Voltammetric Study of the Total Activity of Antioxidants in the Blood Serum of Patients with Neurological Diseases
Abstract
1. Introduction
2. Materials and Methods
2.1. Apparatus
2.2. Voltametric Measurement
2.3. Preparation of New Electrochemical Sensor
- (1)
- The surface of the electrode is treated with nitric acid to remove organic and inorganic contaminants, washed with distilled water, and dried. Cobalt phthalocyanine is applied to the electrode by means of adsorption forces from a saturated solution of this metal complex in sulfuric acid (2 M). The acid is removed by short-term immersion of the working electrode surface in the distilled water. The electrode is dried in a thermostatically controlled cabinet at a temperature not exceeding 100 °C. After that, the modified electrodes were stored in air at room temperature in dark place prior to use.
- (2)
- For modification, a solution with a concentration of cobalt phthalocyanine of 1.0 × 10−1 M, dissolved in sulfuric acid, was used. The electrolysis was carried out at a potential of −0.1 V, and the electrolysis time was 30 min.
- (3)
- The modifier is added to the cell at a concentration of 1.0 × 10−4 M, where it is in free form.
2.4. Collection of Serum Samples and Patients Characteristic
- 13 patients received Cavinton Comfort 30 mg daily for 2 months.
- 13 patients received injections of Mexidol 500 mg intramuscularly for 10 days on an outpatient basis.
- 9 patients took Mexidol 375 mg orally per day for a month.
- 12 patients took Cytoflavin orally at 1520 mg per day for a month.
3. Results and Discussion
3.1. Influence of the Method of Immobilization of the Modifier on Signal Stability
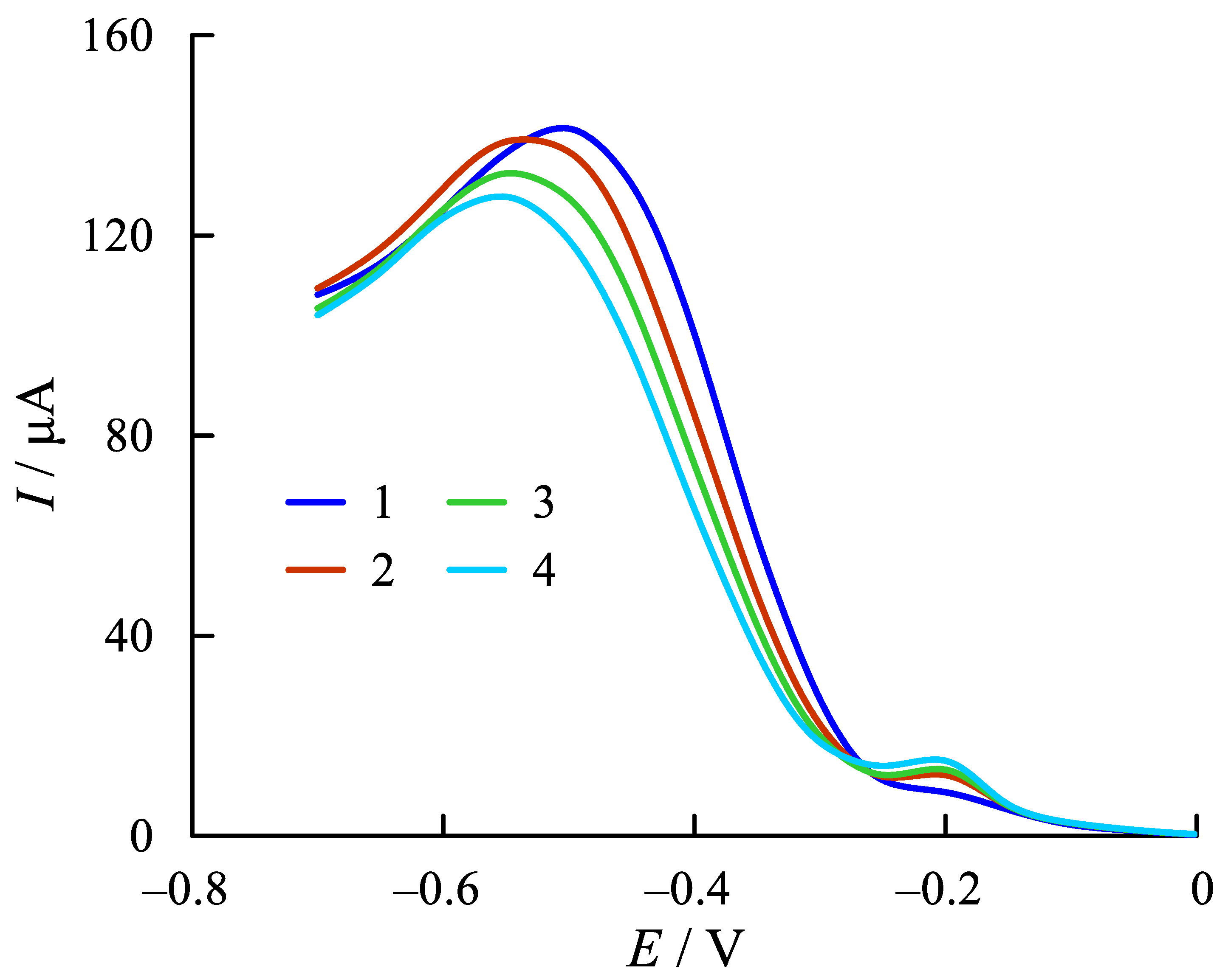
3.2. Effect of the Nature of the Electrode on Signal Stability
3.3. Investigate the Total Antioxidant Activity of Human Serum Blood
3.3.1. Evaluation of the Effect of the Drug “Cavinton Comfort”
3.3.2. Mexidol
3.3.3. Cytoflavin
4. Conclusions
Author Contributions
Funding
Institutional Review Board Statement
Informed Consent Statement
Data Availability Statement
Conflicts of Interest
References
- Kirchner, E.M.; Hirsch, T. Recent developments in carbon-based two-dimensional materials: Synthesis and modification aspects for electrochemical sensors. Microchim. Acta 2020, 187, 1–21. [Google Scholar] [CrossRef]
- Ghalkhani, M.; Ghorbani-Bidkorbeh, F. Development of Carbon Nanostructured Based Electrochemical Sensors for Pharmaceutical Analysis. Iran. J. Pharm. Res. 2019, 18, 658. [Google Scholar]
- Coroş, M.; Pruneanu, S.; Stefan-van Staden, R.I. Recent Progress in the Graphene-Based Electrochemical Sensors and Biosensors. J. Electrochem. Soc. 2019, 167, 037528. [Google Scholar] [CrossRef]
- Naveen, M.H.; Gurudatt, N.G.; Shim, Y.B. Applications of conducting polymer composites to electrochemical sensors: A review. Appl. Mater. Today 2017, 9, 419–433. [Google Scholar] [CrossRef]
- Teselkin, J.O.; Babenkova, I.V.; Lyubitsky, O.B.; Klebanov, G.I.; Vladimirov, Y.A. Inhibition of luminol oxidation by serum antioxidants in presence of hydrogen peroxide and hemoglobin. Probl. Med. Chem. 1997, 43, 87–93. [Google Scholar]
- Gumus, S.; Yucel, O.; Gamsizkan, M.; Eken, A.; Deniz, O.; Tozkoparan, E.; Genc, O.; Bilgic, H. The role of oxidative stress and effect of alpha-lipoic acid in reexpansion pulmonary edema—An experimental study. Arch. Med. Sci. 2010, 6, 848. [Google Scholar] [CrossRef]
- Tomic, S.; Brkic, S.; Maric, D.; Mikic, A.N. Lipid and protein oxidation in female patients with chronic fatigue syndrome. Arch. Med. Sci. 2012, 8, 886. [Google Scholar] [CrossRef] [PubMed]
- Lutfi Yola, M.; Atar, N. A review: Molecularly imprinted electrochemical sensors for determination of biomolecules/drug. Curr. Anal. Chem. 2017, 13, 13–17. [Google Scholar] [CrossRef]
- Hanssen, B.L.; Siraj, S.; Wong, D.K. Recent strategies to minimise fouling in electrochemical detection systems. Rev. Anal. Chem. 2016, 35, 1–28. [Google Scholar] [CrossRef]
- Lipskikh, O.I.; Korotkova, E.I.; Khristunova, Y.P.; Barek, J.; Kratochvil, B. Sensors for voltammetric determination of food azodyes—A critical review. Electrochim. Acta 2018, 260, 974–985. [Google Scholar] [CrossRef]
- Jaegfeld, H.; Kuwana, T.; Jochansson, G. Electrochemical stability of catechols with a pyrene side chain strongly adsorbed on graphite electrodes for catalytic oxidation of dihydronicotinamide adenine dinucleotide. J. Am. Chem. Soc. 1983, 105, 1805–1814. [Google Scholar] [CrossRef]
- Collman, J.P.; Denisevich, P.; Konai, Y.; Marrocco, M.; Koval, C.; Anson, F.C. Electrode catalysis of the four-electron reduction of oxygen to water by dicobalt face-to-face porphyrins. J. Am. Chem. Soc. 1980, 102, 6027–6036. [Google Scholar] [CrossRef]
- Zagal, J.; Sen, R.K.; Yeager, E. The electrocatalysis of molecular oxygen reduction. J. Inorg. Chem. 1977, 16, 3379–3380. [Google Scholar]
- Korotkova, E.I.; Boev, A.S.; Bakibaev, A.A. New voltammetric sensor with phthalocyanine Co for the B6 vitamin determination in food additives. In Book of Abstracts, Proceedings of the International Symposium on Recent Advances in Food Analysis, Prague, Czech Republic, 2–4 November 2005, 2nd ed.; University of Chemistry and Technology: Prague, Czech Republic, 2005; p. 71. [Google Scholar]
- Korotkova, E.I.; Freinbichler, W.; Linert, W.; Dorozhko, E.V.; Bukkel, M.V.; Plotnikov, E.V.; Voronova, O.A. Study of total antioxidant activity of human serum blood in the pathology of alcoholism. Molecules 2013, 18, 1811–1818. [Google Scholar] [CrossRef] [PubMed]
- Korotkova, E.I.; Misini, B.; Dorozhko, E.V.; Bukkel, M.V.; Plotnikov, E.V.; Linert, W. Study of OH● radicals in human serum blood of healthy individuals and those with pathological schizophrenia. Int. J. Mol. Sci. 2011, 12, 401–409. [Google Scholar] [CrossRef]
- Plotnikov, E.; Korotkova, E.; Voronova, O.; Sazhina, N.; Petrova, E.; Artamonov, A.; Chernyavskaya, L.; Dorozhko, E. Comparative investigation of antioxidant activity of human serum blood by amperometric, voltammetric and chemiluminescent methods. Arch. Med. Sci. 2016, 12, 1071–1076. [Google Scholar] [CrossRef]
- Bartos, G. Total antioxidant capacity. Adv. Clin. Chem. 2003, 37, 219–292. [Google Scholar]
- Shalaby, E.A.; Shanab, S.M.M. Antioxidant compounds, assays of determination and mode of action. Afr. J. Pharm. Pharmacol. 2013, 7, 528–539. [Google Scholar] [CrossRef]
- Plotnikov, E.; Voronova, O.; Linert, W.; Martemianov, D.; Korotkova, E.; Dorozhko, E.; Astashkina, A.; Martemianova, I.; Ivanova, S.; Bokhan, N. Antioxidant and Immunotropic Properties of some Lithium Salts. J. Appl. Pharm. Sci. 2016, 6, 86–89. [Google Scholar] [CrossRef]
- Kataeva, N.G.; Zamoshchina, T.A.; Svetlik, M.V. Effectiveness and safety of mexidol forte 250 in the sequential therapy in patients with chronic ischemia. Zhurnal Nevrol. Psikhiatrii Im. S.S. Korsakova 2020, 120, 59–63. [Google Scholar] [CrossRef]
- Chukanova, E.I.; Chukanova, A.S. Efficacy and safety of the drug mexidol FORTE 250 as part of sequential therapy in patients with chronic ischemia of the brain. Zhurnal Nevrol. Psikhiatrii Im. S.S. Korsakova 2019, 119, 39–45. [Google Scholar] [CrossRef] [PubMed]
- Antipenko, E.A.; Deruginf, A.V.; Gustov, A.V. The system stress-limiting action of mexidol in chronic cerebral ischemia. Zhurnal Nevrol. Psikhiatrii Im. S.S. Korsakova 2020, 116, 28–31. [Google Scholar] [CrossRef]
- Rumyantseva, S.A.; Kovalenko, A.L.; Silina, E.V.; Stupin, V.A.; Kabaeva, E.N.; Chichanovskaya, L.V.; Nazarov, M.V.; Tsukurova, L.A.; Burenichev, D.V.; Golikov, K.V.; et al. Efficacy of complex antioxidant energy correction of different durations in the treatment of cerebral infarction (results of a multicenter randomized study). Neurosci. Behav. Physiol. 2017, 47, 288–295. [Google Scholar] [CrossRef]
- Voronova, O.A.; Korotkova, E.I.; Plotnikov, E.V.; Gusakova, A.M.; Suslova, T.E.; Dorozhko, E.V.; Petrova, E.V.; Kustova, A.A. Enzyme-linked immunosorbent assay and voltammetric methods for total antioxidant activity determination of human plasma blood of cardiovascular disease. Fundam. Res. 2013, 3, 570–574. [Google Scholar]
- Plotnikov, E.; Korotkova, E.; Voronova, O.; Dorozhko, E.; Bohan, N.; Plotnikov, S. Lithium-based antioxidants: Electrochemical properties and influence on immune cells. Physiol. Pharmacol. 2015, 19, 107–113. [Google Scholar]






| K, μM min−1 | |||
|---|---|---|---|
| №. | Before Treatment | After 1 Month | After 2 Months |
| 1 | 0.49 ± 0.03 | 0.44 ± 0.05 | 0.45 ± 0.04 |
| 2 | 0.63 ± 0.02 | 0.79 ± 0.05 | 0.68 ± 0.03 |
| 3 | 0.43 ± 0.05 | 0.51 ± 0.06 | 0.55 ± 0.03 |
| 4 | 0.57 ± 0.07 | 0.52 ± 0.05 | 0.51 ± 0.05 |
| 5 | 0.62 ± 0.03 | 0.66 ± 0.05 | 0.64 ± 0.05 |
| 6 | 0.46 + 0.05 | 0.68 ± 0.03 | 0.62 ± 0.03 |
| 7 | 0.44 ± 0.04 | 0.68 ± 0.06 | 0.61 ± 0.05 |
| 8 | 0.44 ± 0.05 | 0.41 ± 0.03 | 0.38 ± 0.04 |
| 9 | 0.54 ± 0.03 | 0.80 ± 0.03 | – |
| 10 | 0.48 ± 0.03 | 0.54 ± 0.06 | 0.48 ± 0.03 |
| 11 | 0.73 ± 0.02 | 0.85 ± 0.04 | 0.86 ± 0.05 |
| 12 | 0.57 ± 0.01 | 0.54 ± 0.03 | 0.52 ± 0.05 |
| 13 | 0.64 ± 0.03 | 0.81 ± 0.03 | – |
| K, μM min−1 | ||
|---|---|---|
| №. | Before Treatment | After 10 Days |
| 1 | 0.49 ± 0.03 | 0.61 ± 0.04 |
| 2 | 0.63 ± 0.02 | 0.76 ± 0.04 |
| 3 | 0.43 ± 0.05 | 0.68 ± 0.05 |
| 4 | 0.57 ± 0.07 | 0.62 ± 0.03 |
| 5 | 0.62 ± 0.03 | 0.69 ± 0.05 |
| 6 | 0.46 ± 0.05 | 0.70 ± 0.03 |
| 7 | 0.44 ± 0.04 | 0.63 ± 0.03 |
| 8 | 1.01 ± 0.05 | 1.13 ± 0.05 |
| 9 | 0.52 ± 0.05 | 0.59 ± 0.05 |
| 10 | 0.95 ± 0.05 | 1.13 ± 0.05 |
| 11 | 0.45 ± 0.05 | 0.51 ± 0.05 |
| 12 | 0.46 ± 0.06 | 0.49 ± 0.04 |
| 13 | 0.38 ± 0.06 | 0.67 ± 0.05 |
| K, μM min−1 | ||
|---|---|---|
| №. | Before Treatment | After 1 Month |
| 1 | 0.16 ± 0.03 | 0.29 ± 0.05 |
| 2 | 0.28 ± 0.03 | 0.33 ± 0.05 |
| 3 | 0.29 ± 0.04 | 0.45 ± 0.03 |
| 4 | 0.23 ± 0.03 | 0.45 ± 0.04 |
| 5 | 0.19 ± 0.05 | 0.34 ± 0.04 |
| 6 | 0.36 ± 0.02 | 0.36 ± 0.04 |
| 7 | 0.18 ± 0.04 | 0.48 ± 0.03 |
| 8 | 0.29 ± 0.04 | 0.43 ± 0.05 |
| 9 | 0.18 ± 0.03 | 0.29 ± 0.05 |
| K, μM min−1 | ||
|---|---|---|
| №. | Before Treatment | After 1 Month |
| 1 | 0.16 ± 0.03 | 0.54 ± 0.04 |
| 2 | 0.28 ± 0.03 | 0.51 ± 0.04 |
| 3 | 0.29 ± 0.04 | 0.37 ± 0.02 |
| 4 | 0.35 ± 0.06 | 0.39 ± 0.03 |
| 5 | 0.23 ± 0.03 | 0.32 ± 0.05 |
| 6 | 0.19 ± 0.05 | 0.56 ± 0.04 |
| 7 | 0.36 ± 0.02 | 0.43 ± 0.03 |
| 8 | 0.18 ± 0.04 | 0.41 ± 0.03 |
| 9 | 0.29 ± 0.04 | 0.45 ± 0.04 |
| 10 | 0.34 ± 0.05 | 0.36 ± 0.02 |
| 11 | 0.26 ± 0.06 | 0.42 ± 0.03 |
| 12 | 0.18 ± 0.03 | 0.37 ± 0.04 |
Publisher’s Note: MDPI stays neutral with regard to jurisdictional claims in published maps and institutional affiliations. |
© 2021 by the authors. Licensee MDPI, Basel, Switzerland. This article is an open access article distributed under the terms and conditions of the Creative Commons Attribution (CC BY) license (https://creativecommons.org/licenses/by/4.0/).
Share and Cite
Voronova, O.A.; Korotkova, E.I.; Plotnikov, E.V.; Geraskevich, A.V.; Kataeva, N.G.; Dorozhko, E.V.; Gamayurova, I.S.; Lipskikh, O.I.; Derina, K.V. Voltammetric Study of the Total Activity of Antioxidants in the Blood Serum of Patients with Neurological Diseases. Chemosensors 2021, 9, 103. https://doi.org/10.3390/chemosensors9050103
Voronova OA, Korotkova EI, Plotnikov EV, Geraskevich AV, Kataeva NG, Dorozhko EV, Gamayurova IS, Lipskikh OI, Derina KV. Voltammetric Study of the Total Activity of Antioxidants in the Blood Serum of Patients with Neurological Diseases. Chemosensors. 2021; 9(5):103. https://doi.org/10.3390/chemosensors9050103
Chicago/Turabian StyleVoronova, Olesya A., Elena I. Korotkova, Evgenii V. Plotnikov, Alina V. Geraskevich, Nadegda G. Kataeva, Elena V. Dorozhko, Irina S. Gamayurova, Olga I. Lipskikh, and Ksenia V. Derina. 2021. "Voltammetric Study of the Total Activity of Antioxidants in the Blood Serum of Patients with Neurological Diseases" Chemosensors 9, no. 5: 103. https://doi.org/10.3390/chemosensors9050103
APA StyleVoronova, O. A., Korotkova, E. I., Plotnikov, E. V., Geraskevich, A. V., Kataeva, N. G., Dorozhko, E. V., Gamayurova, I. S., Lipskikh, O. I., & Derina, K. V. (2021). Voltammetric Study of the Total Activity of Antioxidants in the Blood Serum of Patients with Neurological Diseases. Chemosensors, 9(5), 103. https://doi.org/10.3390/chemosensors9050103

