Integrated Model for Predicting Cancer Therapy-Related Cardiac Dysfunction in Non-Hodgkin Lymphoma
Abstract
1. Introduction
2. Materials and Methods
Statistical Analysis
3. Results
3.1. Demographic Profile, Comorbidities, and Treatment Features in Patients with Non-Hodgkin Lymphoma
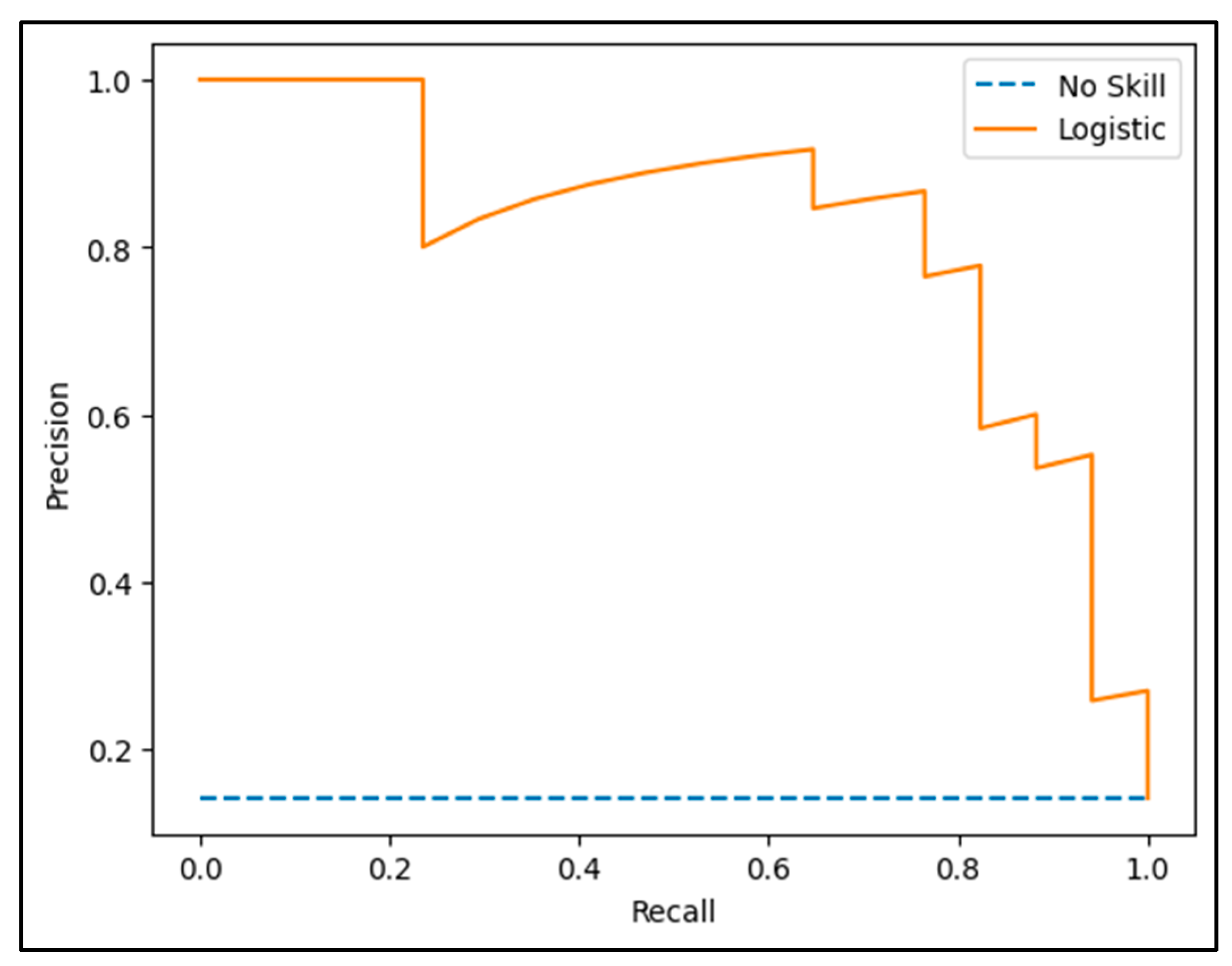
3.2. Development of a Multimodal Model to Predict Cardiac Dysfunction Related to Antitumor Therapy in Non-Hodgkin Lymphoma
4. Discussion
5. Limitations
Author Contributions
Funding
Institutional Review Board Statement
Informed Consent Statement
Data Availability Statement
Acknowledgments
Conflicts of Interest
Abbreviations
| ABPM | ambulatory blood pressure monitoring |
| ARIC-HF | Atherosclerosis Risk in Communities—Heart Failure |
| AUC | area under the curve |
| BMI | body mass index |
| CI | confidence interval |
| CKD | chronic kidney disease |
| CO2 | carbon dioxide |
| COP | cyclophosphamide, vincristine, prednisone |
| CPET | cardiopulmonary exercise testing |
| CTRCD | cancer therapy-related cardiac dysfunction |
| ECG | electrocardiogram |
| HER2 | human epidermal growth factor receptor 2 |
| HFA-ICOS | Heart Failure Association—International Cardio-Oncology Society |
| IQR | interquartile range |
| LVEF | left ventricular ejection fraction |
| NHL | non-Hodgkin lymphoma |
| OUES | oxygen uptake efficiency slope |
| PCP-HF | Prediction of Cardiovascular events in Primary Care—Heart Failure |
| R-CHOP | rituximab, cyclophosphamide, doxorubicin, vincristine, prednisone |
| R-COP | rituximab, cyclophosphamide, vincristine, prednisone |
| RER | respiratory exchange ratio |
| ROC | receiver operating characteristic curve |
| SDANN | standard deviation of the averages of NN intervals |
| SDNN | standard deviation of all normal-to-normal intervals |
| SDNNi | standard deviation of the normal-to-normal intervals index |
| SHAP | Shapley additive exPlanations analysis |
| VCO2 | volume of carbon dioxide |
| VE/VCO2 | ventilatory equivalent for carbon dioxide |
| VO2 | volume of oxygen |
| VO2 peak | peak oxygen uptake |
| VO2 pulse | volume of oxygen per heart rate |
| VO2/WR | volume of oxygen per work rate |
References
- Baldassarre, L.A.; Ganatra, S.; Lopez-Mattei, J.; Yang, E.H.; Zaha, V.G.; Wong, T.C.; Ayoub, C.; DeCara, J.M.; Dent, S.; Deswal, A.; et al. Advances in Multimodality Imaging in Cardio-Oncology. J. Am. Coll. Cardiol. 2022, 80, 1560–1578. [Google Scholar] [CrossRef]
- Townsend, N.; Kazakiewicz, D.; Wright, F.L.; Timmis, A.; Huculeci, R.; Torbica, A.; Gale, C.P.; Achenbach, S.; Weidinger, F.; Vardas, P. Epidemiology of cardiovascular disease in Europe. Nat. Rev. Cardiol. 2022, 19, 89–93. [Google Scholar] [CrossRef]
- Giudice, V.; Vecchione, C.; Selleri, C. Cardiotoxicity of novel targeted hematological therapies. Life 2020, 10, 344. [Google Scholar] [CrossRef] [PubMed]
- Campo, E.; Jaffe, E.S.; Cook, J.R.; Quintanilla-Martinez, L.; Swerdlow, S.H.; Anderson, K.C.; Brousset, P.; Cerroni, L.; de Leval, L.; Dirnhofer, S.; et al. The International Consensus Classification of Mature Lymphoid Neoplasms: A report from the Clinical Advisory Committee. Blood 2022, 140, 1229–1253. [Google Scholar] [CrossRef] [PubMed]
- Suter, T.M.; Ewer, M.S. Cancer drugs and the heart: Importance and management. Eur. Heart J. 2013, 34, 1102–1111. [Google Scholar] [CrossRef] [PubMed]
- Bursacovschi, D. The role of echocardiographic parameters in the prevention and monitoring of cardiac toxicity on antitumor treatments. Bull. Acad. Sci. Mold. Med. Sci. 2023, 1, 133–139. [Google Scholar] [CrossRef]
- Lyon, A.R.; López-Fernández, T.; Couch, L.S.; Asteggiano, R.; Aznar, M.C.; Bergler-Klein, J.; Boriani, G.; Cardinale, D.; Cordoba, R.; Cosyns, B.; et al. 2022 ESC Guidelines on cardio-oncology developed in collaboration with the European Hematology Association (EHA), the European Society for Therapeutic Radiology and Oncology (ESTRO) and the International Cardio-Oncology Society (IC-OS). Eur. Heart J. Cardiovasc. Imaging 2022, 23, 333–465. [Google Scholar] [CrossRef]
- Bowles, E.J.A.; Wellman, R.; Feigelson, H.S.; Onitilo, A.A.; Freedman, A.N.; Delate, T.; Allen, L.A.; Nekhlyudov, L.; Goddard, K.A.B.; Davis, R.L.; et al. Risk of heart failure in breast cancer patients after anthracycline and trastuzumab treatment: A retrospective cohort study. J. Natl. Cancer Inst. 2012, 104, 1293–1305. [Google Scholar] [CrossRef]
- Plana, J.C.; Galderisi, M.; Barac, A.; Ewer, M.S.; Ky, B.; Scherrer-Crosbie, M.; Ganame, J.; Sebag, I.A.; Agler, D.A.; Badano, L.P.; et al. Expert consensus for multimodality imaging evaluation of adult patients during and after cancer therapy: A report from the American Society of Echocardiography and the European Association of Cardiovascular Imaging. Eur. Heart J. Cardiovasc. Imaging 2014, 15, 1063–1093. [Google Scholar] [CrossRef]
- Bursacovschi, D.; Revenco, V.; Robu, M.; Arnaut, O. Cardiopulmonary Functional Profiles in Cancer Therapy-Related Cardiac Dysfunction Among Patients with Non-Hodgkin Lymphoma. Diagnostics 2025, 15, 417. [Google Scholar] [CrossRef]
- da Silva, P.N.; Valente, P.M.S.; de Castilho, S.R. Monoclonal-induced cardiotoxicity in patients with non-Hodgkin’s lymphoma and breast cancer: A retrospective study in an oncology clinic. J. Oncol. Pharm. Pract. 2023, 29, 1125–1134. [Google Scholar] [CrossRef]
- Nagy, A.; Börzsei, D.; Hoffmann, A.; Török, S.; Veszelka, M.; Almási, N.; Varga, C.; Szabó, R. A Comprehensive Overview on Chemotherapy-Induced Cardiotoxicity: Insights into the Underlying Inflammatory and Oxidative Mechanisms. Cardiovasc. Drugs Ther. 2024, 39, 1185–1199. [Google Scholar] [CrossRef] [PubMed]
- Butel-Simoes, L.E.; Ngo, D.T.M.; Sverdlov, A.L. Navigating cardiotoxicity risk in cancer therapy: The importance of the HFA-ICOS score. Eur. Heart J. 2025, 46, 285–287. [Google Scholar] [CrossRef]
- Yagi, R.; Goto, S.; Himeno, Y.; Katsumata, Y.; Hashimoto, M.; MacRae, C.A.; Deo, R.C. Artificial intelligence-enabled prediction of chemotherapy-induced cardiotoxicity from baseline electrocardiograms. Nat. Commun. 2024, 15, 2536. [Google Scholar] [CrossRef]
- Gomes, C.; Geels, J.; Debray, T.P.A.; Malekzadeh, A.; Asselbergs, F.W.; Linschoten, M. Risk prediction models for cancer therapy related cardiac dysfunction in patients with cancer and cancer survivors: Systematic review and meta-analysis. BMJ 2025, 390, e084062. [Google Scholar] [CrossRef]
- Contaldi, C.; D’Aniello, C.; Panico, D.; Zito, A.; Calabrò, P.; Di Lorenzo, E.; Golino, P.; Montesarchio, V. Cancer-Therapy-Related Cardiac Dysfunction: Latest Advances in Prevention and Treatment. Life 2025, 15, 471. [Google Scholar] [CrossRef]
- Zeppenfeld, K.; Tfelt-Hansen, J.; de Riva, M.; Winkel, B.G.; Behr, E.R.; Blom, N.A.; Charron, P.; Corrado, D.; Dagres, N.; de Chillou, C.; et al. 2022 ESC Guidelines for the management of patients with ventricular arrhythmias and the prevention of sudden cardiac death. Eur. Heart J. 2022, 43, 3997–4126. [Google Scholar] [CrossRef] [PubMed]
- Shaffer, F.; Ginsberg, J.P. An Overview of Heart Rate Variability Metrics and Norms. Front. Public Health 2017, 5, 258. [Google Scholar] [CrossRef]
- Pham, T.; Lau, Z.J.; Chen, S.H.A.; Makowski, D. Heart rate variability in psychology: A review of HRV indices and an analysis tutorial. Sensors 2021, 21, 3998. [Google Scholar] [CrossRef] [PubMed]
- Radtke, T.; Crook, S.; Kaltsakas, G.; Louvaris, Z.; Berton, D.; Urquhart, D.S.; Kampouras, A.; Rabinovich, R.A.; Verges, S.; Kontopidis, D.; et al. ERS statement on standardisation of cardiopulmonary exercise testing in chronic lung diseases. Eur. Respir. Rev. 2019, 28, 180101. [Google Scholar] [CrossRef] [PubMed]
- Pelliccia, A.; Sharma, S.; Gati, S.; Bäck, M.; Börjesson, M.; Caselli, S.; Collet, J.-P.; Corrado, D.; Drezner, J.A.; Halle, M.; et al. 2020 ESC Guidelines on sports cardiology and exercise in patients with cardiovascular disease. Eur. Heart J. 2021, 42, 17–96. [Google Scholar] [CrossRef] [PubMed]
- Sarullo, F.M.; Fazio, G.; Brusca, I.; Fasullo, S.; Paterna, S.; Licata, P.; Novo, G.; Novo, S.; Di Pasquale, P. Cardiopulmonary Exercise Testing in Patients with Chronic Heart Failure: Prognostic Comparison from Peak VO2 and VE/VCO2 Slope. Open Cardiovasc. Med. J. 2010, 4, 127–134. [Google Scholar] [CrossRef] [PubMed]
- Oikonomou, E.K.; Sangha, V.; Dhingra, L.S.; Aminorroaya, A.; Coppi, A.; Krumholz, H.M.; Baldassarre, L.A.; Khera, R. Artificial Intelligence-Enhanced Risk Stratification of Cancer Therapeutics-Related Cardiac Dysfunction Using Electrocardiographic Images. Circ. Cardiovasc. Qual. Outcomes 2025, 18, e011504. [Google Scholar] [CrossRef] [PubMed]
- Otchere, P.; Adekoya, O.; Governor, S.B.; Vuppuluri, N.; Prabhakar, A.; Pak, S.; Oppong-Nkrumah, O.; Cook, F.; Bohinc, R.; Aune, G. Development of cardiac risk prediction model in patients with HER-2 positive breast cancer on trastuzumab therapy. Cardio Oncol. 2023, 9, 26. [Google Scholar] [CrossRef]
- Nakanishi, K.; Daimon, M. Early prediction of cardiotoxicity from cancer chemotherapy: Can baseline strain identify high-risk patients? Circ. J. 2018, 82, 2477–2478. [Google Scholar] [CrossRef]
- Agarwal, S.K.; Chambless, L.E.; Ballantyne, C.M.; Astor, B.; Bertoni, A.G.; Chang, P.P.; Folsom, A.R.; He, M.; Hoogeveen, R.C.; Ni, H.; et al. Prediction of Incident Heart Failure in General Practice. Circ. Heart Fail. 2012, 5, 422–429. [Google Scholar] [CrossRef]
- Bavishi, A.; Bruce, M.; Ning, H.; Freaney, P.M.; Glynn, P.; Ahmad, F.S.; Yancy, C.W.; Shah, S.J.; Allen, N.B.; Vupputuri, S.X.; et al. Predictive Accuracy of Heart Failure-Specific Risk Equations in an Electronic Health Record-Based Cohort. Circ. Heart Fail. 2020, 13, e007462. [Google Scholar] [CrossRef]
- Soh, C.H.; Marwick, T.H. Comparison of heart failure risk assessment tools among cancer survivors. Cardio Oncol. 2024, 10, 67. [Google Scholar] [CrossRef]






| Group I (CTRCD, n = 18) 1 | CI 2 95% | Group II (Without CTRCD, n = 109) 1 | CI 2 95% | Statistic Test | p 3 | |
|---|---|---|---|---|---|---|
| Age (years) | 65.3 (11.9) 69.5 (16.5) 35.0, 83.0 | 59, 71 | 60.9 (10.0) 62.0 (13.0) 34.0, 80.0 | 59, 63 | 1243 | 0.071 |
| Sex | 1.3 | 0.3 | ||||
| Male | 8 (44.4) | 21, 67 | 64 (58.7) | 49, 68 | ||
| Female | 10 (55.6) | 33, 79 | 45 (41.3) | 32, 51 | ||
| BMI (kg/m2) | 28.2 (5.1) 28.7 (8.3) 18.6, 36.8 | 26, 31 | 26.6 (5.6) 25.2 (6.6) 19.2, 48.7 | 26, 28 | 1217 | 0.10 |
| BMI > 30 kg/m2 | 8 (44.4) | 21, 67 | 23 (21.1) | 13, 29 | 4.6 | 0.043 |
| AC (cm) | 88.7 (20.7) 93.5 (33.8) 59.0, 124.0 | 78, 99 | 83.9 (17.8) 78.0 (20.0) 57.0, 139.0 | 80, 87 | 1108 | 0.4 |
| Worsened anamnesis | 7 (38.9) | 16, 61 | 16 (14.7) | 8.0, 21 | 6.1 | 0.022 |
| Smoking | 4 (22.2) | 3.0, 41 | 26 (23.9) | 16, 32 | 0.02 | >0.9 |
| Hypertension grade | 24 | <0.001 | ||||
| gr.I | 2 (11.1) | −3.4, 26 | 2 (1.8) | −0.68, 4.4 | ||
| gr.II | 6 (33.3) | 12, 55 | 29 (26.6) | 18, 35 | ||
| gr.III | 6 (33.3) | 12, 55 | 5 (4.6) | 0.66, 8.5 | ||
| Diabetes mellites | 5 (27.8) | 7.1, 48 | 13 (11.9) | 5.8 18 | 3.2 | 0.13 |
| CKD | 9.0 | 0.029 | ||||
| CKD G1/2 | 2 (11.1) | −3.4, 26 | 12 (11.0) | 5.1, 17 | ||
| CKD G3 | 3 (16.7) | −0.55, 34 | 2 (1.8) | −0.68, 4.4 | ||
| Chronic bronchitis | 5 (27.8) | 7.1, 48 | 22 (20.2) | 13, 28 | 0.53 | 0.5 |
| Thyroid pathology | 1 (5.6) | −5.0, 16 | 8 (7.3) | 2.4, 12 | 0.07 | >0.9 |
Disclaimer/Publisher’s Note: The statements, opinions and data contained in all publications are solely those of the individual author(s) and contributor(s) and not of MDPI and/or the editor(s). MDPI and/or the editor(s) disclaim responsibility for any injury to people or property resulting from any ideas, methods, instructions or products referred to in the content. |
© 2025 by the authors. Licensee MDPI, Basel, Switzerland. This article is an open access article distributed under the terms and conditions of the Creative Commons Attribution (CC BY) license (https://creativecommons.org/licenses/by/4.0/).
Share and Cite
Bursacovschi, D.; Arnaut, O.; Ochisor, V.; Mihalache, G.; Baltaga, R.; Iacomi, V.; Robu, M.; Revenco, V. Integrated Model for Predicting Cancer Therapy-Related Cardiac Dysfunction in Non-Hodgkin Lymphoma. Biomedicines 2025, 13, 2978. https://doi.org/10.3390/biomedicines13122978
Bursacovschi D, Arnaut O, Ochisor V, Mihalache G, Baltaga R, Iacomi V, Robu M, Revenco V. Integrated Model for Predicting Cancer Therapy-Related Cardiac Dysfunction in Non-Hodgkin Lymphoma. Biomedicines. 2025; 13(12):2978. https://doi.org/10.3390/biomedicines13122978
Chicago/Turabian StyleBursacovschi, Daniela, Oleg Arnaut, Viorica Ochisor, Georgeta Mihalache, Ruslan Baltaga, Vladimir Iacomi, Maria Robu, and Valeriu Revenco. 2025. "Integrated Model for Predicting Cancer Therapy-Related Cardiac Dysfunction in Non-Hodgkin Lymphoma" Biomedicines 13, no. 12: 2978. https://doi.org/10.3390/biomedicines13122978
APA StyleBursacovschi, D., Arnaut, O., Ochisor, V., Mihalache, G., Baltaga, R., Iacomi, V., Robu, M., & Revenco, V. (2025). Integrated Model for Predicting Cancer Therapy-Related Cardiac Dysfunction in Non-Hodgkin Lymphoma. Biomedicines, 13(12), 2978. https://doi.org/10.3390/biomedicines13122978

