Concurrent and Predictive Validity of a Cycloid Loops Copy Task to Assess Handwriting Disorders in Children
Abstract
1. Introduction
2. Materials and Methods
2.1. Participants
2.2. Design and Measures
2.2.1. Concise Evaluation Scale for Children’s Handwriting, the BHK Scale
2.2.2. Experimental Handwriting Assessments
2.2.3. Postural and Gestural Parameters
2.2.4. Spatial-Temporal and Kinematic Measures
- Spatial parameters:
- ○
- Total drawing length: length of all strokes.
- ○
- Average length per stroke: length measured by stroke, a stroke corresponding to continuous lines, without lifting the pen from the sheet of paper.
- ○
- Drawing width: difference between the rightmost point of the cycloid loops line and the leftmost point of the line.
- ○
- Drawing height: difference between the highest point of the cycloid loops line and the lowest point.
- ○
- Degree of inclination of the line: average inclination of the loop line from the horizontal.
- ○
- Height of the loops: average height of each loop.
- ○
- Spacing between loops: average of the spaces between each of the loops in the line.
- ○
- Number of loops: number of loops drawn in the entire line.
- Temporal parameters:
- ○
- Number of strokes: number of continuous lines, without lifting the pen from the sheet of paper.
- ○
- Total drawing time: total time taken by the child to complete the loop line, including both the times the pen traces on the sheet, and the paused times when the pen does not make any traces.
- ○
- Effective drawing time: tracing time during which the pen is in motion and in contact with the sheet.
- ○
- Number of on-paper pauses: pauses when the pen is no longer drawing and during which it is in contact with the sheet.
- ○
- Number of in-air pauses: pauses when the pen is no longer drawing and when it is lifted from the sheet.
- Kinematic parameters:
- ○
- Number of velocity peaks: moments of acceleration of the drawing before deceleration.
- ○
- Average and maximum velocity: ratio of the average/maximum total plot time to the average/maximum total plot length.
2.3. Statistical Analysis
3. Results
3.1. Characteristics of the Sample
3.2. School Grades of Children with Handwriting Disorders Compared Typically Developing Children
3.3. Postural and Gestural Features of Children with Handwriting Disorders Compared to Typically-Developing Children
3.4. Spatial, Temporal and Kinematic Dynamic Measures among Children with Handwriting Disorders Compared to Typically Developing Children
3.5. Concurrent Validity between the Criteria on the BHK Standardized Scale and the Spatial/Temporal/Kinematic Measures in the HD Group (n = 35)
- -
- the writing velocity according to the BHK scale (number of characters copied),
- -
- the scores on the 13 BHK criteria.
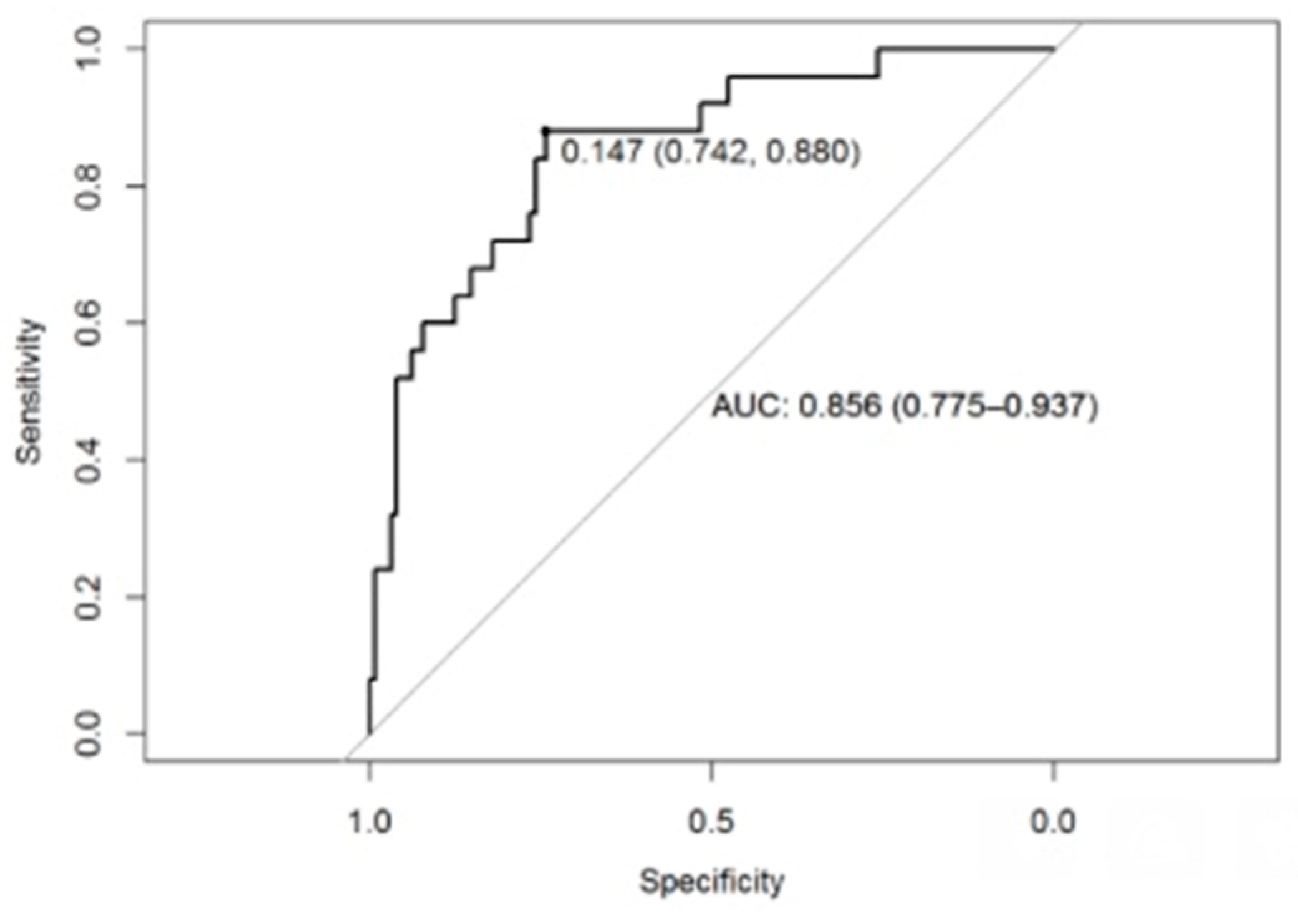
3.6. Predictive Validity: Highlighting the Most Discriminating Variables to Diagnose Handwriting Disorders (Logistic Regression Method)
4. Discussion
5. Conclusions
Author Contributions
Funding
Institutional Review Board Statement
Informed Consent Statement
Data Availability Statement
Acknowledgments
Conflicts of Interest
References
- Karlsdottir, R.; Stefansson, T. Problems in developing functional handwriting. Percept. Mot. Skills 2002, 94, 623–662. [Google Scholar] [CrossRef] [PubMed]
- Naider-Steinhart, S.; Katz-Leurer, M. Analysis of Proximal and Distal Muscle Activity During Handwriting Tasks. Am. J. Occup. Ther. 2007, 61, 392–398. [Google Scholar] [CrossRef] [PubMed]
- Sassoon, R. Handwriting: A New Perspective; Stanley Thornes: Chelthenham, UK, 1990. [Google Scholar]
- Hamstra-Bletz, L.; DeBie, J.; Den Brinker, B. Concise Evaluation Scale for Children’s Handwriting; Zeitlinger: Lisse, The Netherlands, 1987. [Google Scholar]
- Charles, M.; Soppelsa, R.; Albaret, J.-M. Echelle D’évaluation Rapide de L’écriture chez L’enfant [Concise Evaluation Scale of Handwriting in Children]; ECPA: Paris, France, 2004. [Google Scholar]
- Bieber, E.; Smits-Engelsman, B.C.; Sgandurra, G.; Cioni, G.; Feys, H.; Guzzetta, A.; Klingels, K. Manual function outcome measures in children with developmental coordination disorder (DCD): Systematic review. Res. Dev. Disabil. 2016, 55, 114–131. [Google Scholar] [CrossRef] [PubMed]
- Donica, D.K.; Francsis, E. Exploring Content Validity of Shore Handwriting Screening and Newly Developed Score Sheet With Pre-Kindergarten Students. Open J. Occup. Ther. 2015, 3, 6. [Google Scholar] [CrossRef]
- Cornhill, H.; Case-Smith, J. Factors That Relate to Good and Poor Handwriting. Am. J. Occup. Ther. 1996, 50, 732–739. [Google Scholar] [CrossRef]
- Duiser, I.H.F.; van der Kamp, J.; Ledebt, A.; Savelsbergh, G.J.P. Relationship between the quality of children’s handwriting and the Beery Buktenica developmental test of visuomotor integration after one year of writing tuition. Aust. Occup. Ther. J. 2013, 61, 76–82. [Google Scholar] [CrossRef]
- Tseng, M.H.; Chow, S.M.K. Perceptual-Motor Function of School-Age Children With Slow Handwriting Speed. Am. J. Occup. Ther. 2000, 54, 83–88. [Google Scholar] [CrossRef]
- Tseng, M.H.; Murray, E.A. Differences in Perceptual-Motor Measures in Children with Good and Poor Handwriting. Occup. Ther. J. Res. 1994, 14, 19–36. [Google Scholar] [CrossRef]
- Weil, M.J.; Cunningham Amundson, S.J. Relationship Between Visuomotor and Handwriting Skills of Children in Kindergarten. Am. J. Occup. Ther. 1994, 48, 982–988. [Google Scholar] [CrossRef]
- Weintraub, N.; Graham, S. The contribution of gender, orthographic, finger function, and visual–motor processes to the prediction of handwriting status. OTJR 2000, 20, 121–141. [Google Scholar] [CrossRef]
- Yochman, A.; Parush, S. Differences in Hebrew handwriting skills between Israeli children in second and third grade. Phys. Occup. Ther. Pediatr. 1998, 18, 53–65. [Google Scholar] [CrossRef]
- Beery, K.E.; Buktenica, N.A.; Beery, N.A. The Beery–Buktenica Developmental Test of Visual–Motor Integration: Administration, Scoring, and Teaching Manual, 6th ed.; Pearson: Minneapolis, MN, USA, 2010. [Google Scholar]
- Bo, J.; Bastian, A.J.; Kagerer, F.A.; Contreras-Vidal, J.L.; Clark, J.E. Temporal variability in continuous versus discontinuous drawing for children with Developmental Coordination Disorder. Neurosci. Lett. 2008, 431, 215–220. [Google Scholar] [CrossRef] [PubMed]
- Pellizzer, G.; Zesiger, P. Hypothesis regarding the transformation of the intended direction of movement during the pro-duction of graphic trajectories: A study of drawing movements in 8- to 12-year-old children. Cortex 2009, 45, 356–367. [Google Scholar] [CrossRef]
- Khalid, P.I.; Yunus, J.; Adnan, R. Extraction of dynamic features from hand drawn data for the identification of children with handwriting difficulty. Res. Dev. Disabil. 2010, 31, 256–262. [Google Scholar] [CrossRef] [PubMed]
- Galli, M.; Vimercati, S.L.; Stella, G.; Caiazzo, G.; Norveti, F.; Onnis, F.; Rigoldi, C.; Albertini, G. A new approach for the quantitative evaluation of drawings in children with learning disabilities. Res. Dev. Disabil. 2011, 32, 1004–1010. [Google Scholar] [CrossRef]
- Meulenbroek, R.G.J.; van Galen, G.P. Movement analysis of repetitive writing behaviour of first, second and third grade primary school children. In Graphonomics: Contemporary Research in Hand-Writing; Kao, H., ran Galen, G., Hoosain, R., Eds.; Elsevier Science Publishers: Amsterdam, The Netherlands, 1986. [Google Scholar]
- Tressoldi, P.E.; Cornoldi, C.; Re, A.M. BVSCO, Battery for the Assessment of Writing Skills of Children from 7 to 13 Years Old; Giunti OS: Firenze, Italy, 2000; Batteria per la valutazione della scrittura e della competenza ortografica nella scuola dell’obbligo. [Google Scholar]
- Vaivre-Douret, L.; Lopez, C. Organisation Developpementale Du Geste Graphomoteur Chez L’enfant Scolarise En Primaire: Caracteristiques Gestuelles Et Spatio-Temporelles/Cinematiques [Developmental Organization Of The Graphomotor Gesture In Children In Primary School: Gestural And Spatial-Temporal/Kinematic Characteristics]. ANAE 2021, 170, 1–15. [Google Scholar]
- Vaivre-Douret, L.; Lopez, C.; Dutruel, A.; Vaivre, S. Phenotyping features in the genesis of pre-scriptural gestures in children to assess handwriting developmental levels. Sci. Rep. 2021, 11, 731. [Google Scholar] [CrossRef]
- Smits-Engelsman, B.; Wilson, P.; Westenberg, Y.; Duysens, J. Fine motor deficiencies in children with developmental coordination disorder and learning disabilities: An underlying open-loop control deficit. Hum. Mov. Sci. 2003, 22, 495–513. [Google Scholar] [CrossRef]
- Lopez, C.; Vaivre-Douret, L. Influence of visual control on the quality of graphic gesture in children with handwriting disorders. Sci. Rep. 2021, 11, 23537. [Google Scholar] [CrossRef]
- APA. Diagnostic and Statistical Manual of Mental Disorders, DSM-5, 5th ed.; American Psychiatric Publishing: Arlington, MA, USA, 2013. [Google Scholar]
- R Core Team. R: A Language and Environment for Statistical Computing; R Foundation for Statistical Computing: Vienna, Austria, 2012. [Google Scholar]
- Bo, J.; Colbert, A.; Lee, C.-M.; Schaffert, J.; Oswald, K.; Neill, R. Examining the relationship between motor assessments and handwriting consistency in children with and without probable Developmental Coordination Disorder. Res. Dev. Disabil. 2014, 35, 2035–2043. [Google Scholar] [CrossRef]
- Danna, J.; Wamain, Y.; Kostrubiec, V.; Tallet, J.; Zanone, P.-G. Vers une prise en compte de la contrainte liée à l’effecteur dans la dynamique de coordination graphomotrice. [Towards a consideration of effector-related constraint in graphomotor coordination dynamics.]. Psychol. Française 2010, 55, 171–180. [Google Scholar] [CrossRef]
- Raj, J.D.; Nelson, J.A.; Rao, K.S.P. A Study on the Effects of Some Reinforcers to Improve Performance of Employees in a Retail Industry. Behav. Modif. 2006, 6, 848–866. [Google Scholar] [CrossRef]
- Casteran, L.; Deschamps, L.; Boutet, J.; Aloui, S.; N’Guyen-Morel, M.-A.; Labyt, E.; Jolly, C. Identification de deux sous-types de dysgraphies à partir de l’analyse de paramètres cinématiques et statiques de l’écriture d’enfants typiques et porteurs d’une dysgraphie [Identification of two subtypes of dysgraphia from the analysis of kinematic and static parameters of the writing of typical and dysgraphic children]. ANAE 2021, 172, 337–345. [Google Scholar]
- Asselborn, T.; Chapatte, M.; Dillenbourg, P. Extending the Spectrum of Dysgraphia: A Data Driven Strategy to Estimate Handwriting Quality. Sci. Rep. 2020, 10, 3140. [Google Scholar] [CrossRef] [PubMed]
- Lopez, C.; Hemimou, C.; Golse, B.; Vaivre-Douret, L. Developmental dysgraphia is often associated with minor neurological dysfunction in children with developmental coordination disorder (DCD). Neurophysiol. Clin. 2018, 48, 207–217. [Google Scholar] [CrossRef]
- Hamdioui, S.; Vaivre-Douret, L. Clinical Markers of Dysgraphia According to Intellectual Quotient in Children with De-velopmental Coordination Disorder. J. Psychiatry Psychiatr. Disord. 2020, 4, 366–382. [Google Scholar] [CrossRef]
- Bara, F.; Gentaz, E. Haptics in teaching handwriting: The role of perceptual and visuo-motor skills. Hum. Mov. Sci. 2011, 30, 745–759. [Google Scholar] [CrossRef]
- Chartrel, E.; Vinter, A. Rôle des informations visuelles dans la production de lettres cursives chez l’enfant et l’adulte. [Role of visual information in cursive letter production in children and adults.]. Année Psychol. 2006, 106, 43–63. [Google Scholar] [CrossRef]
- Guilbert, J.; Alamargot, D.; Morin, M.-F. Handwriting on a tablet screen: Role of visual and proprioceptive feedback in the control of movement by children and adults. Hum. Mov. Sci. 2018, 65, 30–41. [Google Scholar] [CrossRef]
- Alamargot, D.; Morin, M.-F. Does handwriting on a tablet screen affect students’ graphomotor execution? A comparison between Grades Two and Nine. Hum. Mov. Sci. 2015, 44, 32–41. [Google Scholar] [CrossRef]
- Gerth, S.; Dolk, T.; Klassert, A.; Fliesser, M.; Fischer, M.H.; Nottbusch, G.; Festman, J. Adapting to the surface: A comparison of handwriting measures when writing on a tablet computer and on paper. Hum. Mov. Sci. 2016, 48, 62–73. [Google Scholar] [CrossRef] [PubMed]




| Handwriting Disorder Not Identified by the BHK Test (n = 10) | Moderate Handwriting Disorder (n = 12) | Dysgraphia (n = 13) | Total (n = 35) | |
|---|---|---|---|---|
| BHK degradation score [m (SD)] | −0.12 (0.59) | 1.24 (0.33) | 2.61 (0.72) | 1.41 (1.22) |
| BHK velocity score [m (SD)] | 0.05 (0.54) | 0.23 (1.29) | 0.11 (1.06) | 0.07 (0.998) |
| Age (months) [m (SD)] | 98.7 (17.17) | 93.58 (19.06) | 108 (21.61) | 100.4 (19.99) |
| Gender [n (F/M)] | 1/9 | 2/10 | 4/9 | 7/28 |
| School Grades | TDC Group (n = 331) | HD Group (n = 35) | p-Value | ||
|---|---|---|---|---|---|
| n | % | n | % | ||
| 1st grade | 58 | 18 | 9 | 26 | 0.3248 |
| 2nd | 75 | 23 | 8 | 23 | |
| 3rd | 72 | 22 | 4 | 11 | |
| 4th | 64 | 19 | 4 | 11 | |
| 5th | 62 | 19 | 10 | 29 | |
| Features | Typical Group (n = 331) | Handwriting Disorders Group (n = 35) | p-Value | |
|---|---|---|---|---|
| m (SD) | m (SD) | |||
| Spatial measures | Total drawing length (mm) | 687.5 (166.4) | 768.6 (151.7) | 0.0018 ** |
| Average length per stroke (mm) | 514.3 (228.7) | 314.1 (1.0) | 6.123 × 10−6 *** | |
| Drawing width (mm) | 194.4 (9.0) | 192.8 (13.8) | 0.927 | |
| Drawing height (mm) | 26.9 (16.6) | 24.5 (7.1) | 0.760 | |
| Degree of inclination of the line | −1.6 (3.0) | −0.42 (3.4) | 0.058 | |
| Height of loops (mm) | 12.2 (5.5) | 10 (4.4) | 0.021 * | |
| Spacing between loops (mm) | 13.3 (6.0) | 9.09 (4.1) | 9.163 × 10−6 *** | |
| Number of loops | 17.9 (9.0) | 25.8 (11.4) | 2.296 × 10−5 *** | |
| Temporal and kinematic measures | Number of strokes | 2.0 (2.3) | 5.7 (6.7) | 7.754 × 10−9 *** |
| Total drawing time (s) | 17.4 (14.1) | 33.1 (21.4) | 6.683 × 10−8 *** | |
| Effective drawing time (s) | 16.09 (12.5) | 26.7 (14.2) | 5.259 × 10−7 *** | |
| On-paper pauses times (s) | 0.12 (0.5) | 0.43 (2.2) | 0.673 | |
| In-air pauses times (s) | 0.87 (3.1) | 4.51 (8.8) | 9.167 × 10−6 *** | |
| Number of velocity peaks | 1.29 (2.4) | 2.14 (2.5) | 0.003 ** | |
| Average velocity (mm/s) | 57.12 (28.1) | 37.8 (22.7) | 7.594 × 10−6 *** | |
| Maximum velocity (mm/s) | 59.1 (27.9) | 43.14 (22.4) | 0.0002 *** |
| BHK Test Criteria | Spatial/Temporal/Kinematic Measures | Pearson’s r | p-Value | Interpretations |
|---|---|---|---|---|
| Raw score | No significant correlation | |||
| Number of letters written in 5 mn | Total drawing time (s) | −0.44 | 0.026 * | Strong negative correlation |
| Effective drawing time (s) | −0.45 | 0.023 * | Strong negative correlation | |
| Average velocity (mm/s) | 0.47 | 0.017 * | Strong positive correlation | |
| Maximum velocity (mm/s) | 0.44 | 0.028 * | Strong positive correlation | |
| Criterion 1: writing is too large | Height of loops (mm) | 0.49 | 0.013 * | Strong positive correlation |
| Spacing between loops (mm) | 0.40 | 0.049 * | Weak positive correlation | |
| Criterion 2: widening of left margin | Drawing height (mm) | 0.43 | 0.033 * | Strong positive correlation |
| Height of loops (mm) | 0.44 | 0.029 * | Strong positive correlation | |
| Criterion 5: acute turns in joining letters | Number of strokes | 0.50 | 0.009 ** | Strong positive correlation |
| Total drawing time (s) | 0.59 | 0.002 ** | Strong positive correlation | |
| Effective drawing time (s) | 0.51 | 0.009 ** | Strong positive correlation | |
| In-air pauses times (s) | 0.52 | 0.008 ** | Strong positive correlation | |
| Average length per stroke (mm) | −0.41 | 0.041 * | Strong negative correlation | |
| Average velocity (mm/s) | −0.41 | 0.041 * | Strong negative correlation | |
| Height of loops (mm) | −0.41 | 0.042 * | Strong negative correlation | |
| Spacing between loops (mm) | −0.40 | 0.044 * | Strong negative correlation | |
| Criterion 12: correction of letter forms | Number of loops | 0.61 | 0.001 ** | Strong positive correlation |
| Spacing between loops (mm) | −0.48 | 0.016 * | Strong negative correlation | |
| Criterion 13: unsteady writing trace | Total drawing time (s) | 0.53 | 0.006 ** | Strong positive correlation |
| Effective drawing time (s) | 0.51 | 0.009 ** | Strong positive correlation | |
| In-air pauses times (s) | 0.48 | 0.015 * | Strong positive correlation | |
| Spatial/Temporal/Kinematic Measures | Overall |
|---|---|
| Number of velocity peaks | 100.0000 |
| In-air pauses times (s) | 47.7463 |
| Number of strokes | 24.7200 |
| Height of loops (mm) | 7.0010 |
| Effective drawing time (s) | 4.9866 |
| Average length per stroke (mm) | 0.4405 |
| Total drawing length (mm) | 0.2584 |
Disclaimer/Publisher’s Note: The statements, opinions and data contained in all publications are solely those of the individual author(s) and contributor(s) and not of MDPI and/or the editor(s). MDPI and/or the editor(s) disclaim responsibility for any injury to people or property resulting from any ideas, methods, instructions or products referred to in the content. |
© 2023 by the authors. Licensee MDPI, Basel, Switzerland. This article is an open access article distributed under the terms and conditions of the Creative Commons Attribution (CC BY) license (https://creativecommons.org/licenses/by/4.0/).
Share and Cite
Lopez, C.; Vaivre-Douret, L. Concurrent and Predictive Validity of a Cycloid Loops Copy Task to Assess Handwriting Disorders in Children. Children 2023, 10, 305. https://doi.org/10.3390/children10020305
Lopez C, Vaivre-Douret L. Concurrent and Predictive Validity of a Cycloid Loops Copy Task to Assess Handwriting Disorders in Children. Children. 2023; 10(2):305. https://doi.org/10.3390/children10020305
Chicago/Turabian StyleLopez, Clémence, and Laurence Vaivre-Douret. 2023. "Concurrent and Predictive Validity of a Cycloid Loops Copy Task to Assess Handwriting Disorders in Children" Children 10, no. 2: 305. https://doi.org/10.3390/children10020305
APA StyleLopez, C., & Vaivre-Douret, L. (2023). Concurrent and Predictive Validity of a Cycloid Loops Copy Task to Assess Handwriting Disorders in Children. Children, 10(2), 305. https://doi.org/10.3390/children10020305

