Overnight Melatonin Concentration and Sleep Quality Are Associated with the Clinical Features of Polycystic Ovary Syndrome
Abstract
:1. Introduction
2. Materials and Methods
2.1. Study Subjects
2.2. Ethical Considerations
2.3. Procedures
2.4. Sleep-Related Endpoints
2.5. Assays
2.6. Statistical Analyses
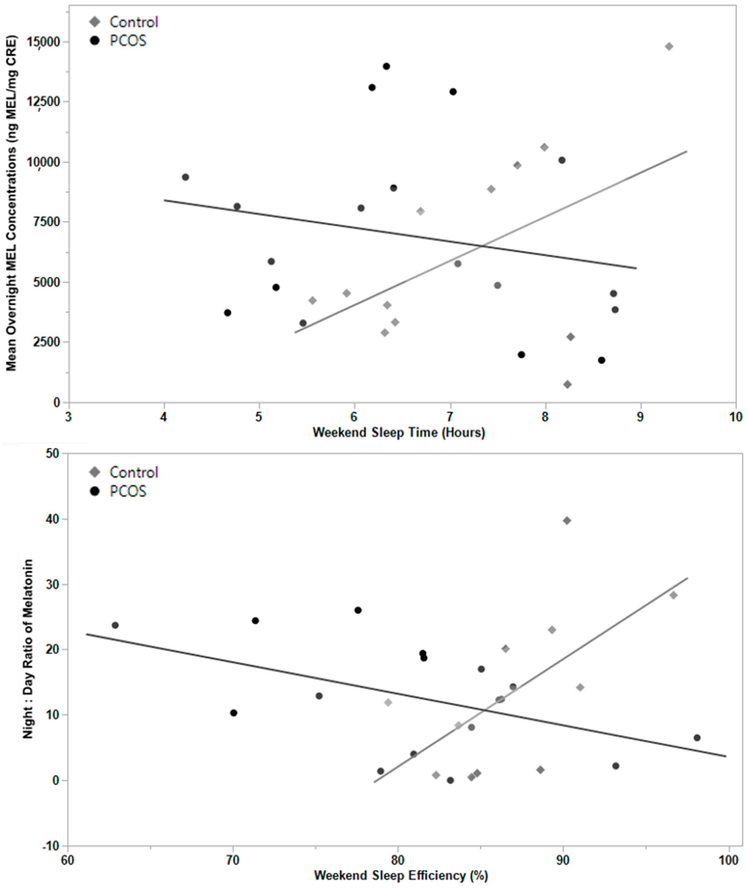
3. Results
4. Discussion
5. Conclusions
Author Contributions
Funding
Institutional Review Board Statement
Informed Consent Statement
Data Availability Statement
Conflicts of Interest
Appendix A
| BMI (kg/m2) | Fasting Insulin | 2HR Insulin | HOMA-IR | % Fat | |
|---|---|---|---|---|---|
| Overnight MEL (ng MEL/mg CRE) | −0.387 * | −0.306 | −0.304 | −0.298 | −0.531 *** |
| Daytime MEL (ng MEL/mg CRE) | 0.087 | 0.137 | 0.309 | 0.172 | 0.164 |
| Night/Day Ratio (1) | −0.097 | −0.003 | −0.060 | −0.038 | −0.220 |
| Night/Day Ratio (2) | −0.262 | −0.248 | −0.367 * | −0.269 | −0.346 * |
| MCL (days) | 0.285 | 0.376 * | 0.391 * | 0.409 * | 0.260 |
| TT (ng/dL) | 0.092 | 0.338 * | 0.364 * | 0.312 | 0.049 |
| FT (ng/dL) | 0.365 * | 0.510 ** | 0.530 *** | 0.498 ** | 0.258 |
| FAI (%) | 0.442 ** | 0.560 *** | 0.567 *** | 0.556 *** | 0.313 |
| Bio T (ng/dL) | 0.364 * | 0.508 ** | 0.529 *** | 0.497 ** | 0.255 |
| OV (mL) | 0.077 | 0.119 | 0.367 * | 0.118 | 0.033 |
| FNPS | 0.118 | 0.307 | 0.538 ** | 0.290 | 0.091 |
| FNPO 2–9 mm | 0.214 | 0.336 | 0.535 ** | 0.326 | 0.105 |
References
- Bozdag, G.; Mumusoglu, S.; Zengin, D.; Karabulut, E.; Yildiz, B.O. The prevalence and phenotypic features of polycystic ovary syndrome: A systematic review and meta-analysis. Hum. Reprod. 2016, 31, 2841–2855. [Google Scholar] [CrossRef] [PubMed]
- Ehrmann, D.A. Metabolic dysfunction in pcos: Relationship to obstructive sleep apnea. Steroids 2012, 77, 290–294. [Google Scholar] [CrossRef] [PubMed]
- Fernandez, R.C.; Moore, V.M.; Van Ryswyk, E.M.; Varcoe, T.J.; Rodgers, R.J.; March, W.A.; Moran, L.J.; Avery, J.C.; McEvoy, R.D.; Davies, M.J. Sleep disturbances in women with polycystic ovary syndrome: Prevalence, pathophysiology, impact and management strategies. Nat. Sci. Sleep 2018, 10, 45–64. [Google Scholar] [CrossRef] [PubMed]
- Moran, L.J.; March, W.A.; Whitrow, M.J.; Giles, L.C.; Davies, M.J.; Moore, V.M. Sleep disturbances in a community-based sample of women with polycystic ovary syndrome. Hum. Reprod. 2015, 30, 466–472. [Google Scholar] [CrossRef] [PubMed]
- Sam, S.; Ehrmann, D.A. Pathogenesis and Consequences of Disordered Sleep in PCOS. Clin. Med. Insights Reprod. Health 2019, 13, 1179558119871269. [Google Scholar] [CrossRef] [PubMed]
- Simon, S.L.; McWhirter, L.; Diniz Behn, C.; Bubar, K.M.; Kaar, J.L.; Pyle, L.; Rahat, H.; Garcia-Reyes, Y.; Carreau, A.M.; Wright, K.P.; et al. Morning Circadian Misalignment Is Associated With Insulin Resistance in Girls With Obesity and Polycystic Ovarian Syndrome. J. Clin. Endocrinol. Metab. 2019, 104, 3525–3534. [Google Scholar] [CrossRef] [PubMed]
- Vgontzas, A.N.; Legro, R.S.; Bixler, E.O.; Grayev, A.; Kales, A.; Chrousos, G.P. Polycystic ovary syndrome is associated with obstructive sleep apnea and daytime sleepiness: Role of insulin resistance. J. Clin. Endocrinol. Metab. 2001, 86, 517–520. [Google Scholar] [CrossRef]
- Shreeve, N.; Cagampang, F.; Sadek, K.; Tolhurst, M.; Houldey, A.; Hill, C.M.; Brook, N.; Macklon, N.; Cheong, Y. Poor sleep in PCOS; is melatonin the culprit? Hum. Reprod. 2013, 28, 1348–1353. [Google Scholar] [CrossRef]
- Tasali, E.; Van Cauter, E.; Ehrmann, D.A. Polycystic Ovary Syndrome and Obstructive Sleep Apnea. Sleep. Med. Clin. 2008, 3, 37–46. [Google Scholar] [CrossRef]
- De Sousa, G.; Schluter, B.; Buschatz, D.; Menke, T.; Trowitzsch, E.; Andler, W.; Reinehr, T. A comparison of polysomnographic variables between obese adolescents with polycystic ovarian syndrome and healthy, normal-weight and obese adolescents. Sleep. Breath. 2010, 14, 33–38. [Google Scholar] [CrossRef]
- Cipolla-Neto, J.; Amaral, F.G.D. Melatonin as a Hormone: New Physiological and Clinical Insights. Endocr. Rev. 2018, 39, 990–1028. [Google Scholar] [CrossRef] [PubMed]
- Claustrat, B.; Leston, J. Melatonin: Physiological effects in humans. Neurochirurgie 2015, 61, 77–84. [Google Scholar] [CrossRef] [PubMed]
- Luboshitzky, R.; Qupti, G.; Ishay, A.; Shen-Orr, Z.; Futerman, B.; Linn, S. Increased 6-sulfatoxymelatonin excretion in women with polycystic ovary syndrome. Fertil. Steril. 2001, 76, 506–510. [Google Scholar] [CrossRef]
- Tamura, H.; Nakamura, Y.; Korkmaz, A.; Manchester, L.C.; Tan, D.X.; Sugino, N.; Reiter, R.J. Melatonin and the ovary: Physiological and pathophysiological implications. Fertil. Steril. 2009, 92, 328–343. [Google Scholar] [CrossRef] [PubMed]
- Lim, A.J.R.; Indran, I.R.; Kramer, M.S.; Yong, E.L. Phenotypic spectrum of polycystic ovary syndrome and their relationship to the circadian biomarkers, melatonin and cortisol. Endocrinol. Diabetes Metab. 2019, 2, e00047. [Google Scholar] [CrossRef] [PubMed]
- Terzieva, D.D.; Orbetzova, M.M.; Mitkov, M.D.; Mateva, N.G. Serum melatonin in women with polycystic ovary syndrome. Folia Med. 2013, 55, 10–15. [Google Scholar] [CrossRef] [PubMed]
- Wang, F.; Xie, N.; Wu, Y.; Zhang, Q.; Zhu, Y.; Dai, M.; Zhou, J.; Pan, J.; Tang, M.; Cheng, Q.; et al. Association between circadian rhythm disruption and polycystic ovary syndrome. Fertil. Steril. 2021, 115, 771–781. [Google Scholar] [CrossRef] [PubMed]
- Teede, H.J.; Misso, M.L.; Costello, M.F.; Dokras, A.; Laven, J.; Moran, L.; Piltonen, T.; Norman, R.J.; International, P.N. Recommendations from the international evidence-based guideline for the assessment and management of polycystic ovary syndrome. Hum. Reprod. 2018, 33, 1602–1618. [Google Scholar] [CrossRef]
- Lujan, M.E.; Jarrett, B.Y.; Brooks, E.D.; Reines, J.K.; Peppin, A.K.; Muhn, N.; Haider, E.; Pierson, R.A.; Chizen, D.R. Updated ultrasound criteria for polycystic ovary syndrome: Reliable thresholds for elevated follicle population and ovarian volume. Hum. Reprod. 2013, 28, 1361–1368. [Google Scholar] [CrossRef]
- Tosi, F.; Bonora, E.; Moghetti, P. Insulin resistance in a large cohort of women with polycystic ovary syndrome: A comparison between euglycaemic-hyperinsulinaemic clamp and surrogate indexes. Hum. Reprod. 2017, 32, 2515–2521. [Google Scholar] [CrossRef]
- Matthews, D.R.; Hosker, J.P.; Rudenski, A.S.; Naylor, B.A.; Treacher, D.F.; Turner, R.C. Homeostasis model assessment: Insulin resistance and beta-cell function from fasting plasma glucose and insulin concentrations in man. Diabetologia 1985, 28, 412–419. [Google Scholar] [CrossRef] [PubMed]
- Lujan, M.E.; Brooks, E.D.; Kepley, A.L.; Chizen, D.R.; Pierson, R.A.; Peppin, A.K. Grid analysis improves reliability in follicle counts made by ultrasonography in women with polycystic ovary syndrome. Ultrasound Med. Biol. 2010, 36, 712–718. [Google Scholar] [CrossRef] [PubMed]
- Buysse, D.J.; Reynolds, C.F., 3rd; Monk, T.H.; Berman, S.R.; Kupfer, D.J. The Pittsburgh Sleep Quality Index: A new instrument for psychiatric practice and research. Psychiatry Res. 1989, 28, 193–213. [Google Scholar] [CrossRef] [PubMed]
- Sadeh, A.; Sharkey, K.M.; Carskadon, M.A. Activity-based sleep-wake identification: An empirical test of methodological issues. Sleep 1994, 17, 201–207. [Google Scholar] [CrossRef] [PubMed]
- Vermeulen, A.; Verdonck, L.; Kaufman, J.M. A critical evaluation of simple methods for the estimation of free testosterone in serum. J. Clin. Endocrinol. Metab. 1999, 84, 3666–3672. [Google Scholar] [CrossRef] [PubMed]
- Jain, P.; Jain, M.; Haldar, C.; Singh, T.B.; Jain, S. Melatonin and its correlation with testosterone in polycystic ovarian syndrome. J. Hum. Reprod. Sci. 2013, 6, 253–258. [Google Scholar] [CrossRef] [PubMed]
- Christ, J.P.; Vanden Brink, H.; Brooks, E.D.; Pierson, R.A.; Chizen, D.R.; Lujan, M.E. Ultrasound features of polycystic ovaries relate to degree of reproductive and metabolic disturbance in polycystic ovary syndrome. Fertil. Steril. 2015, 103, 787–794. [Google Scholar] [CrossRef] [PubMed]
- Li, H.; Liu, M.; Zhang, C. Women with polycystic ovary syndrome (PCOS) have reduced melatonin concentrations in their follicles and have mild sleep disturbances. BMC Womens Health 2022, 22, 79. [Google Scholar] [CrossRef]
- Jamilian, M.; Foroozanfard, F.; Mirhosseini, N.; Kavossian, E.; Aghadavod, E.; Bahmani, F.; Ostadmohammadi, V.; Kia, M.; Eftekhar, T.; Ayati, E.; et al. Effects of Melatonin Supplementation on Hormonal, Inflammatory, Genetic, and Oxidative Stress Parameters in Women With Polycystic Ovary Syndrome. Front. Endocrinol. 2019, 10, 273. [Google Scholar] [CrossRef]
- Simon, S.; Rahat, H.; Carreau, A.M.; Garcia-Reyes, Y.; Halbower, A.; Pyle, L.; Nadeau, K.J.; Cree-Green, M. Poor Sleep Is Related to Metabolic Syndrome Severity in Adolescents With PCOS and Obesity. J. Clin. Endocrinol. Metab. 2020, 105, e1827–e1834. [Google Scholar] [CrossRef]
- Ip, M.S.; Lam, B.; Ng, M.M.; Lam, W.K.; Tsang, K.W.; Lam, K.S. Obstructive sleep apnea is independently associated with insulin resistance. Am. J. Respir. Crit. Care Med. 2002, 165, 670–676. [Google Scholar] [CrossRef]
- Watson, N.F.; Badr, M.S.; Belenky, G.; Bliwise, D.L.; Buxton, O.M.; Buysse, D.; Dinges, D.F.; Gangwisch, J.; Grandner, M.A.; Kushida, C.; et al. Recommended Amount of Sleep for a Healthy Adult: A Joint Consensus Statement of the American Academy of Sleep Medicine and Sleep Research Society. Sleep 2015, 38, 843–844. [Google Scholar] [CrossRef]
- Benloucif, S.; Burgess, H.J.; Klerman, E.B.; Lewy, A.J.; Middleton, B.; Murphy, P.J.; Parry, B.L.; Revell, V.L. Measuring melatonin in humans. J. Clin. Sleep. Med. 2008, 4, 66–69. [Google Scholar] [CrossRef]
- Kennaway, D.J. Measuring morning melatonin levels with plasma melatonin ELISA kits is a poor choice on two levels. J. Pineal Res. 2022, 72, e12773. [Google Scholar] [CrossRef]

| Control | PCOS | ||||
|---|---|---|---|---|---|
| Mean | Std Dev | Mean | Std Dev | p Value | |
| N | 13 | 22 | |||
| Age (y) | 28.0 | 5.8 | 28.3 | 5.5 | NS |
| Age at menarche (y) | 12.2 | 0.9 | 13.1 | 1.1 | 0.018 |
| Anthropometry and glucoregulation | |||||
| BMI (kg/m2) | 31.3 | 4.49 | 30.9 | 9.41 | NS |
| WHR | 0.83 | 0.08 | 0.82 | 0.08 | NS |
| Body fat (%) | 39.4 | 5.43 | 39.7 | 10.21 | NS |
| Insulin (0 HR, mIU/mL) | 7.6 | 2.77 | 13.9 | 12.47 | NS |
| Glucose (0 HR, mg/dL) | 90.5 | 5.83 | 93.3 | 11.96 | NS |
| HOMA-IR | 1.7 | 0.63 | 3.5 | 3.79 | NS |
| Insulin (2 HR, mIU/mL) | 28.5 | 12.70 | 73.2 | 64.67 | 0.010 |
| Glucose (2 HR, mg/dL) | 81.8 | 87.20 | 101.6 | 38.18 | 0.051 |
| Systolic BP (mmHg) | 117 | 17.6 | 115 | 15.6 | NS |
| Diastolic BP (mmHg) | 72 | 19.4 | 69 | 9.7 | NS |
| Diagnostic features of PCOS | |||||
| MCL (days) | 30 | 2.2 | 67 | 72.3 | 0.001 |
| Hirsutism score | 3 | 2.9 | 8 | 6.2 | 0.005 |
| TT (ng/dL) | 18.7 | 14.01 | 36.7 | 26.36 | 0.033 |
| FAI (%) | 1 | 1.0 | 4 | 3.6 | 0.071 |
| FT (ng/dL) | 0.25 | 0.18 | 0.58 | 0.52 | 0.075 |
| BIOT (ng/dL) | 5.9 | 4.42 | 13.6 | 12.11 | 0.072 |
| Mean OV (cm3) | 5.4 | 1.31 | 9.7 | 2.90 | <0.001 |
| Mean FNPO | 19 | 10 | 40 | 20 | 0.002 |
| Mean FNPS | 6 | 3 | 11 | 4 | <0.001 |
| Reproductive endocrinology | |||||
| LH (mIU/mL) | 4.3 | 1.96 | 8.49 | 5.83 | 0.009 |
| FSH (mIU/mL) | 6.6 | 2.62 | 5.28 | 1.79 | NS |
| SHBG (nmol/L) | 54.6 | 31.90 | 57.77 | 35.65 | NS |
| Urinary Melatonin Variables | Controls | PCOS | |||
|---|---|---|---|---|---|
| Mean | Std Dev | Mean | Std Dev | p Value | |
| Mean overnight MEL (ng MEL/mg CRE) | 6213.07 | 4146.26 | 6972.42 | 3584.04 | NS |
| Mean daytime MEL (ng MEL/mg CRE) | 865.93 | 643.20 | 1297.28 | 1122.41 | NS |
| Night/day ratio (1) | 15.76 | 16.06 | 13.41 | 8.72 | NS |
| Night/day ratio (2) | 13.60 | 13.01 | 11.49 | 8.57 | NS |
| PSQI-defined sleep variables | |||||
| PSQI total | 5 | 2.7 | 7 | 4.0 | NS |
| Good sleep quality, N (%) | 9 (69) | 12 (55) | NS | ||
| Poor sleep quality, N (%) | 4 (31) | 10 (45) | |||
| Accelerometer-defined sleep variables | |||||
| Total sleep time (h/day) | 6.5 | 0.80 | 6.5 | 0.94 | NS |
| Total weekday sleep time (h/day) | 6.3 | 1.28 | 6.5 | 1.05 | NS |
| Total weekend sleep time (h/day) | 7.1 | 1.16 | 6.5 | 1.46 | NS |
| Total sleep efficiency (%) | 84 | 6.9 | 82 | 7.7 | NS |
| Weekday sleep efficiency (%) | 82 | 10.1 | 81 | 7.6 | NS |
| Weekend sleep efficiency (%) | 88 | 5.0 | 81 | 8.3 | 0.010 |
| MCL | TT | FT | FAI | Bio T | OV | FNPS | FNPO | |
|---|---|---|---|---|---|---|---|---|
| Mean overnight MEL (ng MEL/mg CRE) | −0.016 | 0.082 | 0.131 | 0.137 | 0.127 | 0.120 | 0.298 | 0.359 * |
| Mean daytime MEL (ng MEL/mg CRE) | 0.177 | 0.074 | 0.093 | 0.087 | 0.092 | 0.215 | 0.137 | 0.206 |
| N:D ratio (1) | 0.134 | 0.136 | 0.208 | 0.218 | 0.204 | 0.123 | 0.299 | 0.246 |
| N:D ratio (2) | −0.215 | −0.001 | −0.069 | −0.076 | −0.070 | −0.114 | 0.047 | 0.074 |
Disclaimer/Publisher’s Note: The statements, opinions and data contained in all publications are solely those of the individual author(s) and contributor(s) and not of MDPI and/or the editor(s). MDPI and/or the editor(s) disclaim responsibility for any injury to people or property resulting from any ideas, methods, instructions or products referred to in the content. |
© 2023 by the authors. Licensee MDPI, Basel, Switzerland. This article is an open access article distributed under the terms and conditions of the Creative Commons Attribution (CC BY) license (https://creativecommons.org/licenses/by/4.0/).
Share and Cite
Evans, A.T.; Vanden Brink, H.; Lim, J.S.; Jarrett, B.Y.; Lin, A.W.; Lujan, M.E.; Hoeger, K. Overnight Melatonin Concentration and Sleep Quality Are Associated with the Clinical Features of Polycystic Ovary Syndrome. Biomedicines 2023, 11, 2763. https://doi.org/10.3390/biomedicines11102763
Evans AT, Vanden Brink H, Lim JS, Jarrett BY, Lin AW, Lujan ME, Hoeger K. Overnight Melatonin Concentration and Sleep Quality Are Associated with the Clinical Features of Polycystic Ovary Syndrome. Biomedicines. 2023; 11(10):2763. https://doi.org/10.3390/biomedicines11102763
Chicago/Turabian StyleEvans, Adam T., Heidi Vanden Brink, Jessica S. Lim, Brittany Y. Jarrett, Annie W. Lin, Marla E. Lujan, and Kathleen Hoeger. 2023. "Overnight Melatonin Concentration and Sleep Quality Are Associated with the Clinical Features of Polycystic Ovary Syndrome" Biomedicines 11, no. 10: 2763. https://doi.org/10.3390/biomedicines11102763
APA StyleEvans, A. T., Vanden Brink, H., Lim, J. S., Jarrett, B. Y., Lin, A. W., Lujan, M. E., & Hoeger, K. (2023). Overnight Melatonin Concentration and Sleep Quality Are Associated with the Clinical Features of Polycystic Ovary Syndrome. Biomedicines, 11(10), 2763. https://doi.org/10.3390/biomedicines11102763

