Long-Term Outcome of Leptospirosis Infection with Acute Kidney Injury
Abstract
1. Introduction
2. Materials and Methods
2.1. Data Source
2.2. Patient Selection and Study Design
2.3. Covariates and Study Outcomes
2.4. Statistical Analysis
3. Results
3.1. Study Population Characteristics
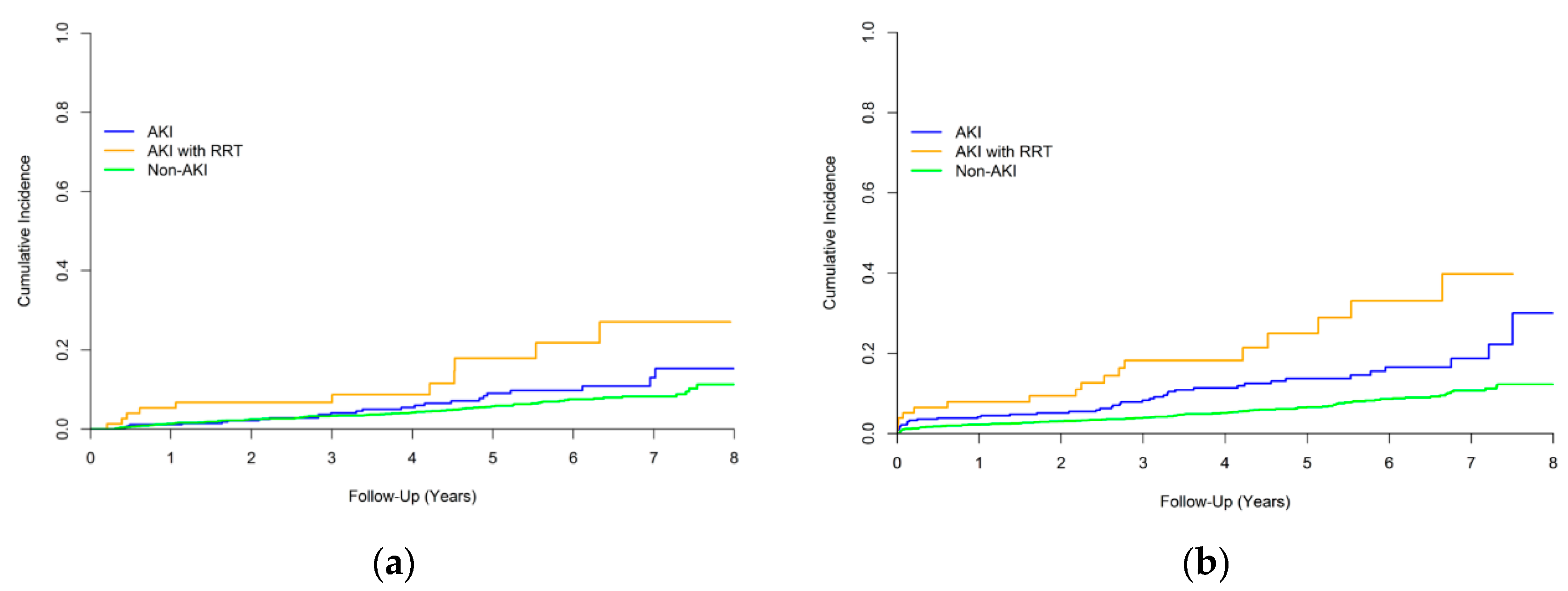
3.2. Patient Outcome among Various Study Groups
4. Discussion
5. Conclusions
Supplementary Materials
Author Contributions
Funding
Institutional Review Board Statement
Informed Consent Statement
Data Availability Statement
Conflicts of Interest
References
- Bharti, A.R.; Nally, J.E.; Ricaldi, J.N.; Matthias, M.A.; Diaz, M.M.; Lovett, M.A.; Levett, P.N.; Gilman, R.H.; Willig, M.R.; Gotuzzo, E.; et al. Leptospirosis: A zoonotic disease of global importance. Lancet Infect. Dis. 2003, 3, 757–771. [Google Scholar] [CrossRef]
- Yang, C.; Wu, M.; Pan, M. Leptospirosis renal disease. Nephrol. Dial. Transplant. 2001, 16, 73–77. [Google Scholar] [CrossRef] [PubMed]
- Tian, Y.-C.; Chen, Y.-C.; Hung, C.-C.; Chang, C.-T.; Wu, M.-S.; Phillips, A.O.; Yang, C.-W. Leptospiral Outer Membrane Protein Induces Extracellular Matrix Accumulation through a TGF-β1/Smad-Dependent Pathway. J. Am. Soc. Nephrol. 2006, 17, 2792–2798. [Google Scholar] [CrossRef] [PubMed]
- D’Andon, M.F.; Quellard, N.; Fernandez, B.; Ratet, G.; Lacroix-Lamandé, S.; Vandewalle, A.; Boneca, I.G.; Goujon, J.-M.; Werts, C. Leptospira Interrogans Induces Fibrosis in the Mouse Kidney through Inos-Dependent, TLR- and NLR-Independent Signaling Pathways. PLoS Negl. Trop. Dis. 2014, 8, e2664. [Google Scholar] [CrossRef]
- Herath, N.J.; Kularatne, S.A.; Weerakoon, K.G.; Wazil, A.; Subasinghe, N.; Ratnatunga, N.V. Long term outcome of acute kidney injury due to leptospirosis? A longitudinal study in Sri Lanka. BMC Res. Notes 2014, 7, 398. [Google Scholar] [CrossRef]
- Coca, S.G.; Singanamala, S.; Parikh, C.R. Chronic kidney disease after acute kidney injury: A systematic review and meta-analysis. Kidney Int. 2012, 81, 442–448. [Google Scholar] [CrossRef]
- Wu, P.-C.; Wu, C.-J.; Lin, C.-J.; Wu, V.-C. Long-Term Risk of Upper Gastrointestinal Hemorrhage after Advanced AKI. Clin. J. Am. Soc. Nephrol. 2015, 10, 353–362. [Google Scholar] [CrossRef]
- Lin, Y.-F.; Lin, S.-L.; Huang, T.-M.; Yang, S.-Y.; Lai, T.-S.; Chen, L.; Wu, V.-C.; Chu, T.-S.; Wu, K.-D. New-Onset Diabetes After Acute Kidney Injury Requiring Dialysis. Diabetes Care 2018, 41, 2105–2110. [Google Scholar] [CrossRef]
- Nicolescu, M.; Andreescu, N. May human leptospirosis develop as a chronic infection? Zentralbl. Bakteriol. Mikrobiol. Hyg. A 1984, 257, 531–534. Available online: http://www.ncbi.nlm.nih.gov/pubmed/6506925 (accessed on 5 August 2019). [CrossRef]
- Mancel, E.; Vetd, F.M.; Pesenti, L.; Salino, D.; Angibaud, G.; Perolat, P. Clinical aspects of ocular leptospirosis in New Caledonia (South Pacific). Aust. N. Z. J. Ophthalmol. 1999, 27, 380–386. [Google Scholar] [CrossRef]
- Habek, M.; Brinar, V.V. Central Sleep Apnea and Ataxia Caused by Brainstem Lesion Due to Chronic Neuroleptospirosis. Neurology 2009, 73, 1923–1924. [Google Scholar] [CrossRef] [PubMed]
- Wilson, M.R.; Naccache, S.N.; Samayoa, E.; Biagtan, M.; Bashir, H.; Yu, G.; Salamat, S.M.; Somasekar, S.; Federman, S.; Miller, S.; et al. Actionable Diagnosis of Neuroleptospirosis by Next-Generation Sequencing. N. Engl. J. Med. 2014, 370, 2408–2417. [Google Scholar] [CrossRef] [PubMed]
- Wu, C.-S.; Lai, M.-S.; Gau, S.S.-F.; Wang, S.-C.; Tsai, H.-J. Concordance between Patient Self-Reports and Claims Data on Clinical Diagnoses, Medication Use, and Health System Utilization in Taiwan. PLoS ONE 2014, 9, e112257. [Google Scholar] [CrossRef]
- Cheng, C.-L.; Chien, H.-C.; Lee, C.-H.; Lin, S.-J.; Yang, Y.-H.K. Validity of in-hospital mortality data among patients with acute myocardial infarction or stroke in National Health Insurance Research Database in Taiwan. Int. J. Cardiol. 2015, 201, 96–101. [Google Scholar] [CrossRef]
- Su, H.-P.; Chan, T.-C.; Chang, C.-C. Typhoon-related Leptospirosis and Melioidosis, Taiwan, 2009. Emerg. Infect. Dis. 2011, 17, 1322–1324. [Google Scholar] [CrossRef] [PubMed]
- Costa, F.; Hagan, J.E.; Calcagno, J.; Kane, M.; Torgerson, P.; Martinez-Silveira, M.S.; Stein, C.; Abela-Ridder, B.; Ko, A.I. Global Morbidity and Mortality of Leptospirosis: A Systematic Review. PLoS Negl. Trop. Dis. 2015, 9, e0003898. [Google Scholar] [CrossRef] [PubMed]
- Schneider, M.C.; Jancloes, M.; Buss, D.F.; Aldighieri, S.; Bertherat, E.; Najera, P.; Galan, D.I.; Durski, K.; Espinal, M.A. Leptospirosis: A Silent Epidemic Disease. Int. J. Environ. Res. Public Health 2013, 10, 7229–7234. [Google Scholar] [CrossRef]
- Yang, C.-W. Leptospirosis—Clinical Manifestation, Diagnosis and Treatment Guideline. Cent. Dis. Control Taiwan 2003, 1–2. [Google Scholar]
- Tian, Y.-C.; Hung, C.-C.; Li, Y.-J.; Chen, Y.-C.; Chang, M.-Y.; Yen, T.-H.; Hsu, H.-H.; Wu, M.-S.; Phillips, A.; Yang, C.-W. Leptospira santorosai Serovar Shermani Detergent Extract Induces an Increase in Fibronectin Production through a Toll-Like Receptor 2-Mediated Pathway. Infect. Immun. 2011, 79, 1134–1142. [Google Scholar] [CrossRef]
- Yang, H.-Y.; Hung, C.-C.; Liu, S.-H.; Guo, Y.-G.; Chen, Y.-C.; Ko, Y.-C.; Huang, C.-T.; Chou, L.-F.; Tian, Y.-C.; Chang, M.-Y.; et al. Overlooked Risk for Chronic Kidney Disease after Leptospiral Infection: A Population-Based Survey and Epidemiological Cohort Evidence. PLoS Negl. Trop. Dis. 2015, 9, e0004105. [Google Scholar] [CrossRef]
- Ashford, D.A.; Bragg, S.L.; Plikaytis, B.; Perkins, B.A.; Kaiser, R.M.; Weyant, R.S.; Spiegel, R.A.; Amador, J.J.; Jarquin, C.; De Lose Reyes, J.O. Asymptomatic infection and risk factors for leptospirosis in Nicaragua. Am. J. Trop. Med. Hyg. 2000, 63, 249–254. [Google Scholar] [CrossRef] [PubMed]
- Ganoza, C.; Matthias, M.A.; Saito, M.; Cespedes, M.; Gotuzzo, E.; Vinetz, J.M. Asymptomatic Renal Colonization of Humans in the Peruvian Amazon by Leptospira. PLoS Neglected Trop. Dis. 2010, 4, e612. [Google Scholar] [CrossRef]
- Sivasankari, K.; Shanmughapriya, S.; Natarajaseenivasan, K. Leptospiral renal colonization status in asymptomatic rural population of Tiruchirapalli district, Tamilnadu, India. Pathog. Glob. Health 2016, 110, 209–215. [Google Scholar] [CrossRef] [PubMed]
- Barragan, V.; Nieto, N.; Keim, P.; Pearson, T. Meta-analysis to estimate the load of Leptospira excreted in urine: Beyond rats as important sources of transmission in low-income rural communities. BMC Res. Notes 2017, 10, 71. [Google Scholar] [CrossRef] [PubMed]
- Fan, P.-C.; Chen, T.-H.; Lee, C.-C.; Tsai, T.-Y.; Chen, Y.-C.; Chang, C.-H. ADVANCIS Score Predicts Acute Kidney Injury After Percutaneous Coronary Intervention for Acute Coronary Syndrome. Int. J. Med Sci. 2018, 15, 528–535. [Google Scholar] [CrossRef]
- Lee, C.-C.; Chang, C.-H.; Chen, S.-W.; Fan, P.-C.; Chang, S.-W.; Chen, Y.-T.; Nan, Y.-Y.; Lin, P.-J.; Tsai, F.-C. Preoperative risk assessment improves biomarker detection for predicting acute kidney injury after cardiac surgery. PLoS ONE 2018, 13, e0203447. [Google Scholar] [CrossRef]
- Wald, R.; Quinn, R.R.; Luo, J.; Li, P.; Scales, D.C.; Mamdani, M.M.; Ray, J.G.; for the University of Toronto Acute Kidney Injury Research Group. Chronic Dialysis and Death Among Survivors of Acute Kidney Injury Requiring Dialysis. JAMA 2009, 302, 1179–1185. [Google Scholar] [CrossRef] [PubMed]
- Chawla, L.S.; Amdur, R.L.; Amodeo, S.; Kimmel, P.L.; Palant, C.E. The severity of acute kidney injury predicts progression to chronic kidney disease. Kidney Int. 2011, 79, 1361–1369. [Google Scholar] [CrossRef]
- Chang, C.-H.; Yang, C.-H.; Yang, H.-Y.; Chen, T.-H.; Lin, C.-Y.; Chang, S.-W.; Chen, Y.-T.; Hung, C.-C.; Fang, J.-T.; Yang, C.-W.; et al. Urinary Biomarkers Improve the Diagnosis of Intrinsic Acute Kidney Injury in Coronary Care Units. Medicine 2015, 94, e1703. [Google Scholar] [CrossRef]
- Yang, C.-H.; Chang, C.-H.; Chen, T.-H.; Fan, P.-C.; Chang, S.-W.; Chen, C.-C.; Chu, P.-H.; Chen, Y.-T.; Yang, H.-Y.; Yang, C.-W.; et al. Combination of Urinary Biomarkers Improves Early Detection of Acute Kidney Injury in Patients with Heart Failure. Circ. J. 2016, 80, 1017–1023. [Google Scholar] [CrossRef]
- Gamage, C.D.; Sarathkumara, Y.D. Chronic kidney disease of uncertain etiology in Sri Lanka: Are leptospirosis and Hantaviral infection likely causes? Med. Hypotheses 2016, 91, 16–19. [Google Scholar] [CrossRef]
- Carrillo-Larco, R.M.; Altez-Fernandez, C.; Acevedo-Rodriguez, J.G.; Ortiz-Acha, K.; Ugarte-Gil, C. Leptospirosis as a risk factor for chronic kidney disease: A systematic review of observational studies. PLoS Negl. Trop. Dis. 2019, 13, e0007458. [Google Scholar] [CrossRef] [PubMed]
- Yang, C.-W. Leptospirosis Renal Disease: Emerging Culprit of Chronic Kidney Disease Unknown Etiology. Nephron 2018, 138, 129–136. [Google Scholar] [CrossRef] [PubMed]
- Pan, H.-C.; Sun, C.-Y.; Huang, T.T.-M.; Huang, C.-T.; Tsao, C.-H.; Lai, C.-H.; Chen, Y.-M.; Wu, V.-C. Distinct Subtyping of Successful Weaning from Acute Kidney Injury Requiring Renal Replacement Therapy by Consensus Clustering in Critically Ill Patients. Biomedicines 2022, 10, 1628. [Google Scholar] [CrossRef] [PubMed]




| Variable | Total (n = 2145) | Non-AKI (n = 1702) | AKI (n = 366) | AKI + RRT (n = 77) | p |
|---|---|---|---|---|---|
| Age (years) | 49.0 ± 15.2 | 48.1 ± 15.1 | 51.6 ± 15.3 | 55.4 ± 14.9 | <0.001 |
| Male | 1497 | 1145 | 297 | 55 | <0.001 † |
| Risk factors for AKI | |||||
| Diabetes mellitus | 364 | 281 | 64 | 19 | 0.462 |
| Hypertension | 683 | 518 | 128 | 37 | 0.031 * |
| Hyperlipidemia | 512 | 403 | 85 | 24 | 0.952 |
| Gout | 405 | 304 | 82 | 19 | 0.028 † |
| PAOD | 85 | 64 | 16 | 5 | 0.471 |
| CAD | 325 | 253 | 52 | 20 | 0.91 * |
| Heart failure | 114 | 84 | 23 | 7 | 0.205 |
| Stroke | 181 | 137 | 34 | 10 | 0.319 |
| Medication | |||||
| ACEI/ARB | 276 | 200 | 60 | 16 | 0.007 † |
| Diuretics | 113 | 86 | 20 | 7 | 0.577 |
| OHA | 175 | 134 | 29 | 12 | 0.678 * |
| Insulin | 94 | 66 | 20 | 8 | 0.081 |
| NSAID | 322 | 264 | 51 | 7 | 0.322 |
| Variable | Total (n = 2145) | Non-AKI (n = 1702) | AKI (n = 366) | AKI + RRT (n = 77) |
|---|---|---|---|---|
| All-cause mortality | 182 | 119 | 46 | 17 |
| CKD | 282 | 119 | 127 | 36 |
| ESRD/Dialysis | 4 | 0 | 0 | 4 |
| HR (95% CI), p Value | ||||||
|---|---|---|---|---|---|---|
| AKI without RRT vs. Non−AKI | AKI with RRT vs. Non−AKI | AKI with RRT vs. AKI without RRT | ||||
| Outcomes/Model | HR (95% CI) | p | HR (95% CI) | p | HR (95% CI) | p |
| All-cause mortality | ||||||
| Unadjusted | 2.07 (1.48−2.92) | <0.001 | 3.69 (2.22−6.13) | <0.001 | 1.86 (1.06−3.25) | 0.0300 |
| Model 1 | 1.25 (0.88−1.79) | 0.2139 | 2.15 (1.26−3.68) | 0.0051 | 2.13 (1.15−3.96) | 0.0162 |
| Model 2 | 1.19 (0.83−1.72) | 0.3506 | 2.10 (1.21−3.65) | 0.0086 | 3.01 (1.53−5.93) | 0.0015 |
| Chronic kidney disease § | ||||||
| Unadjusted | 6.85 (5.33−8.81) | <0.001 | 10.56 (7.24−15.39) | <0.001 | 1.41 (0.97−2.05) | 0.0688 |
| Model 1 | 6.29 (4.86−8.15) | <0.001 | 7.79 (5.29−11.47) | <0.001 | 1.23 (0.83−1.81) | 0.2967 |
| Model 2 | 6.27 (4.83−8.13) | <0.001 | 8.46 (5.67−12.61) | <0.001 | 1.27 (0.85−1.90) | 0.2498 |
Publisher’s Note: MDPI stays neutral with regard to jurisdictional claims in published maps and institutional affiliations. |
© 2022 by the authors. Licensee MDPI, Basel, Switzerland. This article is an open access article distributed under the terms and conditions of the Creative Commons Attribution (CC BY) license (https://creativecommons.org/licenses/by/4.0/).
Share and Cite
Chang, C.-H.; Sun, W.-C.; Chang, S.-W.; Lee, C.-C.; Fan, P.-C.; Yang, H.-Y.; Yang, C.-W. Long-Term Outcome of Leptospirosis Infection with Acute Kidney Injury. Biomedicines 2022, 10, 2338. https://doi.org/10.3390/biomedicines10102338
Chang C-H, Sun W-C, Chang S-W, Lee C-C, Fan P-C, Yang H-Y, Yang C-W. Long-Term Outcome of Leptospirosis Infection with Acute Kidney Injury. Biomedicines. 2022; 10(10):2338. https://doi.org/10.3390/biomedicines10102338
Chicago/Turabian StyleChang, Chih-Hsiang, Wei-Chiao Sun, Su-Wei Chang, Cheng-Chia Lee, Pei-Chun Fan, Huang-Yu Yang, and Chih-Wei Yang. 2022. "Long-Term Outcome of Leptospirosis Infection with Acute Kidney Injury" Biomedicines 10, no. 10: 2338. https://doi.org/10.3390/biomedicines10102338
APA StyleChang, C.-H., Sun, W.-C., Chang, S.-W., Lee, C.-C., Fan, P.-C., Yang, H.-Y., & Yang, C.-W. (2022). Long-Term Outcome of Leptospirosis Infection with Acute Kidney Injury. Biomedicines, 10(10), 2338. https://doi.org/10.3390/biomedicines10102338

