Automatic Quantitative Assessment for Diagnostic and Therapeutic Response in Rodent Myocardial Infarct Model
Abstract
1. Introduction
2. Materials and Methods
2.1. MI Modeling
2.2. Rat PET/SPECT/MRI Acquisition
2.3. Polar Map Generation and Left Ventricle Staining
2.4. Automatic Quantitative Analysis of Polar Maps
2.5. Evaluation
3. Results
3.1. Rodent Myocardial PET/SPECT Imaging
3.2. Evaluation of MI Area in the Polar Map
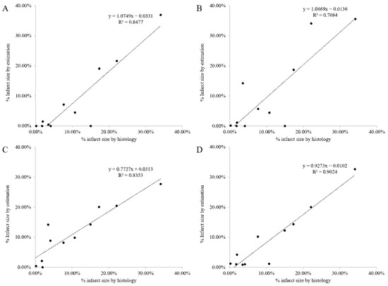
3.3. Comparison of Various MI Size Evaluation Methods
4. Discussion
Author Contributions
Funding
Institutional Review Board Statement
Informed Consent Statement
Data Availability Statement
Conflicts of Interest
References
- Sharir, T.; Germano, G.; Kang, X.; Lewin, H.C.; Miranda, R.; Cohen, I.; Agafitei, R.D.; Friedman, J.D.; Berman, D.S. Prediction of Myocardial Infarction versus Cardiac Death by Gated Myocardial Perfusion SPECT: Risk Stratification by the Amount of Stress-Induced Ischemia and the Poststress Ejection Fraction. J. Nucl. Med. 2001, 42, 831–837. [Google Scholar] [PubMed]
- Lund, G.K.; Stork, A.; Saeed, M.; Bansmann, M.P.; Gerken, J.H.; Muller, V.; Mester, J.; Higgins, C.B.; Adam, G.; Meinertz, T. Acute Myocardial Infarction: Evaluation with First-Pass Enhancement and Delayed Enhancement MR Imaging Compared with 201Tl SPECT Imaging. Radiology 2004, 232, 49–57. [Google Scholar] [PubMed]
- Slomka, P.J.; Fieno, D.; Thomson, L.; Friedman, J.D.; Hayes, S.W.; Germano, G.; Berman, D.S. Automatic Detection and Size Quantification of Infarcts by Myocardial Perfusion SPECT: Clinical Validation by Delayed-Enhancement MRI. J. Nucl. Med. 2005, 46, 728–735. [Google Scholar] [PubMed]
- Klein, R.; Celiker-Guler, E.; Rotstein, B.H.; de Kemp, R.A. PET and SPECT Tracers for Myocardial Perfusion Imaging. In Proceedings of the Seminars in Nuclear Medicine; Elsevier: Amsterdam, The Netherlands, 2020; Volume 50, pp. 208–218. [Google Scholar]
- Gershlick, A.H.; de Belder, M.; Chambers, J.; Hackett, D.; Keal, R.; Kelion, A.; Neubauer, S.; Pennell, D.J.; Rothman, M.; Signy, M. Role of Non-Invasive Imaging in the Management of Coronary Artery Disease: An Assessment of Likely Change over the next 10 Years. A Report from the British Cardiovascular Society Working Group. Heart 2007, 93, 423–431. [Google Scholar] [CrossRef]
- Henneman, M.M.; Schuijf, J.D.; van der Wall, E.E.; Bax, J.J. Non-Invasive Anatomical and Functional Imaging for the Detection of Coronary Artery Disease. Br. Med. Bull. 2006, 79, 187–202. [Google Scholar] [CrossRef]
- Hyun, I.Y.; Kwan, J.; Park, K.S.; Lee, W.H. Reproducibility of Tl-201 and Tc-99m Sestamibi Gated Myocardial Perfusion SPECT Measurement of Myocardial Function. J. Nucl. Cardiol. 2001, 8, 182–187. [Google Scholar] [CrossRef] [PubMed]
- Gibbons, R.J.; Miller, T.D.; Christian, T.F. Infarct Size Measured by Single Photon Emission Computed Tomographic Imaging with 99mTc-Sestamibi: A Measure of the Efficacy of Therapy in Acute Myocardial Infarction. Circulation 2000, 101, 101–108. [Google Scholar]
- Yao, Y.; Wang, D.-W.; Fang, W.; Tian, Y.-Q.; Shen, R.; Sun, X.-X.; Guo, F.; Chu, K.-W.; Cui, C.; Zhao, S.-H. Evaluation of Left Ventricular Volumes and Ejection Fraction by 99m Tc-MIBI Gated SPECT and 18 F-FDG Gated PET in Patients with Prior Myocardial Infarction. J. Nucl. Cardiol. 2021, 28, 560–574. [Google Scholar] [CrossRef]
- Di Carli, M.F.; Dorbala, S.; Meserve, J.; El Fakhri, G.; Sitek, A.; Moore, S.C. Clinical Myocardial Perfusion PET/CT. J. Nucl. Med. 2007, 48, 783–793. [Google Scholar] [CrossRef]
- Liu, J.; Hajibeigi, A.; Ren, G.; Lin, M.; Siyambalapitiyage, W.; Liu, Z.; Simpson, E.; Parkey, R.W.; Sun, X.; Öz, O.K. Retention of the Radiotracers 64Cu-ATSM and 64Cu-PTSM in Human and Murine Tumors Is Influenced by MDR1 Protein Expression. J. Nucl. Med. 2009, 50, 1332–1339. [Google Scholar]
- Nieman, K.; Shapiro, M.D.; Ferencik, M.; Nomura, C.H.; Abbara, S.; Hoffmann, U.; Gold, H.K.; Jang, I.-K.; Brady, T.J.; Cury, R.C. Reperfused Myocardial Infarction: Contrast-Enhanced 64-Section CT in Comparison to MR Imaging. Radiology 2008, 247, 49–56. [Google Scholar]
- Schuijf, J.D.; Kaandorp, T.A.M.; Lamb, H.J.; van der Geest, R.J.; Viergever, E.P.; van der Wall, E.E.; de Roos, A.; Bax, J.J. Quantification of Myocardial Infarct Size and Transmurality by Contrast-Enhanced Magnetic Resonance Imaging in Men. Am. J. Cardiol. 2004, 94, 284–288. [Google Scholar] [CrossRef] [PubMed]
- Higuchi, T.; Nekolla, S.G.; Jankaukas, A.; Weber, A.W.; Huisman, M.C.; Reder, S.; Ziegler, S.I.; Schwaiger, M.; Bengel, F.M. Characterization of Normal and Infarcted Rat Myocardium Using a Combination of Small-Animal PET and Clinical MRI. J. Nucl. Med. 2007, 48, 288–294. [Google Scholar]
- Maruyama, A.; Hasegawa, S.; Paul, A.K.; Xiuli, M.; Yoshioka, J.; Maruyama, K.; Hori, M.; Nishimura, T. Myocardial Viability Assessment with Gated SPECT Tc-99m Tetrofosmin% Wall Thickening: Comparison with F-18 FDG-PET. Ann. Nucl. Med. 2002, 16, 25–32. [Google Scholar] [CrossRef] [PubMed]
- Giorgetti, A.; Marzullo, P.; Sambuceti, G.; Di Quirico, S.; Kusch, A.; Landi, P.; Salvadori, P.A.; Pisani, P.; L’abbate, A. Baseline/Post-Nitrate Tc-99m Tetrofosmin Mismatch for the Assessment of Myocardial Viability in Patients with Severe Left Ventricular Dysfunction: Comparison with Baseline Tc-99m Tetrofosmin Scintigraphy/FDG PET Imaging. J. Nucl. Cardiol. 2004, 11, 142–151. [Google Scholar] [PubMed]
- Sherif, H.M.; Saraste, A.; Weidl, E.; Weber, A.W.; Higuchi, T.; Reder, S.; Poethko, T.; Henriksen, G.; Casebier, D.; Robinson, S. Evaluation of a Novel 18F-Labeled Positron-Emission Tomography Perfusion Tracer for the Assessment of Myocardial Infarct Size in Rats. Circ. Cardiovasc. Imaging 2009, 2, 77–84. [Google Scholar] [CrossRef]
- Lautamaki, R.; Schuleri, K.H.; Sasano, T.; Javadi, M.S.; Youssef, A.; Merrill, J.; Nekolla, S.G.; Abraham, M.R.; Lardo, A.C.; Bengel, F.M. Integration of Infarct Size, Tissue Perfusion, and Metabolism by Hybrid Cardiac Positron Emission Tomography/Computed Tomography: Evaluation in a Porcine Model of Myocardial Infarction. Circ. Cardiovasc. Imaging 2009, 2, 299–305. [Google Scholar] [CrossRef]
- Engblom, H.; Tufvesson, J.; Jablonowski, R.; Carlsson, M.; Aletras, A.H.; Hoffmann, P.; Jacquier, A.; Kober, F.; Metzler, B.; Erlinge, D. A New Automatic Algorithm for Quantification of Myocardial Infarction Imaged by Late Gadolinium Enhancement Cardiovascular Magnetic Resonance: Experimental Validation and Comparison to Expert Delineations in Multi-Center, Multi-Vendor Patient Data. J. Cardiovasc. Magn. Reson. 2016, 18, 27. [Google Scholar] [CrossRef]
- Hsu, L.; Natanzon, A.; Kellman, P.; Hirsch, G.A.; Aletras, A.H.; Arai, A.E. Quantitative Myocardial Infarction on Delayed Enhancement MRI. Part I: Animal Validation of an Automated Feature Analysis and Combined Thresholding Infarct Sizing Algorithm. J. Magn. Reson. Imaging Off. J. Int. Soc. Magn. Reson. Med. 2006, 23, 298–308. [Google Scholar]
- Stegger, L.; Hoffmeier, A.-N.; Schäfers, K.P.; Hermann, S.; Schober, O.; Schäfers, M.A.; Theilmeier, G. Accurate Noninvasive Measurement of Infarct Size in Mice with High-Resolution PET. J. Nucl. Med. 2006, 47, 1837–1844. [Google Scholar]
- Ramesh, K.K.D.; Kumar, G.K.; Swapna, K.; Datta, D.; Rajest, S.S. A Review of Medical Image Segmentation Algorithms. EAI Endorsed Trans. Pervasive Health Technol. 2021, 7, e6. [Google Scholar] [CrossRef]
- Minaee, S.; Boykov, Y.; Porikli, F.; Plaza, A.; Kehtarnavaz, N.; Terzopoulos, D. Image Segmentation Using Deep Learning: A Survey. IEEE Trans. Pattern Anal. Mach. Intell. 2021, 44, 3523–3542. [Google Scholar] [CrossRef]
- Rukundo, O. Effects of Image Size on Deep Learning. Electronics 2023, 12, 985. [Google Scholar] [CrossRef]
- Woo, S.-K.; Lee, T.S.; Kim, K.M.; Kim, J.-Y.; Jung, J.H.; Kang, J.H.; Cheon, G.J.; Choi, C.W.; Lim, S.M. Anesthesia Condition for 18F-FDG Imaging of Lung Metastasis Tumors Using Small Animal PET. Nucl. Med. Biol. 2008, 35, 143–150. [Google Scholar] [PubMed]
- Croteau, E.; Bénard, F.; Cadorette, J.; Gauthier, M.-E.; Aliaga, A.; Bentourkia, M.; Lecomte, R. Quantitative Gated PET for the Assessment of Left Ventricular Function in Small Animals. J. Nucl. Med. 2003, 44, 1655–1661. [Google Scholar] [PubMed]
- Liu, Z.; Kastis, G.A.; Stevenson, G.D.; Barrett, H.H.; Furenlid, L.R.; Kupinski, M.A.; Patton, D.D.; Wilson, D.W. Quantitative Analysis of Acute Myocardial Infarct in Rat Hearts with Ischemia-Reperfusion Using a High-Resolution Stationary SPECT System. J. Nucl. Med. 2002, 43, 933–939. [Google Scholar] [PubMed]
- Otsu, N. A Threshold Selection Method from Gray-Level Histograms. IEEE Trans. Syst. Man Cybern. 1979, 9, 62–66. [Google Scholar]
- Huang, Z.-K.; Chau, K.-W. A New Image Thresholding Method Based on Gaussian Mixture Model. Appl. Math. Comput. 2008, 205, 899–907. [Google Scholar]
- Kim, W.; Kanezaki, A.; Tanaka, M. Unsupervised Learning of Image Segmentation Based on Differentiable Feature Clustering. IEEE Trans. Image Process. 2020, 29, 8055–8068. [Google Scholar] [CrossRef]
- Manabe, O.; Kikuchi, T.; Scholte, A.J.H.A.; El Mahdiui, M.; Nishii, R.; Zhang, M.-R.; Suzuki, E.; Yoshinaga, K. Radiopharmaceutical Tracers for Cardiac Imaging. J. Nucl. Cardiol. 2018, 25, 1204–1236. [Google Scholar] [CrossRef]
- Fathala, A. Myocardial Perfusion Scintigraphy: Techniques, Interpretation, Indications and Reporting. Ann. Saudi Med. 2011, 31, 625–634. [Google Scholar] [PubMed]
- Mahrholdt, H.; Wagner, A.; Holly, T.A.; Elliott, M.D.; Bonow, R.O.; Kim, R.J.; Judd, R.M. Reproducibility of Chronic Infarct Size Measurement by Contrast-Enhanced Magnetic Resonance Imaging. Circulation 2002, 106, 2322–2327. [Google Scholar] [PubMed]
- Büther, F.; Dawood, M.; Stegger, L.; Wübbeling, F.; Schäfers, M.; Schober, O.; Schäfers, K.P. List Mode–Driven Cardiac and Respiratory Gating in PET. J. Nucl. Med. 2009, 50, 674–681. [Google Scholar] [PubMed]






Disclaimer/Publisher’s Note: The statements, opinions and data contained in all publications are solely those of the individual author(s) and contributor(s) and not of MDPI and/or the editor(s). MDPI and/or the editor(s) disclaim responsibility for any injury to people or property resulting from any ideas, methods, instructions or products referred to in the content. |
© 2024 by the authors. Licensee MDPI, Basel, Switzerland. This article is an open access article distributed under the terms and conditions of the Creative Commons Attribution (CC BY) license (https://creativecommons.org/licenses/by/4.0/).
Share and Cite
Kim, K.; Lee, Y.J.; Kim, M.H.; Byun, B.H.; Woo, S.-K. Automatic Quantitative Assessment for Diagnostic and Therapeutic Response in Rodent Myocardial Infarct Model. Biomedicines 2024, 12, 219. https://doi.org/10.3390/biomedicines12010219
Kim K, Lee YJ, Kim MH, Byun BH, Woo S-K. Automatic Quantitative Assessment for Diagnostic and Therapeutic Response in Rodent Myocardial Infarct Model. Biomedicines. 2024; 12(1):219. https://doi.org/10.3390/biomedicines12010219
Chicago/Turabian StyleKim, Kangsan, Yong Jin Lee, Min Hwan Kim, Byung Hyun Byun, and Sang-Keun Woo. 2024. "Automatic Quantitative Assessment for Diagnostic and Therapeutic Response in Rodent Myocardial Infarct Model" Biomedicines 12, no. 1: 219. https://doi.org/10.3390/biomedicines12010219
APA StyleKim, K., Lee, Y. J., Kim, M. H., Byun, B. H., & Woo, S.-K. (2024). Automatic Quantitative Assessment for Diagnostic and Therapeutic Response in Rodent Myocardial Infarct Model. Biomedicines, 12(1), 219. https://doi.org/10.3390/biomedicines12010219

