi.org/10.3390/children11111303
APA StyleCovaci, S., Filimon, C., & Craiu, M. (2024). Exploring the Clinical Characteristics and Outcomes of Rhinovirus Infection in Hospitalized Children Compared with Other Respiratory Viruses. Children, 11(11), 1303. https://doi.org/10.3390/children11111303

