Reading in COVID-19 Pandemic Times: A Snapshot of Reading Fluency of Portuguese Elementary School Students
Abstract
1. Introduction
2. Materials and Methods
2.1. Participants and Setting
2.2. Explanatory Sequential Approach
2.3. Data Collection and Procedures
2.3.1. Quantitative Data Sources
2.3.2. Quantitative Data Analysis
2.3.3. Qualitative Data Sources
2.3.4. Qualitative Data Analysis
3. Results
3.1. Quantitative Results (QUANT)
3.1.1. Preliminary Analysis
3.1.2. T-Test Analysis
3.1.3. Multivariate Analysis of Covariance (MANCOVA) Analysis
3.2. Focus Group Results (QUAL)
4. Discussion
Author Contributions
Funding
Institutional Review Board Statement
Informed Consent Statement
Data Availability Statement
Acknowledgments
Conflicts of Interest
References
- Snow, C.E. Reading for Understanding: Toward an R&D Program in Reading Comprehension; Rand Corporation: Santa Monica, CA, USA, 2002. [Google Scholar]
- OECD. International Student Assessment (PISA)—Reading Performance (PISA). OECD Data. 2019. Available online: https://data.oecd.org/pisa/reading-performance-pisa.htm (accessed on 22 August 2022).
- Domingue, B.W.; Hough, H.J.; Lang, D.; Yeatman, J. Changing Patterns of Growth in Oral Reading Fluency during the COVID-19 Pandemic; 21–391. PACE 2021, 12. [Google Scholar] [CrossRef]
- Rasinski, T.; Rikli, A.; Johnston, S. Reading Fluency: More Than Automaticity? More Than a Concern for the Primary Grades? Lit. Res. Instr. 2009, 48, 350–361. [Google Scholar] [CrossRef]
- Torppa, M.; Georgiou, G.; Salmi, P.; Eklund, K.; Lyytinen, H. Examining the Double-Deficit Hypothesis in an Orthographically Consistent Language. Sci. Stud. Read. 2012, 16, 287–315. [Google Scholar] [CrossRef]
- Zimmerman, B.S.; Rasinski, T.V.; Was, C.A.; Rawson, K.A.; Dunlosky, J.; Kruse, S.D.; Nikbakht, E. Enhancing Outcomes for Struggling Readers: Empirical Analysis of The Fluency Development Lesson. Read. Psychol. 2019, 40, 70–94. [Google Scholar] [CrossRef]
- Kuhn, M.R.; Schwanenflugel, P.J.; Meisinger, E.B.; Levy, B.A.; Rasinski, T.V. Aligning Theory and Assessment of Reading Fluency: Automaticity, Prosody, and Definitions of Fluency. Read. Res. Q. 2010, 45, 230–251. [Google Scholar] [CrossRef]
- Cowie, R.; Douglas-Cowie, E.; Wichmann, A. Prosodic Characteristics of Skilled Reading: Fluency and Expressiveness in 8—10-Year-Old Readers. Lang. Speech 2002, 45, 47–82. [Google Scholar] [CrossRef] [PubMed]
- Ho, E.S.C.; Lau, K. Reading Engagement and Reading Literacy Performance: Effective Policy and Practices at Home and in School. J. Res. Read. 2018, 41, 657–679. [Google Scholar] [CrossRef]
- Ma, L.; Luo, H.; Xiao, L. Perceived Teacher Support, Self-Concept, Enjoyment and Achievement in Reading: A Multilevel Mediation Model Based on PISA 2018. Learn. Individ. Differ. 2021, 85, 101947. [Google Scholar] [CrossRef]
- Stevens, E.A.; Walker, M.A.; Vaughn, S. The Effects of Reading Fluency Interventions on the Reading Fluency and Reading Comprehension Performance of Elementary Students with Learning Disabilities: A Synthesis of the Research from 2001 to 2014. J. Learn. Disabil. 2017, 50, 576–590. [Google Scholar] [CrossRef]
- OECD. PISA 2018 Results (Volume I): What Students Know and Can Do. OECD. 2019. Available online: https://www.oecd.org/publications/pisa-2018-results-volume-i-5f07c754-en.htm (accessed on 20 August 2022).
- Merga, M.K. What Would Make Children Read for Pleasure More Frequently? Engl. Educ. 2017, 51, 207–223. [Google Scholar] [CrossRef]
- Pagan, S.; Sénéchal, M. Involving Parents in a Summer Book Reading Program to Promote Reading Comprehension, Fluency, and Vocabulary in Grade 3 and Grade 5 Children. Can. Soc. Study Educ. 2021, 37, 1–31. [Google Scholar]
- Cruz, J.; Mendes, S.A.; Marques, S.; Alves, D.; Cadime, I. Face-to-Face Versus Remote: Effects of an Intervention in Reading Fluency during COVID-19 Pandemic. Front. Educ. 2022, 6, 817711. [Google Scholar] [CrossRef]
- Inoue, T.; Georgiou, G.K.; Parrila, R.; Kirby, J.R. Examining an Extended Home Literacy Model: The Mediating Roles of Emergent Literacy Skills and Reading Fluency. Sci. Stud. Read. 2018, 22, 273–288. [Google Scholar] [CrossRef]
- Atteberry, A.; McEachin, A. School’s Out: The Role of Summers in Understanding Achievement Disparities. Am. Educ. Res. J. 2021, 58, 239–282. [Google Scholar] [CrossRef]
- International Baccalaureate Organization. “Lost Learning”: What Does the Research Really Say? International Baccalaureate Organization: Geneva, Switzerland, 2020; p. 15. [Google Scholar]
- Angrist, N.; de Barros, A.; Bhula, R.; Chakera, S.; Cummiskey, C.; DeStefano, J.; Floretta, J.; Kaffenberger, M.; Piper, B.; Stern, J. Building Back Better to Avert a Learning Catastrophe: Estimating Learning Loss from COVID-19 School Shutdowns in Africa and Facilitating Short-Term and Long-Term Learning Recovery. Int. J. Educ. Dev. 2021, 84, 102397. [Google Scholar] [CrossRef]
- Amorim, V.; Piza, C.; Lautharte Junior, I.J. The Effect of the H1N1 Pandemic on Learning: What to Expect with COVID-19; World Bank: Washington, DC, USA, 2020. [Google Scholar] [CrossRef]
- Morgan, H. Best Practices for Implementing Remote Learning during a Pandemic. Clear. House J. Educ. Strateg. Issues Ideas 2020, 93, 135–141. [Google Scholar] [CrossRef]
- Vale, C.; Weaven, M.; Davies, A.; Hooley, N.; Davidson, K.; Loton, D. Growth in Literacy and Numeracy Achievement: Evidence and Explanations of a Summer Slowdown in Low Socio-Economic Schools. Aust. Educ. Res. 2013, 40, 1–25. [Google Scholar] [CrossRef]
- Cooper, H.; Nye, B.; Charlton, K.; Lindsay, J.; Greathouse, S. The Effects of Summer Vacation on Achievement Test Scores: A Narrative and Meta-Analytic Review. Rev. Educ. Res. 1996, 66, 227–268. [Google Scholar] [CrossRef]
- Quinn, D.M.; Cooc, N.; McIntyre, J.; Gomez, C.J. Seasonal Dynamics of Academic Achievement Inequality by Socioeconomic Status and Race/Ethnicity: Updating and Extending Past Research with New National Data. Educ. Res. 2016, 45, 443–453. [Google Scholar] [CrossRef]
- Von Drehle, D. The Case against Summer Vacation. Time Mag. 2010, p. 8. Available online: http://content.time.com/time/magazine/article/0,9171,2005863,00.html (accessed on 22 August 2022).
- Khan, M.J.; Ahmed, J. Child Education in the Time of Pandemic: Learning Loss and Dropout. Child. Youth Serv. Rev. 2021, 127, 106065. [Google Scholar] [CrossRef]
- Smith, W. Potential Long-Term Consequences of School Closures: Lessons from the 2013–2016 Ebola Pandemic. Res. Square 2020, 67, 20. [Google Scholar] [CrossRef]
- Sacerdote, B. When the Saints Go Marching Out: Long-Term Outcomes for Student Evacuees from Hurricanes Katrina and Rita. Am. Econ. J. Appl. Econ. 2012, 4, 109–135. [Google Scholar] [CrossRef]
- Skar, G.B.U.; Graham, S.; Huebner, A. Learning Loss during the COVID-19 Pandemic and the Impact of Emergency Remote Instruction on First Grade Students’ Writing: A Natural Experiment. J. Educ. Psychol. 2021, 114, 1553. [Google Scholar] [CrossRef]
- Klosky, J.V.; Gazmararian, J.A.; Casimir, O.; Blake, S.C. Effects of Remote Education During the COVID-19 Pandemic on Young Children’s Learning and Academic Behavior in Georgia: Perceptions of Parents and School Administrators. J. Sch. Health 2022, 92, 656–664. [Google Scholar] [CrossRef]
- Kwakye, I.; Kibort-Crocker, E. Facing Learning Disruption: Examining the Effects of the COVID-19 Pandemic on K-12 Students; 20; Education Insights; Washington Student Achievement Council: Washington, DC, USA, 2021; pp. 1–20.
- United Nations Department of Economic and Social Affairs; Slotman, J.R. The Long-Term Impact of COVID-19 on Poverty; United Nations: New York, NY, USA, 2020. [Google Scholar]
- Direção-Geral de Estatísticas da Educação e Ciência; Agência Nacional para a Qualificação e o; Ensino Profissional; Direção-Geral de Educação; Direção-Geral de Estabelecimentos Escolares. Estamos On Com as Escolas: Conhecer Para Apoiar—Medidas Educativas e Resultados do Questionário às Escolas; Direção de Estatísticas da Educação e Ciência (DGEEC): Lisboa, Portugal, 2020; p. 45.
- Bergen, E.; Vasalampi, K.; Torppa, M. How Are Practice and Performance Related? Development of Reading from Age 5 to 15. Read. Res. Q. 2021, 56, 415–434. [Google Scholar] [CrossRef]
- Kuhfeld, M. The Learning Curve: Revisiting the Assumption of Linear Growth across the School Year. Provid. Annenberg Inst. Brown Univ. 2020. [Google Scholar] [CrossRef]
- Jamshidifarsani, H.; Garbaya, S.; Lim, T.; Blazevic, P.; Ritchie, J.M. Technology-Based Reading Intervention Programs for Elementary Grades: An Analytical Review. Comput. Educ. 2019, 128, 427–451. [Google Scholar] [CrossRef]
- Commodari, E.; Guarnera, M.; Di Stefano, A.; Di Nuovo, S. Children Learn to Read: How Visual Analysis and Mental Imagery Contribute to the Reading Performances at Different Stages of Reading Acquisition. J. Psycholinguist. Res. 2020, 49, 59–72. [Google Scholar] [CrossRef]
- Kim, Y.-S.G.; Wagner, R.K. Text (Oral) Reading Fluency as a Construct in Reading Development: An Investigation of Its Mediating Role for Children from Grades 1 to 4. Sci. Stud. Read. 2015, 19, 224–242. [Google Scholar] [CrossRef]
- Gersten, R.; Haymond, K.; Newman-Gonchar, R.; Dimino, J.; Jayanthi, M. Meta-Analysis of the Impact of Reading Interventions for Students in the Primary Grades. J. Res. Educ. Eff. 2020, 13, 401–427. [Google Scholar] [CrossRef]
- Ministério da Educação e Ciência. Despacho n.o 8452-A/2015; 2.a série de 2015; Diário da República 148; Gabinete do Secretário de Estado do Ensino: Lisboa, Portugal, 2015; pp. 1–6.
- Archived: WHO Timeline—COVID-19. Available online: https://www.who.int/news/item/27-04-2020-who-timeline---covid-19 (accessed on 14 October 2022).
- European Parliament. States of Emergency in Response to the Coronavirus Crisis: Situation in Certain Member States; PE649-408; European Parliamentary Research Service—EPRS: Washington, DC, USA, 2020; p. 12.
- Conselho de Ministros. Decreto-Lei No14-G/2020; Série 1 de 2020-04-13; 72; Diário da República: Lisboa, Portugal, 2020; pp. 9–19.
- Reimers, F.M. Implementing Deeper Learning and 21st Education Reforms; Springer Nature: Cham, Switzerland, 2021. [Google Scholar]
- Assunção Flores, M.; Gago, M. Teacher Education in Times of COVID-19 Pandemic in Portugal: National, Institutional and Pedagogical Responses. J. Educ. Teach. 2020, 46, 507–516. [Google Scholar] [CrossRef]
- Cunha, J.; Silva, C.; Guimarães, A.; Sousa, P.; Vieira, C.; Lopes, D.; Rosário, P. No Children Should Be Left Behind During COVID-19 Pandemic: Description, Potential Reach, and Participants’ Perspectives of a Project Through Radio and Letters to Promote Self-Regulatory Competences in Elementary School. Front. Psychol. 2021, 12, 647708. [Google Scholar] [CrossRef] [PubMed]
- Pereira, A.; Magalhães, P.; Teixeira, S.; Núñez, J.; Rosendo, D.; Mesquita, S.; Azevedo, R.; Martins, J.; Fuentes Muñoz, S.; Rosário, P. “COVID-19 in Trials and Tribulations” Project: A Self-Regulation-Based Support Response for Confined Families through Social Networks. Int. J. Environ. Res. Public. Health 2022, 19, 1910. [Google Scholar] [CrossRef]
- Fernández-Huerta, J. Medidas Sencillas de Lecturabilidad (Simple Readability Measures). Consigna 1959, 214, 29–32. [Google Scholar]
- Fernandes, S.; Querido, L.; Verhaeghe, A.; Araújo, L. What Is the Relationship between Reading Prosody and Reading Comprehension in European Portuguese? Evidence from Grades 2 to 5. J. Res. Read. 2018, 41, S102–S129. [Google Scholar] [CrossRef]
- Law, G. Error in the Fernandez Huerta Readability Formula; Linguist List: Bloomington, IN, USA, 2011. [Google Scholar]
- Crawford, A.N. Fórmula y gráfico para determinar la comprensibilidad de textos del nivel primario en castellano. Lect. Y Vida 1985, 4, 18–24. [Google Scholar]
- Rasinski, T.V. Assessing Reading Fluency; Pacific Resources for Education and Learning (PREL): Honolulu, HI, USA, 2004. [Google Scholar]
- Zutell, J.; Rasinski, T.V. Training Teachers to Attend to Their Students’ Oral Reading Fluency. Theory Pract. 1991, 30, 211–217. [Google Scholar] [CrossRef]
- Direção-Geral de Educação. Aprendizagens Essenciais: Articulação Com Perfil Dos Alunos. 1o Ciclo, 3o Ano, Português; Ministério da Educação e Ciência: Lisboa, Portugal, 2018; p. 8.
- Landis, J.R.; Koch, G.G. The Measurement of Observer Agreement for Categorical Data. Biometrics 1977, 33, 159–174. [Google Scholar] [CrossRef]
- Buescu, H.C.; Morais, J.; Rocha, M.R.; Magalhães, V.F. Programas e Metas Curriculares de Português No Ensino Básico; Ministério da Educação e Ciência: Lisboa, Portugal, 2015; pp. 35–48.
- Cohen, J. The Effect Size. In Statistical Power Analysis for the Behavioral Sciences; Routledge: New York, NY, USA, 1988; pp. 77–83. [Google Scholar]
- Braun, V.; Clarke, V. Using Thematic Analysis in Psychology. Qual. Res. Psychol. 2006, 3, 77–101. [Google Scholar] [CrossRef]
- Lincoln, Y.S.; Guba, E.G. Naturalistic Inquiry; SAGE: New York, NY, USA, 1985. [Google Scholar]
- Cooper, M.; Rodgers, B. Proposed Scoring Scheme for Qualitive Thematic Analysis; University of Strathclyde: Glasgow, UK, 2006. [Google Scholar]
- Bazeley, P.; Jackson, K. Perspectives: Qualitative Computing and NVivo. In Qualitative Data Analysis with NVivo; SAGE: Newcastle Upon Tyne, UK, 2013; pp. 19–41. [Google Scholar]


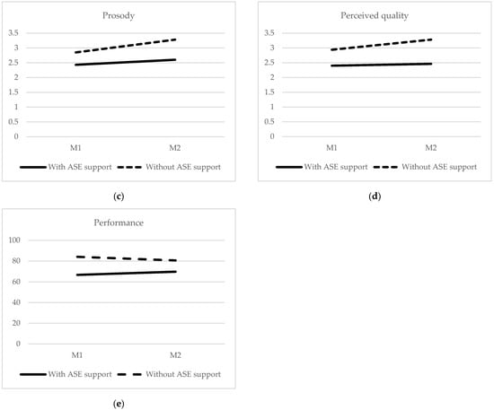
| With ASE Support | Without ASE Support | Sample Total | ||||
|---|---|---|---|---|---|---|
| M | SD | M | SD | M | SD | |
| Accuracy | ||||||
| M1 | 80.04 | 11.04 | 93.87 | 4.11 | 89.08 | 9.78 |
| M2 | 83.59 | 11.29 | 96.85 | 2.45 | 92.26 | 9.32 |
| Speed | ||||||
| M1 | 78.05 | 20.04 | 95.09 | 26.19 | 89.19 | 25.39 |
| M2 | 89.98 | 21.38 | 108.46 | 28.48 | 102.06 | 27.50 |
| Prosody | ||||||
| M1 | 2.43 | 0.59 | 2.85 | 0.69 | 2.70 | 0.68 |
| M2 | 2.60 | 0.81 | 3.28 | 0.78 | 3.05 | 0.85 |
| Perceived quality | ||||||
| M1 | 2.40 | 0.72 | 2.94 | 0.71 | 2.75 | 0.75 |
| M2 | 2.46 | 0.61 | 3.28 | 0.57 | 2.99 | 0.70 |
| Performance | ||||||
| M1 | 66.72 | 13.85 | 84.06 | 10.54 | 78.06 | 14.32 |
| M2 | 69.17 | 11.34 | 80.58 | 12.65 | 76.55 | 13.28 |
Disclaimer/Publisher’s Note: The statements, opinions and data contained in all publications are solely those of the individual author(s) and contributor(s) and not of MDPI and/or the editor(s). MDPI and/or the editor(s) disclaim responsibility for any injury to people or property resulting from any ideas, methods, instructions or products referred to in the content. |
© 2023 by the authors. Licensee MDPI, Basel, Switzerland. This article is an open access article distributed under the terms and conditions of the Creative Commons Attribution (CC BY) license (https://creativecommons.org/licenses/by/4.0/).
Share and Cite
Rosendo, D.; Pereira, A.; Moreira, T.; Núñez, J.C.; Martins, J.; Fróis, S.; Paupério, C.; Rosário, P. Reading in COVID-19 Pandemic Times: A Snapshot of Reading Fluency of Portuguese Elementary School Students. Children 2023, 10, 143. https://doi.org/10.3390/children10010143
Rosendo D, Pereira A, Moreira T, Núñez JC, Martins J, Fróis S, Paupério C, Rosário P. Reading in COVID-19 Pandemic Times: A Snapshot of Reading Fluency of Portuguese Elementary School Students. Children. 2023; 10(1):143. https://doi.org/10.3390/children10010143
Chicago/Turabian StyleRosendo, Daniela, Armanda Pereira, Tânia Moreira, José Carlos Núñez, Joana Martins, Sílvia Fróis, Conceição Paupério, and Pedro Rosário. 2023. "Reading in COVID-19 Pandemic Times: A Snapshot of Reading Fluency of Portuguese Elementary School Students" Children 10, no. 1: 143. https://doi.org/10.3390/children10010143
APA StyleRosendo, D., Pereira, A., Moreira, T., Núñez, J. C., Martins, J., Fróis, S., Paupério, C., & Rosário, P. (2023). Reading in COVID-19 Pandemic Times: A Snapshot of Reading Fluency of Portuguese Elementary School Students. Children, 10(1), 143. https://doi.org/10.3390/children10010143

