Fetal Hemoglobin as a Predictive Biomarker for Retinopathy of Prematurity: A Prospective Multicenter Cohort Study in Portugal
Abstract
1. Introduction
- Stage 1: A thin demarcation line between vascularized and avascular retina.
- Stage 2: A ridge forms at this demarcation line.
- Stage 3: Abnormal neovascularization extends into the vitreous.
- Stage 4: Partial retinal detachment.
- Stage 5: Total retinal detachment, potentially leading to blindness.
2. Materials and Methods
2.1. Study Design and Population
2.2. Screening for ROP and Gathering Ophthalmological Data
2.3. Other Data
2.4. Statistical Analysis
2.5. Ethics Approval
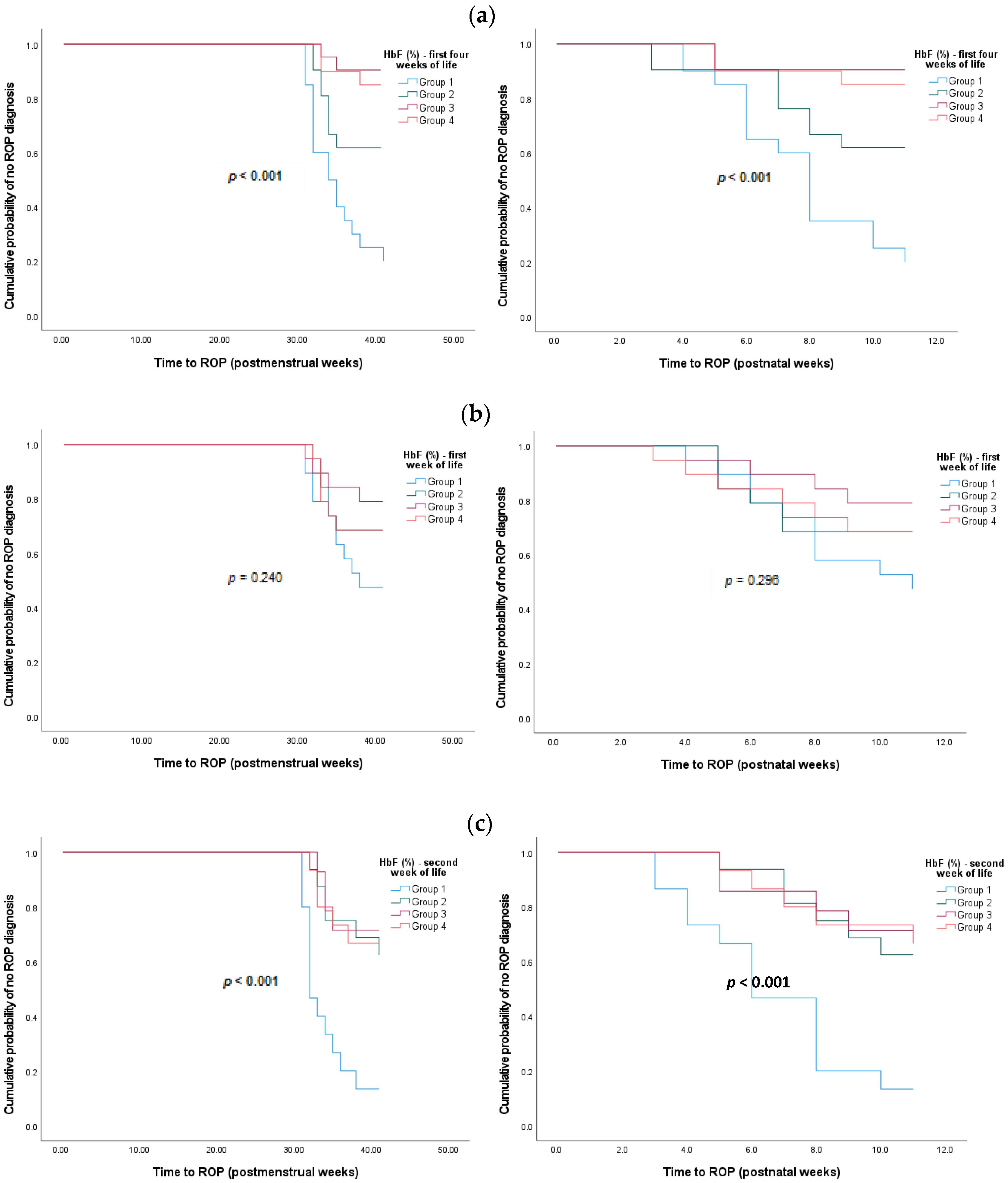
3. Results
4. Discussion
5. Conclusions
Author Contributions
Funding
Institutional Review Board Statement
Informed Consent Statement
Data Availability Statement
Acknowledgments
Conflicts of Interest
References
- Crilly, C.J.; Haneuse, S.; Litt, J.S. Predicting the Outcomes of Preterm Neonates beyond the Neonatal Intensive Care Unit: What Are We Missing? Pediatr. Res. 2021, 89, 426–445. [Google Scholar] [CrossRef] [PubMed]
- Ittarat, M. Critical Analytic Report: Incidence of Retinopathy of Prematurity and Telemedicine for Retinopathy of Prematurity. J. Prapokklao Hosp. Clin. Med. Educ. Cent. 2023, 40, 136–142. [Google Scholar]
- Ahmed, I.; Hoyek, S.; Patel, N.A. Global Disparities in Retinopathy of Prematurity: A Literature Review. Semin. Ophthalmol. 2023, 38, 151–157. [Google Scholar] [CrossRef] [PubMed]
- Rodriguez, S.H.; Ells, A.L.; Blair, M.P.; Shah, P.K.; Harper, C.A.; Martinez-Castellanos, M.A.; Prakalapakorn, S.G.; Denis, E.; Lusobya, R.C.; Greenwald, M.J.; et al. Retinopathy of Prematurity in the 21st Century and the Complex Impact of Supplemental Oxygen. J. Clin. Med. 2023, 12, 1228. [Google Scholar] [CrossRef]
- Bahar, M.M.; Salari, F.; Dastjanifarahani, A.; Ghassemi, F.; Harper, C.A., III; Bazvand, F. Choroidal Measurements in Decision Making for Retinopathy of Prematurity: A Decision Tree Analysis. Int. J. Retin. Vitr. 2024, 10, 4. [Google Scholar] [CrossRef]
- The Committee for the Classification of Retinopathy of Prematurity. An International Classification of Retinopathy of Prematurity. Arch. Ophthalmol. 1984, 102, 1130–1134. [Google Scholar] [CrossRef]
- Quinn, G.E. The International Classification of Retinopathy of Prematurity Revisited. Arch. Ophthalmol. 2005, 123, 991–999. [Google Scholar] [CrossRef]
- Chiang, M.F.; Quinn, G.E.; Fielder, A.R.; Ostmo, S.R.; Chan, R.P.; Berrocal, A.; Binenbaum, G.; Blair, M.; Campbell, J.P.; Capone, A.; et al. International Classification of Retinopathy of Prematurity, Third Edition. Ophthalmology 2021, 128, e51–e68. [Google Scholar] [CrossRef]
- Good, W.V.; Hardy, R.J.; Dobson, V.; Palmer, E.A.; Phelps, D.L.; Quintos, M.; Tung, B. Revised Indications for the Treatment of Retinopathy of Prematurity: Results of the Early Treatment for Retinopathy of Prematurity Randomized Trial. Arch. Ophthalmol. 2003, 121, 1684–1696. [Google Scholar] [CrossRef]
- Woods, J.; Biswas, S. Retinopathy of Prematurity: From Oxygen Management to Molecular Manipulation. Mol. Cell. Pediatr. 2023, 10, 12. [Google Scholar] [CrossRef]
- Fevereiro-Martins, M.; Santos, A.C.; Marques-Neves, C.; Guimarães, H.; Bicho, M.; on Behalf of the GenE-Rop Study Group. Genetic Modulation of the Erythrocyte Phenotype Associated with Retinopathy of Prematurity—A Multicenter Portuguese Cohort Study. Int. J. Mol. Sci. 2023, 24, 11817. [Google Scholar] [CrossRef] [PubMed]
- Podraza, W. A New Approach to Neonatal Medical Management That Could Transform the Prevention of Retinopathy of Prematurity: Theoretical Considerations. Med. Hypotheses 2020, 137, 109541. [Google Scholar] [CrossRef] [PubMed]
- Gire, C.; Fournier, N.; Pirrello, J.; Marret, S.; Patural, H.; Flamant, C.; Pierrat, V.; Kaminski, M.; Ancel, P.-Y.; Tosello, B.; et al. Impact of Early Hemoglobin Levels on Neurodevelopment Outcomes of Two-Year-Olds in Very Preterm Children. Children 2023, 10, 209. [Google Scholar] [CrossRef] [PubMed]
- Hellström, W.; Martinsson, T.; Morsing, E.; Gränse, L.; Ley, D.; Hellström, A. Low Fraction of Fetal Haemoglobin Is Associated with Retinopathy of Prematurity in the Very Preterm Infant. Br. J. Ophthalmol. 2022, 106, 970–974. [Google Scholar] [CrossRef]
- Manning, J.M.; Manning, L.R.; Dumoulin, A.; Padovan, J.C.; Chait, B. Embryonic and Fetal Human Hemoglobins: Structures, Oxygen Binding, and Physiological Roles. In Vertebrate and Invertebrate Respiratory Proteins, Lipoproteins and Other Body Fluid Proteins; Hoeger, U., Robin Harris, J., Eds.; Sub-Cellular Biochemistry; Springer: Cham, Switzerland, 2020; Volume 94, pp. 275–296. [Google Scholar]
- Jiramongkolchai, K.; Repka, M.X.; Tian, J.; Aucott, S.W.; Shepard, J.; Collins, M.; Clemens, J.; Feller, M.; Burd, I.; Roizenblatt, M.; et al. Effects of Fetal Haemoglobin on Systemic Oxygenation in Preterm Infants and the Development of Retinopathy of Prematurity PacIFiHER Report No. 2. Br. J. Ophthalmol. 2023, 107, 380–383. [Google Scholar] [CrossRef]
- Stutchfield, C.J.; Jain, A.; Odd, D.; Williams, C.; Markham, R. Foetal Haemoglobin, Blood Transfusion, and Retinopathy of Prematurity in Very Preterm Infants: A Pilot Prospective Cohort Study. Eye 2017, 31, 1451–1455. [Google Scholar] [CrossRef]
- Del Vecchio, A.; Henry, E.; D’Amato, G.; Cannuscio, A.; Corriero, L.; Motta, M.; Christensen, R.D. Instituting a Program to Reduce the Erythrocyte Transfusion Rate Was Accompanied by Reductions in the Incidence of Bronchopulmonary Dysplasia, Retinopathy of Prematurity and Necrotizing Enterocolitis. J. Matern.-Fetal Neonatal Med. 2013, 26 (Suppl. S2), 77–79. [Google Scholar] [CrossRef]
- Lust, C.; Vesoulis, Z.; Jackups, R.; Liao, S.; Rao, R.; Mathur, A.M. Early Red Cell Transfusion Is Associated with Development of Severe Retinopathy of Prematurity. J. Perinatol. 2019, 39, 393–400. [Google Scholar] [CrossRef]
- Perrone, S.; Santacroce, A.; Longini, M.; Proietti, F.; Bazzini, F.; Buonocore, G. The Free Radical Diseases of Prematurity: From Cellular Mechanisms to Bedside. Oxidative Med. Cell. Longev. 2018, 2018, 7483062. [Google Scholar] [CrossRef]
- Crawford, T.M.; Andersen, C.C.; Stark, M.J. Effect of Repeat Transfusion Exposure on Plasma Cytokine and Markers of Endothelial Activation in the Extremely Preterm Neonate. Transfusion 2020, 60, 2217–2224. [Google Scholar] [CrossRef]
- Teofili, L.; Papacci, P.; Bartolo, M.; Molisso, A.; Orlando, N.; Pane, L.; Giannantonio, C.; Serrao, F.; Bianchi, M.; Valentini, C.G.; et al. Transfusion-Free Survival Predicts Severe Retinopathy in Preterm Neonates. Front. Pediatr. 2022, 10, 814194. [Google Scholar] [CrossRef] [PubMed]
- Fevereiro-Martins, M.; Santos, A.C.; Marques-Neves, C.; Guimarães, H.; Bicho, M.; Afonso, C.; Ferreira, J.; Santo, R.E.; Teixeira, F.; Rosa, R.; et al. Complete Blood Count Parameters as Biomarkers of Retinopathy of Prematurity: A Portuguese Multicenter Study. Graefe’s Arch. Clin. Exp. Ophthalmol. 2023, 261, 2997–3006. [Google Scholar] [CrossRef] [PubMed]
- Fevereiro-Martins, M.; Santos, A.C.; Marques-Neves, C.; Bicho, M.; Guimarães, H.; on behalf of the GenE-ROP Study Group. Retinopathy of Prematurity in Eight Portuguese Neonatal Intensive Care Units: Incidence, Risk Factors, and Progression—A Prospective Multicenter Study. Children 2024, 11, 1154. [Google Scholar] [CrossRef] [PubMed]
- Henriques, G.; Brito, C.; Teixeira, S. Consenso Clínico Retinopatia da Prematuridade. Available online: https://www.spneonatologia.pt/wp-content/uploads/2016/11/2014-ROP.pdf (accessed on 2 January 2024).
- Fierson, W.M. Screening Examination of Premature Infants for Retinopathy of Prematurity. Pediatrics 2018, 142, e20183061. [Google Scholar] [CrossRef] [PubMed]
- Li, Y.; Cheng, Z.X.; Luo, T.; Lyu, H.B. Therapeutic Potential of Iron Chelators in Retinal Vascular Diseases. Int. J. Ophthalmol. 2023, 16, 1899–1910. [Google Scholar] [CrossRef] [PubMed]
- Chen, W.; Zheng, D.; Yang, C. The Emerging Roles of Ferroptosis in Neonatal Diseases. J. Inflamm. Res. 2023, 16, 2661–2674. [Google Scholar] [CrossRef]
- Coffey, R.; Ganz, T. Erythroferrone: An Erythroid Regulator of Hepcidin and Iron Metabolism. HemaSphere 2018, 2, e35. [Google Scholar] [CrossRef]
- Aher, S.; Malwatkar, K.; Kadam, S. Neonatal Anemia. Semin. Fetal Neonatal Med. 2008, 13, 239–247. [Google Scholar] [CrossRef]
- Asada, N. Tubular Immaturity Causes Erythropoietin-Deficiency Anemia of Prematurity in Preterm Neonates. Sci. Rep. 2018, 8, 4448. [Google Scholar] [CrossRef]
- Den Besten, G.; Van Der Weide, K.; Schuerman, F.A.B.A.; Cotten, C.M.; Rondeel, J.M.M. Establishing the Cause of Anemia in a Premature Newborn Infant. Lab. Med. 2018, 49, e74–e77. [Google Scholar] [CrossRef]
- Rocha, G.; Pereira, S.; Antunes-Sarmento, J.; Flôr-de-Lima, F.; Soares, H.; Guimarães, H. Early Anemia and Neonatal Morbidity in Extremely Low Birth-Weight Preterm Infants. J. Matern.-Fetal Neonatal Med. 2021, 34, 3697–3703. [Google Scholar] [CrossRef] [PubMed]
- Teofili, L.; Papacci, P.; Orlando, N.; Bianchi, M.; Molisso, A.; Purcaro, V.; Valentini, C.G.; Giannantonio, C.; Serrao, F.; Chiusolo, P.; et al. Allogeneic Cord Blood Transfusions Prevent Fetal Haemoglobin Depletion in Preterm Neonates. Results of the CB-TrIP Study. Br. J. Haematol. 2020, 191, 263–268. [Google Scholar] [CrossRef] [PubMed]
- Jiramongkolchai, K.; Repka, M.X.; Tian, J.; Aucott, S.W.; Shepard, J.; Collins, M.; Kraus, C.; Clemens, J.; Feller, M.; Burd, I.; et al. Lower Foetal Haemoglobin Levels at 31- and 34-Weeks Post Menstrual Age Is Associated with the Development of Retinopathy of Prematurity: PacIFiHER Report No. 1 PacIFiHER Study Group (Preterm Infants and Fetal Haemoglobin in ROP). Eye 2021, 35, 659. [Google Scholar] [CrossRef] [PubMed]
- González, E.G.; Casanova, M.A.; Samarkanova, D.; Aldecoa-Bilbao, V.; Teresa-Palacio, M.; Busquets, E.F.; Figueras-Aloy, J.; Salvia-Roigés, M.; Querol, S. Feasibility of Umbilical Cord Blood as a Source of Red Blood Cell Transfusion in Preterm Infants. Blood Transfus. 2021, 19, 510–517. [Google Scholar] [CrossRef]
- Rabe, H.; Gyte, G.M.L.; Díaz-Rossello, J.L.; Duley, L. Effect of Timing of Umbilical Cord Clamping and Other Strategies to Influence Placental Transfusion at Preterm Birth on Maternal and Infant Outcomes. Cochrane Database Syst. Rev. 2019, 9, CD003248. [Google Scholar] [CrossRef]
- Teofili, L.; Papacci, P.; Giannantonio, C.; Bianchi, M.; Valentini, C.G.; Vento, G. Allogenic Cord Blood Transfusion in Preterm Infants. Clin. Perinatol. 2023, 50, 881–893. [Google Scholar] [CrossRef]
- Ren, Z.; Xu, F.; Wang, J.; Zhong, Z.; Wei, W.; Wen, J.; Wang, Q.; Guocheng, L.; Yang, J. Safety and Feasibility of Umbilical Cord Blood Collection from Preterm Neonates after Delayed Cord Clamping for the Use of Improving Preterm Complications. Am. J. Transl. Res. 2021, 13, 4553–4560. [Google Scholar]
- Teofili, L.; Papacci, P.; Orlando, N.; Bianchi, M.; Pasciuto, T.; Mozzetta, I.; Palluzzi, F.; Giacò, L.; Giannantonio, C.; Remaschi, G.; et al. BORN Study: A Multicenter Randomized Trial Investigating Cord Blood Red Blood Cell Transfusions to Reduce the Severity of Retinopathy of Prematurity in Extremely Low Gestational Age Neonates. Trials 2022, 23, 1010. [Google Scholar] [CrossRef]
- Christensen, R.D. Associations Between “Early” Red Blood Cell Transfusion and Severe Intraventricular Hemorrhage, and Between “Late” Red Blood Cell Transfusion and Necrotizing Enterocolitis. Semin. Perinatol. 2012, 36, 283–289. [Google Scholar] [CrossRef]
- Nopoulos, P.C.; Conrad, A.L.; Bell, E.F.; Strauss, R.G.; Widness, J.A.; Magnotta, V.A.; Zimmerman, M.B.; Georgieff, M.K.; Lindgren, S.D.; Richman, L.C. Long-Term Outcome of Brain Structure in Premature Infants: Effects of Liberal vs Restricted Red Blood Cell Transfusions. Arch. Pediatr. Adolesc. Med. 2011, 165, 443–450. [Google Scholar] [CrossRef]
- Scrivens, A.; Reibel, N.J.; Heeger, L.; Stanworth, S.; Lopriore, E.; New, H.V.; Dame, C.; Fijnvandraat, K.; Deschmann, E.; Aguar, M.; et al. Survey of Transfusion Practices in Preterm Infants in Europe. Arch. Dis. Child. Fetal Neonatal Ed. 2023, 108, 360–366. [Google Scholar] [CrossRef]



| Number of infants (n) | 82 |
| GA (weeks), mean ± SD | 28.1 ± 2.1 |
| BW (grams), mean ± SD | 1055.8 ± 258.3 |
| Female, n (%) | 41 (50.0) |
| Male, n (%) | 41 (50.0) |
| Retinopathy of prematurity, n (%) | 29 (35.4) |
| Stage 1 ROP, n (%) | 12 (14.6) |
| Stage 2 ROP, n (%) | 9 (11.0) |
| Stage 3 ROP, n (%) | 4 (4.9) |
| Type 1 ROP, n (%) | 4 (4.9) |
| Bronchopulmonary dysplasia, n (%) | 21 (25.6) |
| Peri-intraventricular hemorrhage, n (%) | 12 (14.6) |
| Cystic periventricular leukomalacia, n (%) | 3 (3.7) |
| Necrotizing enterocolitis, n (%) | 14 (17.1) |
| Number of RBC Transfusions (First 4 Weeks) | No ROP (n, %) | ROP (n, %) | p | p* |
|---|---|---|---|---|
| 0 | 43 (81.1) | 8 (27.6) | <0.001 1 | 0.009 |
| 1–2 | 9 (17.0) | 13 (44.8) | ||
| 3–4 | 1 (1.9) | 8 (27.6) |
| Number of RBC Transfusions (First 4 Weeks) | Mean HbF (%)—First 4 Weeks n; Median (Q1–Q3) | p |
|---|---|---|
| 0 | 51; 77.3 (75.2–81.8) | <0.001 1 |
| 1–2 | 22; 67.8 (60.4–75.2) | |
| 3–4 | 9; 44.5 (34.7–53.8) |
| HbF (%) | No ROP n; Median (Q1–Q3) or Mean ± SD | ROP n; Median (Q1–Q3) or Mean ± SD | p | p* |
|---|---|---|---|---|
| Mean first 4 weeks | 53; 77.3 (74.4–81.6) | 29; 62.7 (51.0–72.8) | <0.001 1 | 0.003 |
| 1st week of life | 50; 79.0 (76.4–81.0) | 26; 76.9 (69.2–80.6) | 0.100 1 | 0.693 |
| 2nd week of life | 32; 77.8 (74.6–81.2) | 28; 73.3 (54.4–79.5) | 0.005 1 | 0.020 |
| 3rd week of life | 29; 76.1 (69.7–79.8) | 26; 52.5 (33.7–73.4) | <0.001 1 | 0.031 |
| 4th week of life | 24; 70.5 ± 17.3 | 25; 44.9 ± 19.2 | <0.001 2 | 0.019 |
| HbF (%) | No Type 1 ROP n; Median (Q1–Q3) or Mean ± SD | Type 1 ROP n; Median (Q1–Q3) or Mean ± SD | p | p* |
|---|---|---|---|---|
| Mean first 4 weeks | 25; 64.3 ± 13.3 | 4; 40.1 ± 7.8 | 0.002 1 | 0.046 |
| 1st week of life | 22; 77.4 (71.7–81.8) | 4; 56.9 (37.3–77.7) | 0.112 2 | 0.119 |
| 2nd week of life | 24; 75.1 (65.3–79.7) | 4; 43.3 (30.8–58.3) | 0.005 2 | 0.057 |
| 3rd week of life | 22; 59.5 ± 19.5 | 4; 23.8 ± 5.7 | <0.001 1 | 0.202 |
| 4th week of life | 21; 46.7 ± 18.5 | 4; 35.3 ± 22.8 | 0.287 1 | 0.507 |
Disclaimer/Publisher’s Note: The statements, opinions and data contained in all publications are solely those of the individual author(s) and contributor(s) and not of MDPI and/or the editor(s). MDPI and/or the editor(s) disclaim responsibility for any injury to people or property resulting from any ideas, methods, instructions or products referred to in the content. |
© 2025 by the authors. Licensee MDPI, Basel, Switzerland. This article is an open access article distributed under the terms and conditions of the Creative Commons Attribution (CC BY) license (https://creativecommons.org/licenses/by/4.0/).
Share and Cite
Fevereiro-Martins, M.; Aguiar, L.; Inácio, Â.; Cardoso, C.; Santos, A.C.; Marques-Neves, C.; Guimarães, H.; Pinto, R.; Bicho, M., on behalf of the GenE-ROP Study Group. Fetal Hemoglobin as a Predictive Biomarker for Retinopathy of Prematurity: A Prospective Multicenter Cohort Study in Portugal. Biomedicines 2025, 13, 110. https://doi.org/10.3390/biomedicines13010110
Fevereiro-Martins M, Aguiar L, Inácio Â, Cardoso C, Santos AC, Marques-Neves C, Guimarães H, Pinto R, Bicho M on behalf of the GenE-ROP Study Group. Fetal Hemoglobin as a Predictive Biomarker for Retinopathy of Prematurity: A Prospective Multicenter Cohort Study in Portugal. Biomedicines. 2025; 13(1):110. https://doi.org/10.3390/biomedicines13010110
Chicago/Turabian StyleFevereiro-Martins, Mariza, Laura Aguiar, Ângela Inácio, Carlos Cardoso, Ana Carolina Santos, Carlos Marques-Neves, Hercília Guimarães, Rui Pinto, and Manuel Bicho on behalf of the GenE-ROP Study Group. 2025. "Fetal Hemoglobin as a Predictive Biomarker for Retinopathy of Prematurity: A Prospective Multicenter Cohort Study in Portugal" Biomedicines 13, no. 1: 110. https://doi.org/10.3390/biomedicines13010110
APA StyleFevereiro-Martins, M., Aguiar, L., Inácio, Â., Cardoso, C., Santos, A. C., Marques-Neves, C., Guimarães, H., Pinto, R., & Bicho, M., on behalf of the GenE-ROP Study Group. (2025). Fetal Hemoglobin as a Predictive Biomarker for Retinopathy of Prematurity: A Prospective Multicenter Cohort Study in Portugal. Biomedicines, 13(1), 110. https://doi.org/10.3390/biomedicines13010110

