MOS Sensors Array for the Discrimination of Lung Cancer and At-Risk Subjects with Exhaled Breath Analysis
Abstract
:1. Introduction
2. Materials and Methods
2.1. Gas Sensors
2.2. Electronic Nose
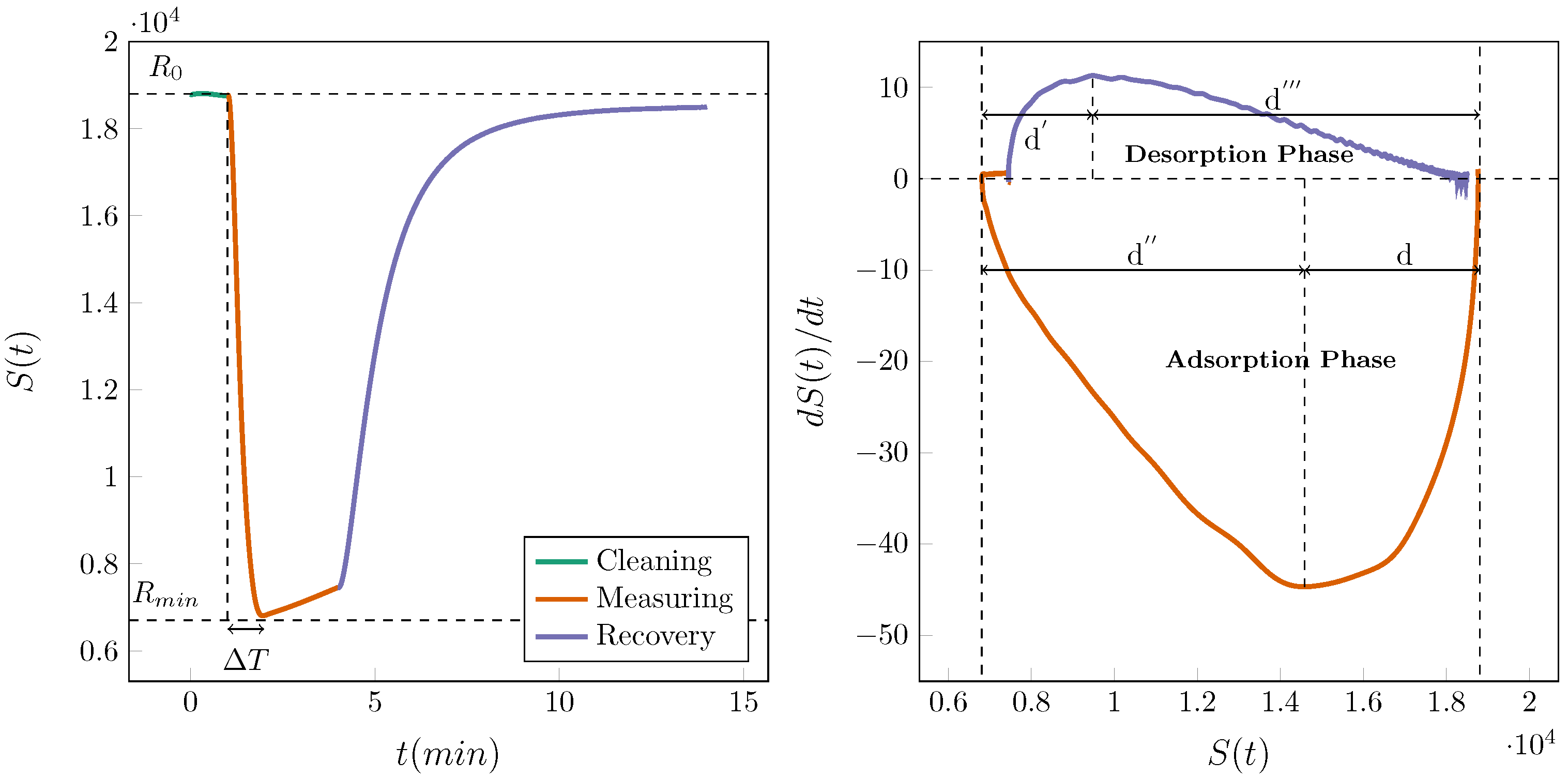
2.3. Data Pre-Processing and Feature Extraction
2.4. Classification Algorithms and Metrics
- Accuracy:
- Recall:
- Precision:
2.5. Exhaled Breath Collection
2.6. Exhaled Breath Analysis
- The Tedlar breath bag was connected to the electronic nose, and an analysis session was started from the host PC;
- During the cleaning phase, the gas sensors stabilize on a baseline value. A check on the standard deviation of the gas sensors response was performed, allowing for a maximum duration of this phase of 120 s;
- Upon completion of the cleaning phase, the environmental air valve was closed, and the Tedlar breath bag valve was opened, contemporary to the closing of the valve positioned at the outlet of the analysis chamber. Breath started to flow inside the chamber with a rate of 1 L/min. Once the breath bag was completely empty, all valves were closed;
- The gas sensors were exposed to the breath sample for a total of 180 s (measuring phase);
- After the measuring phase concluded, gas sensors were again exposed to environmental air until they approached the baseline value (recovery phase). The duration of this phase was set to a maximum of 10 min.
3. Results
3.1. Study Participants
3.2. Feature Distribution
3.3. Lung Cancer Classification
3.4. Lung Cancer Staging Recall Analysis
3.5. Time Dependency Analysis
4. Discussion
5. Conclusions
Author Contributions
Funding
Institutional Review Board Statement
Informed Consent Statement
Data Availability Statement
Conflicts of Interest
References
- Goldstraw, P.; Chansky, K.; Crowley, J.; Rami-Porta, R.; Asamura, H.; Eberhardt, W.E.E.; Nicholson, A.G.; Groome, P.; Mitchell, A.; Bolejack, V.; et al. The IASLC Lung Cancer Staging Project: Proposals for Revision of the TNM Stage Groupings in the Forthcoming (Eighth) Edition of the TNM Classification for Lung Cancer. J. Thorac. Oncol. Off. Publ. Int. Assoc. Study Lung Cancer 2016, 11, 39–51. [Google Scholar] [CrossRef] [Green Version]
- Ferlay, J.; Soerjomataram, I.; Dikshit, R.; Eser, S.; Mathers, C.; Rebelo, M.; Parkin, D.M.; Forman, D.; Bray, F. Cancer incidence and mortality worldwide: Sources, methods and major patterns in GLOBOCAN 2012. Int. J. Cancer 2015, 136, E359–E386. [Google Scholar] [CrossRef] [PubMed]
- The National Lung Screening Trial Research Team; Aberle, D.R.; Berg, C.D.; Black, W.C.; Church, T.R.; Fagerstrom, R.M.; Galen, B.; Gareen, I.F.; Gatsonis, C.; Goldin, J.; et al. The National Lung Screening Trial: Overview and study design. Radiology 2011, 258, 243–253. [Google Scholar] [CrossRef] [Green Version]
- The National Lung Screening Trial Research Team; Church, T.R.; Black, W.C.; Aberle, D.R.; Berg, C.D.; Clingan, K.L.; Duan, F.; Fagerstrom, R.M.; Gareen, I.F.; Gierada, D.S.; et al. Results of initial low-dose computed tomographic screening for lung cancer. N. Engl. J. Med. 2013, 368, 1980–1991. [Google Scholar] [CrossRef] [Green Version]
- Christensen, J.D.; Tong, B.C. Computed tomography screening for lung cancer: Where are we now? North Carol. Med J. 2013, 74, 406–410. [Google Scholar] [CrossRef]
- Black, W.C.; Gareen, I.F.; Soneji, S.S.; Sicks, J.D.; Keeler, E.B.; Aberle, D.R.; Naeim, A.; Church, T.R.; Silvestri, G.A.; Gorelick, J.; et al. Cost-effectiveness of CT screening in the National Lung Screening Trial. N. Engl. J. Med. 2014, 371, 1793–1802. [Google Scholar] [CrossRef] [Green Version]
- Hasan, N.; Kumar, R.; Kavuru, M.S. Lung cancer screening beyond low-dose computed tomography: The role of novel biomarkers. Lung 2014, 192, 639–648. [Google Scholar] [CrossRef]
- Pauling, L.; Robinson, A.B.; Teranishi, R.; Cary, P. Quantitative analysis of urine vapor and breath by gas-liquid partition chromatography. Proc. Natl. Acad. Sci. USA 1971, 68, 2374–2376. [Google Scholar] [CrossRef] [Green Version]
- Marzorati, D.; Mainardi, L.; Sedda, G.; Gasparri, R.; Spaggiari, L.; Cerveri, P. A Review of Exhaled Breath: A Key Role in Lung Cancer Diagnosis. J. Breath Res. 2019, 13, 034001. [Google Scholar] [CrossRef]
- Zhou, J.; Huang, Z.A.; Kumar, U.; Chen, D.D. Review of recent developments in determining volatile organic compounds in exhaled breath as biomarkers for lung cancer diagnosis. Anal. Chim. Acta 2017, 996, 1–9. [Google Scholar] [CrossRef]
- Phillips, M.; Herrera, J.; Krishnan, S.; Zain, M.; Greenberg, J.; Cataneo, R.N. Variation in volatile organic compounds in the breath of normal humans. J. Chromatogr. B Biomed. Sci. Appl. 1999, 729, 75–88. [Google Scholar] [CrossRef]
- Schallschmidt, K.; Becker, R.; Jung, C.; Bremser, W.; Walles, T.; Neudecker, J.; Leschber, G.; Frese, S.; Nehls, I. Comparison of volatile organic compounds from lung cancer patients and healthy controls-challenges and limitations of an observational study. J. Breath Res. 2016, 10, 046007. [Google Scholar] [CrossRef] [PubMed]
- Ligor, T.; Pater, L.; Buszewski, B. Application of an artificial neural network model for selection of potential lung cancer biomarkers. J. Breath Res. 2015, 9, 027106. [Google Scholar] [CrossRef]
- Phillips, M.; Altorki, N.; Austin, J.H.M.; Cameron, R.B.; Cataneo, R.N.; Greenberg, J.; Kloss, R.; Maxfield, R.A.; Munawar, M.I.; Pass, H.I.; et al. Prediction of lung cancer using volatile biomarkers in breath. Cancer Biomark. Sect. A Dis. Markers 2007, 3, 95–109. [Google Scholar] [CrossRef]
- Pepe, M.S.; Etzioni, R.; Feng, Z.; Potter, J.D.; Thompson, M.L.; Thornquist, M.; Winget, M.; Yasui, Y. Phases of biomarker development for early detection of cancer. J. Natl. Cancer Inst. 2001, 93, 1054–1061. [Google Scholar] [CrossRef] [PubMed] [Green Version]
- Zhong, X.; Li, D.; Du, W.; Yan, M.; Wang, Y.; Huo, D.; Hou, C. Rapid recognition of volatile organic compounds with colorimetric sensor arrays for lung cancer screening. Anal. Bioanal. Chem. 2018, 410, 3671–3681. [Google Scholar] [CrossRef] [PubMed]
- Mazzone, P.J.; Hammel, J.; Dweik, R.; Na, J.; Czich, C.; Laskowski, D.; Mekhail, T. Diagnosis of lung cancer by the analysis of exhaled breath with a colorimetric sensor array. Thorax 2007, 62, 565–568. [Google Scholar] [CrossRef] [Green Version]
- Tirzïte, M.; Bukovskis, M.; Strazda, G.; Jurka, N.; Taivans, I. Detection of lung cancer with electronic nose and logistic regression analysis. J. Breath Res. 2018, 13, 016006. [Google Scholar] [CrossRef] [Green Version]
- Chang, J.E.; Lee, D.S.; Ban, S.W.; Oh, J.; Jung, M.Y.; Kim, S.H.; Park, S.; Persaud, K.; Jheon, S. Analysis of volatile organic compounds in exhaled breath for lung cancer diagnosis using a sensor system. Sens. Actuators B Chem. 2018, 255, 800–807. [Google Scholar] [CrossRef]
- Gregis, G.; Sanchez, J.B.; Bezverkhyy, I.; Guy, W.; Berger, F.; Fierro, V.; Bellat, J.P.; Celzard, A. Detection and quantification of lung cancer biomarkers by a micro-analytical device using a single metal oxide-based gas sensor. Sens. Actuators B Chem. 2018, 255, 391–400. [Google Scholar] [CrossRef]
- Li, W.; Liu, H.; Xie, D.; He, Z.; Pi, X. Lung Cancer Screening Based on Type-different Sensor Arrays. Sci. Rep. 2017, 7. [Google Scholar] [CrossRef]
- Becker, R. Non-invasive cancer detection using volatile biomarkers: Is urine superior to breath? Med. Hypotheses 2020, 143, 110060. [Google Scholar] [CrossRef]
- Beauchamp, J.; Herbig, J.; Gutmann, R.; Hansel, A. On the use of Tedlar® bags for breath-gas sampling and analysis. J. Breath Res. 2008, 2, 046001. [Google Scholar] [CrossRef] [PubMed]
- Buszewski, B.; Ulanowska, A.; Ligor, T.; Denderz, N.; Amann, A. Analysis of exhaled breath from smokers, passive smokers and non-smokers by solid-phase microextraction gas chromatography/mass spectrometry. Biomed. Chromatogr. BMC 2009, 23, 551–556. [Google Scholar] [CrossRef]
- Filipiak, W.; Ruzsanyi, V.; Mochalski, P.; Filipiak, A.; Bajtarevic, A.; Ager, C.; Denz, H.; Hilbe, W.; Jamnig, H.; Hackl, M.; et al. Dependence of exhaled breath composition on exogenous factors, smoking habits and exposure to air pollutants. J. Breath Res. 2012, 6, 036008. [Google Scholar] [CrossRef] [Green Version]
- Wilson, A.D.; Baietto, M. Applications and advances in electronic-nose technologies. Sensors 2009, 9, 5099–5148. [Google Scholar] [CrossRef]
- Saruhan, B.; Fomekong, R.L.; Nahirniak, S. Review: Influences of Semiconductor Metal Oxide Properties on Gas Sensing Characteristics. Front. Sens. 2021, 2. [Google Scholar] [CrossRef]
- Wang, C.; Yin, L.; Zhang, L.; Xiang, D.; Gao, R. Metal oxide gas sensors: Sensitivity and influencing factors. Sensors 2010, 10, 2088–2106. [Google Scholar] [CrossRef] [Green Version]
- Kou, L.; Zhang, D.; Liu, D. A Novel Medical E-Nose Signal Analysis System. Sensors 2017, 17, 402. [Google Scholar] [CrossRef] [Green Version]
- Blatt, R.; Bonarini, A.; Calabro, E.; Torre, M.D.; Matteucci, M.; Pastorino, U. Lung Cancer Identification by an Electronic Nose based on an Array of MOS Sensors. In Proceedings of the 2007 International Joint Conference on Neural Networks, Orlando, FL, USA, 12–17 August 2007. [Google Scholar] [CrossRef]
- Vergara, A.; Llobet, E.; Martinelli, E.; Di Natale, C.; D’Amico, A.; Correig, X. Feature extraction of metal oxide gas sensors using dynamic moments. Sens. Actuators B Chem. 2007, 122, 219–226. [Google Scholar] [CrossRef]
- Zhang, S.; Xie, C.; Hu, M.; Li, H.; Bai, Z.; Zeng, D. An entire feature extraction method of metal oxide gas sensors. Sens. Actuators B Chem. 2008, 132, 81–89. [Google Scholar] [CrossRef]
- Cavallari, M.R.; Braga, G.S.; da Silva, M.F.P.; Izquierdo, J.E.E.; Paterno, L.G.; Dirani, E.A.T.; Kymissis, I.; Fonseca, F.J. A Hybrid Electronic Nose and Tongue for the Detection of Ketones: Improved Sensor Orthogonality Using Graphene Oxide-Based Detectors. IEEE Sens. J. 2017, 17, 1971–1980. [Google Scholar] [CrossRef]
- Paulsson, N.; Larsson, E.; Winquist, F. Extraction and selection of parameters for evaluation of breath alcohol measurement with an electronic nose. Sens. Actuators A Phys. 2000, 84, 187–197. [Google Scholar] [CrossRef]
- Yan, K.; Zhang, D. Blood glucose prediction by breath analysis system with feature selection and model fusion. In Proceedings of the 2014 36th Annual International Conference of the IEEE Engineering in Medicine and Biology Society, Chicago, IL, USA, 26–30 August 2014; Volume 2014, pp. 6406–6409. [Google Scholar] [CrossRef]
- Tirzīte, M.; Bukovskis, M.; Strazda, G.; Jurka, N.; Taivans, I. Detection of lung cancer in exhaled breath with an electronic nose using support vector machine analysis. J. Breath Res. 2017, 11, 036009. [Google Scholar] [CrossRef]
- Liu, L.; Li, W.; He, Z.; Chen, W.; Liu, H.; Chen, K.; Pi, X. Detection of lung cancer with electronic nose using a novel ensemble learning framework. J. Breath Res. 2021, 15, 026014. [Google Scholar] [CrossRef]
- Metz, C.E. Basic principles of ROC analysis. In Seminars in Nuclear Medicine; Elsevier: Amsterdam, The Netherlands, 1978; Volume 8, pp. 283–298. [Google Scholar]
- Gasparri, R.; Santonico, M.; Valentini, C.; Sedda, G.; Borri, A.; Petrella, F.; Maisonneuve, P.; Pennazza, G.; D’Amico, A.; Natale, C.D.; et al. Volatile Signature for the Early Diagnosis of Lung Cancer. J. Breath Res. 2016, 10, 016007. [Google Scholar] [CrossRef]
- Ulanowska, A.; Kowalkowski, T.; Trawińska, E.; Buszewski, B. The application of statistical methods using VOCs to identify patients with lung cancer. J. Breath Res. 2011, 5, 046008. [Google Scholar] [CrossRef]
- Chen, Q.; Chen, Z.; Liu, D.; He, Z.; Wu, J. Constructing an E-Nose Using Metal-Ion-Induced Assembly of Graphene Oxide for Diagnosis of Lung Cancer via Exhaled Breath. ACS Appl. Mater. Interfaces 2020, 12, 17713–17724. [Google Scholar] [CrossRef] [PubMed]
- Kononov, A.; Korotetsky, B.; Jahatspanian, I.; Gubal, A.; Vasiliev, A.; Arsenjev, A.; Nefedov, A.; Barchuk, A.; Gorbunov, I.; Kozyrev, K.; et al. Online breath analysis using metal oxide semiconductor sensors (electronic nose) for diagnosis of lung cancer. J. Breath Res. 2019, 14, 016004. [Google Scholar] [CrossRef]
- Rao, V.K.; Teradal, N.L.; Jelinek, R. Polydiacetylene Capacitive Artificial Nose. ACS Appl. Mater. Interfaces 2019, 11, 4470–4479. [Google Scholar] [CrossRef]
- Filipiak, W.; Filipiak, A.; Sponring, A.; Schmid, T.; Zelger, B.; Ager, C.; Klodzinska, E.; Denz, H.; Pizzini, A.; Lucciarini, P.; et al. Comparative analyses of volatile organic compounds (VOCs) from patients, tumors and transformed cell lines for the validation of lung cancer-derived breath markers. J. Breath Res. 2014, 8, 027111. [Google Scholar] [CrossRef] [PubMed]
- Horváth, I.; Lázár, Z.; Gyulai, N.; Kollai, M.; Losonczy, G. Exhaled biomarkers in lung cancer. Eur. Respir. J. 2009, 34, 261–275. [Google Scholar] [CrossRef]
- Mazzone, P.J.; Wang, X.F.; Xu, Y.; Mekhail, T.; Beukemann, M.C.; Na, J.; Kemling, J.W.; Suslick, K.S.; Sasidhar, M. Exhaled Breath Analysis with a Colorimetric Sensor Array for the Identification and Characterization of Lung Cancer. J. Thorac. Oncol. 2012, 7, 137–142. [Google Scholar] [CrossRef] [PubMed] [Green Version]
- Kort, S.; Brusse-Keizer, M.; Schouwink, H.; Gerritsen, J.W.; de Jongh, F.; van der Palen, J. Detection of non-small cell lung cancer by an electronic nose. In Lung Cancer; European Respiratory Society: Lausanne, Switzerland, 2017. [Google Scholar] [CrossRef]
- Nakhleh, M.K.; Amal, H.; Jeries, R.; Broza, Y.Y.; Aboud, M.; Gharra, A.; Ivgi, H.; Khatib, S.; Badarneh, S.; Har-Shai, L.; et al. Diagnosis and Classification of 17 Diseases from 1404 Subjects via Pattern Analysis of Exhaled Molecules. ACS Nano 2017, 11, 112–125. [Google Scholar] [CrossRef] [Green Version]
- Gasparri, R.; Romano, R.; Sedda, G.; Borri, A.; Petrella, F.; Galetta, D.; Casiraghi, M.; Spaggiari, L. Diagnostic biomarkers for lung cancer prevention. J. Breath Res. 2018, 12, 027111. [Google Scholar] [CrossRef] [PubMed] [Green Version]
- Montani, F.; Marzi, M.J.; Dezi, F.; Dama, E.; Carletti, R.M.; Bonizzi, G.; Bertolotti, R.; Bellomi, M.; Rampinelli, C.; Maisonneuve, P.; et al. miR-Test: A Blood Test for Lung Cancer Early Detection. JNCI J. Natl. Cancer Inst. 2015, 107. [Google Scholar] [CrossRef] [Green Version]
- Sun, Y.; Liu, S.; Qiao, Z.; Shang, Z.; Xia, Z.; Niu, X.; Qian, L.; Zhang, Y.; Fan, L.; Cao, C.X.; et al. Systematic comparison of exosomal proteomes from human saliva and serum for the detection of lung cancer. Anal. Chim. Acta 2017, 982, 84–95. [Google Scholar] [CrossRef]
- Zhang, C.; Leng, W.; Sun, C.; Lu, T.; Chen, Z.; Men, X.; Wang, Y.; Wang, G.; Zhen, B.; Qin, J. Urine Proteome Profiling Predicts Lung Cancer from Control Cases and Other Tumors. EBioMedicine 2018, 30, 120–128. [Google Scholar] [CrossRef] [PubMed] [Green Version]







| Sensor | Sensitive Organic Compounds |
|---|---|
| TGS822 | Organic Solvent Vapors (Ethanol, Acetone, Benzene, ...) |
| TGS2602 | Ethanol, Toluene |
| TGS2620 | Methane, Isobutene, Ethanol |
| TGS2600 | Alcohol, Benzene, Hexane |
| TGS2603 | Air contaminants (Trimethylamine, Ethanol, ...) |
| Feature | Value |
|---|---|
| Slope | |
| Ratio | |
| Area |
| Feature | Value |
|---|---|
| Age | Age of the subject (in years) |
| Gender | M/F |
| Smoking | Yes/No/Ex |
| Pack Years | Packs of cigarettes per day x Smoking Years |
| BMI | Weight/(Height × Height) |
| Hypertension | Yes/No |
| Diabetes | Yes/No |
| HCL | Yes/No |
| COPD | Yes/No |
| Obesity | Yes/No |
| Predicted Results | |||
|---|---|---|---|
| Positive | Negative | ||
| Real Results | Positive | TP | FN |
| Negative | FP | TN | |
| All (n = 80) | Control (n = 40) | LC (n = 40) | ||
|---|---|---|---|---|
| Gender | Male | 46 | 25 | 21 |
| Female | 34 | 15 | 19 | |
| Age | (Years) | 64 ± 8 | 62 ± 7 | 66 ± 8 |
| Height | (cm) | 169 ± 9 | 171 ± 10 | 167 ± 8 |
| Weight | (Kg) | 74 ± 15 | 76 ± 16 | 73 ± 14 |
| Smoking | Yes | 35 | 21 | 14 |
| Ex | 29 | 11 | 18 | |
| No | 16 | 8 | 8 | |
| Pack Years | 6–90 | 17.5–90 | 6–75 | |
| Comorbidities | Hypertension | 33 | 10 | 23 |
| Diabetes | 2 | - | 2 | |
| HCL | 8 | 2 | 6 | |
| COPD | 8 | 6 | 2 | |
| Obesity | 3 | - | 3 | |
| pTNM Staging | I | 20 | ||
| II | 11 | |||
| III | 4 |
| Algorithm | Feature Reduction | Re | Pr | Acc |
|---|---|---|---|---|
| SVM | Static + Dynamic PCA (n = 15) | 0.64 ± 0.31 | 0.54 ± 0.08 | 0.59 ± 0.10 |
| AdaBoost | Static + Dynamic PCA (n = 5) | 0.67 ± 0.28 | 0.64 ± 0.11 | 0.66 ± 0.14 |
| Algorithm | Feature Reduction | Re | Pr | Acc |
|---|---|---|---|---|
| SVM | Dynamic + Clinical − | 0.78 ± 0.21 | 0.80 ± 0.12 | 0.77 ± 0.04 |
| AdaBoost | Static + Clinical − | 0.69 ± 0.31 | 0.79 ± 0.19 | 0.72 ± 0.14 |
| Algorithm | Feature Reduction | Recall | |
|---|---|---|---|
| SVM | Dynamic + Clinical | Stage I | 0.78 (0.60–0.93) |
| Stage II–III | 0.71 (0.53–0.94) | ||
| AdaBoost | Static + Clinical | Stage I | 0.72 (0.50–0.86) |
| Stage II–III | 0.57 (0.33–0.79) |
| Model | Threshold (hours) | ||||
|---|---|---|---|---|---|
| ≤4.5 | >4.5 | ||||
| LC (24) | Control (16) | LC (16) | Control (24) | ||
| SVM | Re | 0.78 (0.58–0.93) | 0.75 (0.48–0.93) | 0.77 (0.48–0.93) | 0.78 (0.58–0.93) |
| Acc | 0.77 (0.62–0.89) | 0.78 (0.62–0.89) | |||
| AdaBoost | Re | 0.65 (0.45–0.84) | 0.69 (0.41–0.89) | 0.69 (0.41–0.89) | 0.65 (0.48–0.93) |
| Acc | 0.67 (0.51–0.81) | 0.67 (0.51–0.81) | |||
| Sensors | Sample Size | Recall | Accuracy | |
|---|---|---|---|---|
| [30] | MOS | 81 (58/23) | 0.97 | 0.93 |
| [39] | QMB | 146 (76/70) | 0.81 | – |
| [21] | Type-Different | 52 (28/24) | 0.92 | 0.92 |
| [29] | MOS | 1667 (1291/376) | 0.71 | 0.71 |
| [19] | MOS | 85 (48/37) | 0.79 | 0.75 |
| [18] | Cyranose 320 | 475 (252/223) | 0.96 | 0.91 |
| [42] | MOS | 118 (53/65) | 0.95 | 0.97 |
| [41] | Custom | 106 (58/48) | 0.96 | – |
| [37] | Type-Different | 214 (116/98) | 0.95 | 0.96 |
| This study | MOS | 80 (40/40) | 0.78 | 0.77 |
| Interpretable | Solvable | |
|---|---|---|
| Tedlar Bags Cleaning | Bag cleaning should be carried out before breath sampling to remove unwanted VOCs [23]. | Yes, but consensus must be reached across researchers to determine a common strategy for bag cleaning. |
| Sensor Washout | MOS Sensors should always have the same baseline value when analyzing different samples. | Not easy. Environmental conditions and sensor drift could cause sensor baseline changes over time. |
| Sensor A-Specificity | Commercial MOS Sensors are a-specific and targeted to generic VOC mixture detection. Difficult to determine the presence of a specific substance in the sample under analysis. | Not easy. One possibility is offered by the integration of commercial MOS sensors with custom sensors targeted to specific substances in the same electronic nose [43]. |
| VOCs Concentration | VOCs in exhaled breath could have concentration as low as in the parts per billion range. | Yes. Pre-concentration techniques with sample absorption/desorption could help in increasing detection capabilities [19]. |
Publisher’s Note: MDPI stays neutral with regard to jurisdictional claims in published maps and institutional affiliations. |
© 2021 by the authors. Licensee MDPI, Basel, Switzerland. This article is an open access article distributed under the terms and conditions of the Creative Commons Attribution (CC BY) license (https://creativecommons.org/licenses/by/4.0/).
Share and Cite
Marzorati, D.; Mainardi, L.; Sedda, G.; Gasparri, R.; Spaggiari, L.; Cerveri, P. MOS Sensors Array for the Discrimination of Lung Cancer and At-Risk Subjects with Exhaled Breath Analysis. Chemosensors 2021, 9, 209. https://doi.org/10.3390/chemosensors9080209
Marzorati D, Mainardi L, Sedda G, Gasparri R, Spaggiari L, Cerveri P. MOS Sensors Array for the Discrimination of Lung Cancer and At-Risk Subjects with Exhaled Breath Analysis. Chemosensors. 2021; 9(8):209. https://doi.org/10.3390/chemosensors9080209
Chicago/Turabian StyleMarzorati, Davide, Luca Mainardi, Giulia Sedda, Roberto Gasparri, Lorenzo Spaggiari, and Pietro Cerveri. 2021. "MOS Sensors Array for the Discrimination of Lung Cancer and At-Risk Subjects with Exhaled Breath Analysis" Chemosensors 9, no. 8: 209. https://doi.org/10.3390/chemosensors9080209
APA StyleMarzorati, D., Mainardi, L., Sedda, G., Gasparri, R., Spaggiari, L., & Cerveri, P. (2021). MOS Sensors Array for the Discrimination of Lung Cancer and At-Risk Subjects with Exhaled Breath Analysis. Chemosensors, 9(8), 209. https://doi.org/10.3390/chemosensors9080209

