Evaluation of Octenidine Dihydrochloride-Induced Cytotoxicity, Apoptosis, and Inflammatory Responses in Human Ocular Epithelial and Retinal Cells
Abstract
1. Introduction
2. Materials and Methods
2.1. Cell Culture Conditions
2.2. Cell Viability Assay
2.3. Cytokine Quantification by Enzyme-Llinked Immunosorbent Assay (ELISA)
2.4. Caspase Activity Measurement
2.5. Gene Expression Analysis by Real-Time Polymerase Chain Reaction (RT-PCR) Analysis
2.6. Statistical Analysis
3. Results
3.1. OCT-D Induces Dose-Dependent Reductions in Viability of IOBA-NHC and ARPE-19 Cells
3.2. OCT-D Suppresses Pro-Inflammatory Cytokine Production in IOBA-NHC and ARPE-19 Cells
3.3. OCT-D Induces Caspase-Dependent Apoptotic Activation in IOBA-NHC and ARPE-19 Cells
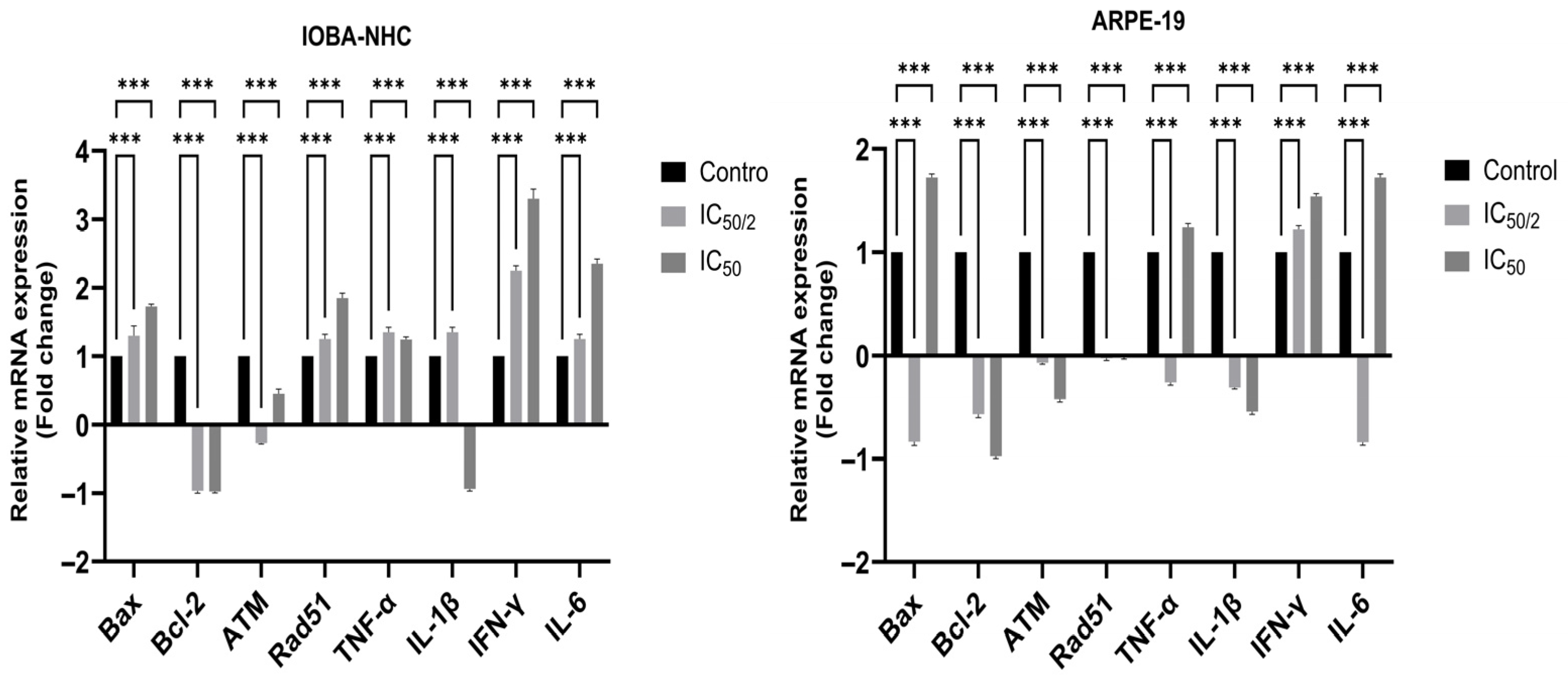
3.4. OCT-D Modulates Apoptotic, DNA Damage-Related, and Inflammatory Gene Expression in IOBA-NHC and ARPE-19 Cells
4. Discussion
5. Conclusions
Author Contributions
Funding
Institutional Review Board Statement
Informed Consent Statement
Data Availability Statement
Conflicts of Interest
References
- Brindisi, G.; Cinicola, B.; Anania, C.; De Castro, G.; Nebbioso, M.; Miraglia Del Giudice, M.; Licari, A.; Caffarelli, C.; De Filippo, M.; Cardinale, F.; et al. Vernal keratoconjunctivitis: State of art and update on treatment. Acta Biomed. 2021, 92, e2021517. [Google Scholar]
- Callegan, M.C.; Engelbert, M.; Parke, D.W.; Jett, B.D.; Gilmore, M.S. Bacterial endophthalmitis: Epidemiology, therapeutics, and bacterium-host interactions. Clin. Microbiol. Rev. 2002, 15, 111–124. [Google Scholar] [CrossRef]
- Vonk, A.G.; Netea, M.G.; van Krieken, J.H.; Iwakura, Y.; van der Meer, J.W.; Kullberg, B.J. Endogenous interleukin (IL)-1α and IL-1β are crucial for host defense against disseminated candidiasis. J. Infect. Dis. 2006, 193, 1419–1426. [Google Scholar] [CrossRef]
- Munita, J.M.; Arias, C.A. Mechanisms of antibiotic resistance. Microbiol. Spectr. 2016, 4, 481–511. [Google Scholar] [CrossRef]
- Silva-Neves, V.; Hugo, V.; Alves, P.; Amado, J.C.; Pais-Vieira, C.; Sousa, F.; Cerqueira, F.; Pinto, E.; Pais-Vieira, M. Quality of life and therapeutic regimen management in onychomycosis patients and in vitro study of antiseptic solutions. Sci. Rep. 2021, 11, 12789. [Google Scholar] [CrossRef]
- Bührer, C.; Bahr, S.; Siebert, J.; Wettstein, R.; Geffers, C.; Obladen, M. Use of 2% 2-phenoxyethanol and 0.1% octenidine as antiseptic in premature newborn infants of 23–26 weeks gestation. J. Hosp. Infect. 2002, 51, 305–307. [Google Scholar] [CrossRef]
- Babalska, Z.Ł.; Korbecka-Paczkowska, M.; Karpiński, T.M. Wound antiseptics and European guidelines for antiseptic application in wound treatment. Pharmaceuticals 2021, 14, 1253. [Google Scholar] [CrossRef] [PubMed]
- Kramer, A.; Dissemond, J.; Kim, S.; Willy, C.; Mayer, D.; Papke, R.; Tuchmann, F.; Assadian, O. Consensus on wound antisepsis: Update 2018. Skin Pharmacol. Physiol. 2018, 31, 28–58. [Google Scholar] [CrossRef] [PubMed]
- Dartt, D.A.; Masli, S. Conjunctival epithelial and goblet cell function in chronic inflammation and ocular allergic inflammation. Curr. Opin. Allergy Clin. Immunol. 2014, 14, 464–470. [Google Scholar] [CrossRef]
- Kuznetsova, A.V.; Kurinov, A.M.; Aleksandrova, M.A. Cell models to study regulation of cell transformation in pathologies of retinal pigment epithelium. J. Ophthalmol. 2014, 2014, 801787. [Google Scholar] [CrossRef] [PubMed]
- Mercier, C.; Perek, N.; Delavenne, X. Is RPMI 2650 a suitable in vitro nasal model for drug transport studies? Eur. J. Drug Metab. Pharmacokinet. 2018, 43, 13–24. [Google Scholar] [CrossRef]
- Li, R.; Ma, Y.; Wu, H.; Zhang, X.; Ding, N.; Li, Z.; Hu, X.; Rao, J.; Zhou, Y.; Wang, L.; et al. 4-Octyl itaconate alleviates endothelial cell inflammation and barrier dysfunction in LPS-induced sepsis via modulating TLR4/MAPK/NF-κB signaling. Mol. Med. 2025, 31, 240. [Google Scholar] [CrossRef]
- Mazumder, S.; Plesca, D.; Almasan, A. Caspase-3 activation is a critical determinant of genotoxic stress-induced apoptosis. Apoptosis Cancer 2008, 414, 13–21. [Google Scholar]
- Duman, R. Bentonit, Zeolit Nanopartiküllerinin ve Bentonit-Zeolit Nanokompozitinin Retina Pigment Epitel Hücrelerine Etkileri. Master’s Thesis, Afyon Kocatepe Üniversitesi, Afyonkarahisar, Türkiye, 2020. [Google Scholar]
- Ozal, S.A.; Turkekul, K.; Gurlu, V.; Guclu, H.; Erdogan, S. Esculetin protects human retinal pigment epithelial cells from lipopolysaccharide-induced inflammation and cell death. Curr. Eye Res. 2018, 43, 1169–1176. [Google Scholar] [CrossRef]
- Smith, S. Myelin Gene Expression Across Murine Post-Natal Brain Development: Validating Reliable qPCR Methods. Ph.D. Thesis, University of Northern British Columbia, Prince George, BC, Canada, 2022. [Google Scholar]
- Huyck, L.; Ampe, C.; Van Troys, M. The XTT cell proliferation assay applied to cell layers embedded in three-dimensional matrix. Assay Drug Dev. Technol. 2012, 10, 382–392. [Google Scholar] [CrossRef]
- Mercan, U.; Gonen, Z.B.; Salkin, H.; Yalcin Ulker, G.M.; Meral, D.G. Comparison of the effect of postoperative care agents on human gingival fibroblasts: A preliminary study. Eur. Oral Res. 2019, 53, 67–73. [Google Scholar] [CrossRef]
- Emir, S.B.; Ucgun, N.I.; Fikret, C.Z. Cytotoxicity of anti-VEGF agents: An experimental study on ARPE-19 cell culture. Arch. Clin. Biomed. Res. 2022, 6, 800–806. [Google Scholar] [CrossRef]
- Hübner, N.O.; Siebert, J.; Kramer, A. Octenidine dihydrochloride, a modern antiseptic for skin, mucous membranes and wounds. Skin Pharmacol. Physiol. 2010, 23, 244–258. [Google Scholar] [CrossRef] [PubMed]
- Dettenkofer, M.; Wilson, C.; Gratwohl, A.; Schmoor, C.; Bertz, H.; Frei, R.; Heim, D.; Luft, D.; Schulz, S.; Widmer, A.F. Skin disinfection with octenidine dihydrochloride for central venous catheter site care: A double-blind, randomized, controlled trial. Clin. Microbiol. Infect. 2010, 16, 600–606. [Google Scholar] [CrossRef] [PubMed]
- Wiest, J. Chemisch definiertein zellbasierter Zytotoxizitätsassay ohne fötales Kälberserum. Biospektrum 2017, 23, 61–62. [Google Scholar] [CrossRef]
- Stahl, J.; Braun, M.; Siebert, J.; Kramer, A.; Wiegand, C.; Hipler, U.-C.; Korting, H.-C.; Schindler, A.-E.; Kramer, A. The effect of antiseptics on inflammatory mediators in a 3D-tissue model of human oral mucosa. Exp. Toxicol. Pathol. 2009, 61, 453–459. [Google Scholar]
- Müller, G.; Kramer, A. Comparative study of in vitro cytotoxicity of povidone-iodine in solution, in ointment or in a liposomal formulation (Repithel) and selected antiseptics. Dermatology 2006, 212, 91–93. [Google Scholar] [CrossRef] [PubMed]
- Yanık, K.; Karaduman, A.; Ünal, S. Antiseptik ve dezenfektanların mikrobiyolojik etkinliğini ölçmede kullanılan yöntemler ve bu yöntemlerdeki standardizasyon. ANKEM Derg. 2011, 25, 252–257. [Google Scholar]
- Koizumi, N.; Inatomi, T.; Suzuki, T.; Shiraishi, A.; Ohashi, Y.; Kandori, M.; Miyazaki, D.; Inoue, Y.; Soma, T.; Nishida, K.; et al. Clinical features and management of cytomegalovirus corneal endotheliitis: Analysis of 106 cases from the Japan corneal endotheliitis study. Br. J. Ophthalmol. 2015, 99, 54–58. [Google Scholar] [CrossRef] [PubMed]
- Epstein, S.P.; Ahdoot, M.; Marcus, E.; Asbell, P.A. Comparative toxicity of preservatives on immortalized corneal and conjunctival epithelial cells. J. Ocul. Pharmacol. Ther. 2009, 25, 113–119. [Google Scholar] [CrossRef]
- Baudouin, C.; Labbé, A.; Liang, H.; Pauly, A.; Brignole-Baudouin, F. Preservatives in eyedrops: The good, the bad and the ugly. Prog. Retin. Eye Res. 2010, 29, 312–334. [Google Scholar] [CrossRef]
- Xu, H.; Chen, M.; Forrester, J.V. Para-inflammation in the aging retina. Prog. Retin. Eye Res. 2009, 28, 348–368. [Google Scholar] [CrossRef]
- Moschos, M.M.; Chatziralli, I.P.; Pantazis, P.; Papadopoulou, D.; Georgopoulos, G.; Sfikakis, P.P. Intravitreal anti-vascular endothelial growth factor agents, an immunochemical analysis with respect to formulations, stability and safety. Curr. Drug Saf. 2012, 7, 61–69. [Google Scholar]
- Yang, D.; Elner, S.G.; Chen, X.; Field, M.G.; Petty, H.R.; Elner, V.M. MCP-1-activated monocytes induce apoptosis in human retinal pigment epithelium. Investig. Ophthalmol. Vis. Sci. 2011, 52, 6026–6034. [Google Scholar] [CrossRef]
- Paulsen, F.; Thale, A.; Kohla, G.; Schauer, R.; Rochels, R.; Parwaresch, R.; Tillmann, B. Functional anatomy of human lacrimal duct epithelium. Anat. Embryol. 1998, 198, 1–12. [Google Scholar] [CrossRef] [PubMed]
- De Saint Jean, M.; Debbasch, C.; Brignole, F.; Rat, P.; Warnet, J.M.; Baudouin, C. Toxicity of preserved and unpreserved antiglaucoma topical drugs in an in vitro model of conjunctival cells. Curr. Eye Res. 2000, 20, 85–94. [Google Scholar] [CrossRef] [PubMed]
- Paulsen, F.P.; Schaudig, U.; Thale, A.B. Drainage of tears: Impact on the ocular surface and lacrimal system. Ocul. Surf. 2003, 1, 180–191. [Google Scholar] [CrossRef]
- Debbasch, C.; Brignole, F.; Pisella, P.J.; Warnet, J.M.; Rat, P.; Baudouin, C. Quaternary ammoniums and other preservatives’ contribution in oxidative stress and apoptosis on Chang conjunctival cells. Investig. Ophthalmol. Vis. Sci. 2001, 42, 642–652. [Google Scholar]
- Cvenkel, B.; Kopitar, A.N.; Ihan, A. Inflammatory molecules in aqueous humour and on ocular surface and glaucoma surgery outcome. Mediators Inflamm. 2010, 2010, 939602. [Google Scholar] [CrossRef]
- Enríquez-de-Salamanca, A.; Calder, V.; Gao, J.; Galatowicz, G.; García-Vázquez, C.; Fernández, I.; Stern, M.E.; Diebold, Y.; Calonge, M. Cytokine responses by conjunctival epithelial cells: An in vitro model of ocular inflammation. Cytokine 2008, 44, 160–167. [Google Scholar] [CrossRef]
- Diebold, Y.; Calonge, M.; Enríquez de Salamanca, A.; García-Vázquez, C.; Stern, M.E.; Calonge, M. Characterization of a spontaneously immortalized cell line (IOBA-NHC) from normal human conjunctiva. Investig. Ophthalmol. Vis. Sci. 2003, 44, 4263–4274. [Google Scholar] [CrossRef][Green Version]
- Shi, G.; Maminishkis, A.; Banzon, T.; Jalickee, S.; Li, R.; Hammer, J.; Miller, S.S. Control of chemokine gradients by the retinal pigment epithelium. Investig. Ophthalmol. Vis. Sci. 2008, 49, 4620–4630. [Google Scholar] [CrossRef]
- Joussen, A.M.; Doehmen, S.; Le, M.L.; Koizumi, K.; Radetzky, S.; Krohne, T.U.; Poulaki, V.; Semkova, I.; Kociok, N. TNF-alpha mediated apoptosis plays an important role in the development of early diabetic retinopathy and long-term histopathological alterations. Mol. Vis. 2009, 15, 1418–1428. [Google Scholar] [PubMed]
- Ferreira, L.B.; Williams, K.A.; Best, G.; Haydinger, C.D.; Smith, J.R. Inflammatory cytokines as mediators of retinal endothelial barrier dysfunction in non-infectious uveitis. Clin. Transl. Immunol. 2023, 12, e1479. [Google Scholar] [CrossRef] [PubMed]
- Corrales, R.M.; Stern, M.E.; De Paiva, C.S.; Welch, J.; Li, D.Q.; Pflugfelder, S.C. Desiccating stress stimulates expression of matrix metalloproteinases by the corneal epithelium. Investig. Ophthalmol. Vis. Sci. 2006, 47, 3293–3302. [Google Scholar] [CrossRef]
- Paul, W.E. History of interleukin-4. Cytokine 2015, 75, 3–7. [Google Scholar] [CrossRef]
- Stern, M.E.; Siemasko, K.F.; Gao, J.; Calonge, M.; Niederkorn, J.Y.; Pflugfelder, S.C. Evaluation of ocular surface inflammation in the presence of dry eye and allergic conjunctival disease. Ocul. Surf. 2005, 3, 161–164. [Google Scholar] [CrossRef]
- Moore, K.W.; de Waal Malefyt, R.; Coffman, R.L.; O’Garra, A. Interleukin-10 and the interleukin-10 receptor. Annu. Rev. Immunol. 2001, 19, 683–765. [Google Scholar] [CrossRef]
- Tong, L.; Diebold, Y.; Calonge, M.; Gao, J.; Stern, M.E.; Beuerman, R.W. Comparison of gene expression profiles of conjunctival cell lines with primary cultured conjunctival epithelial cells and human conjunctival tissue. Gene Expr. 2009, 14, 265–278. [Google Scholar] [CrossRef]
- Choi, W.; Lee, J.B.; Cui, L.; Li, Y.; Li, Z.; Choi, J.S.; Lee, H.S.; Yoon, K.C. Therapeutic efficacy of topically applied antioxidant medicinal plant extracts in a mouse model of experimental dry eye. Oxid. Med. Cell Longev. 2016, 2016, 4727415. [Google Scholar] [CrossRef]
- Zhou, L.; Zhao, S.Z.; Koh, S.K.; Chen, L.; Vaz, C.; Tanavde, V.; Li, X.R.; Beuerman, R.W. In-depth analysis of the human tear proteome. J. Proteom. 2012, 75, 3877–3885. [Google Scholar] [CrossRef] [PubMed]
- Chen, L.; Li, J.; Guo, T.; Ghosh, S.; Koh, S.K.; Tian, D.; Zhang, L.; Jia, D.; Beuerman, R.W.; Aebersold, R.; et al. Global metabonomic and proteomic analysis of human conjunctival epithelial cells (IOBA-NHC) in response to hyperosmotic stress. J. Proteome Res. 2015, 14, 3982–3995. [Google Scholar] [CrossRef] [PubMed]
- Saraiva, M.; O’Garra, A. The regulation of IL-10 production by immune cells. Nat. Rev. Immunol. 2010, 10, 170–181. [Google Scholar] [CrossRef] [PubMed]
- Ouyang, W.; Rutz, S.; Crellin, N.K.; Valdez, P.A.; Hymowitz, S.G. Regulation and functions of the IL-10 family of cytokines in inflammation and disease. Annu. Rev. Immunol. 2011, 29, 71–109. [Google Scholar] [CrossRef]




| Gene | Forward Primer (5′ → 3′) | Reverse Primer (5′ → 3′) |
|---|---|---|
| GAPDH | CCTGCGACTTCAACAGCAAC | CTGCTTCACCTCCCCATACA |
| IL-1β | GCTGGAGGTGAGTCCATCAG | GTGATAACGGTGGCCTGACA |
| IL-6 | CCCCAATTTCCAATGCTCTCC | CGCACTAGGTTTGCCGAGTA |
| TNF-α | ATCCATCTTTGCGGAGGC | GGGGGAGAGGTAGGGATGTT |
| IL-10 | TTGAACCACCCGGCATCTAC | CCAAGGAGTTGCTCCCGTTA |
| IL-4 | CCATATCCACGGATGCGACA | AAGCCCGAAAGAGTCTCTGC |
Disclaimer/Publisher’s Note: The statements, opinions and data contained in all publications are solely those of the individual author(s) and contributor(s) and not of MDPI and/or the editor(s). MDPI and/or the editor(s) disclaim responsibility for any injury to people or property resulting from any ideas, methods, instructions or products referred to in the content. |
© 2025 by the authors. Licensee MDPI, Basel, Switzerland. This article is an open access article distributed under the terms and conditions of the Creative Commons Attribution (CC BY) license.
Share and Cite
Ciftci, I.H.; Deveci Ozkan, A.; Erman, G.; Kilbas, I.; Aydemir, O. Evaluation of Octenidine Dihydrochloride-Induced Cytotoxicity, Apoptosis, and Inflammatory Responses in Human Ocular Epithelial and Retinal Cells. Biomedicines 2026, 14, 50. https://doi.org/10.3390/biomedicines14010050
Ciftci IH, Deveci Ozkan A, Erman G, Kilbas I, Aydemir O. Evaluation of Octenidine Dihydrochloride-Induced Cytotoxicity, Apoptosis, and Inflammatory Responses in Human Ocular Epithelial and Retinal Cells. Biomedicines. 2026; 14(1):50. https://doi.org/10.3390/biomedicines14010050
Chicago/Turabian StyleCiftci, Ihsan Hakki, Asuman Deveci Ozkan, Gulay Erman, Imdat Kilbas, and Ozlem Aydemir. 2026. "Evaluation of Octenidine Dihydrochloride-Induced Cytotoxicity, Apoptosis, and Inflammatory Responses in Human Ocular Epithelial and Retinal Cells" Biomedicines 14, no. 1: 50. https://doi.org/10.3390/biomedicines14010050
APA StyleCiftci, I. H., Deveci Ozkan, A., Erman, G., Kilbas, I., & Aydemir, O. (2026). Evaluation of Octenidine Dihydrochloride-Induced Cytotoxicity, Apoptosis, and Inflammatory Responses in Human Ocular Epithelial and Retinal Cells. Biomedicines, 14(1), 50. https://doi.org/10.3390/biomedicines14010050

