Gold-Platinum Core-Shell Nanoparticles with Thiolated Polyaniline and Multi-Walled Carbon Nanotubes for the Simultaneous Voltammetric Determination of Six Drug Molecules
Abstract
1. Introduction
2. Materials and Methods
2.1. General Materials
2.2. Instrumentation
2.3. Synthesis of Gold-Core Platinium-Shell Nanoparticles (Au@Pt)
2.4. Preparation of Nanocomposite
2.5. Preparation of Nanocomposite-Modified GCE
2.6. Analyses with Commercial Products
3. Results and Discussion
3.1. Characterizaion of tPANI-MWCNT-Au@Pt Nanocomposite
3.2. Electrochemical Characterization of tPANI-Au@Pt-MWCNT Modified GCE
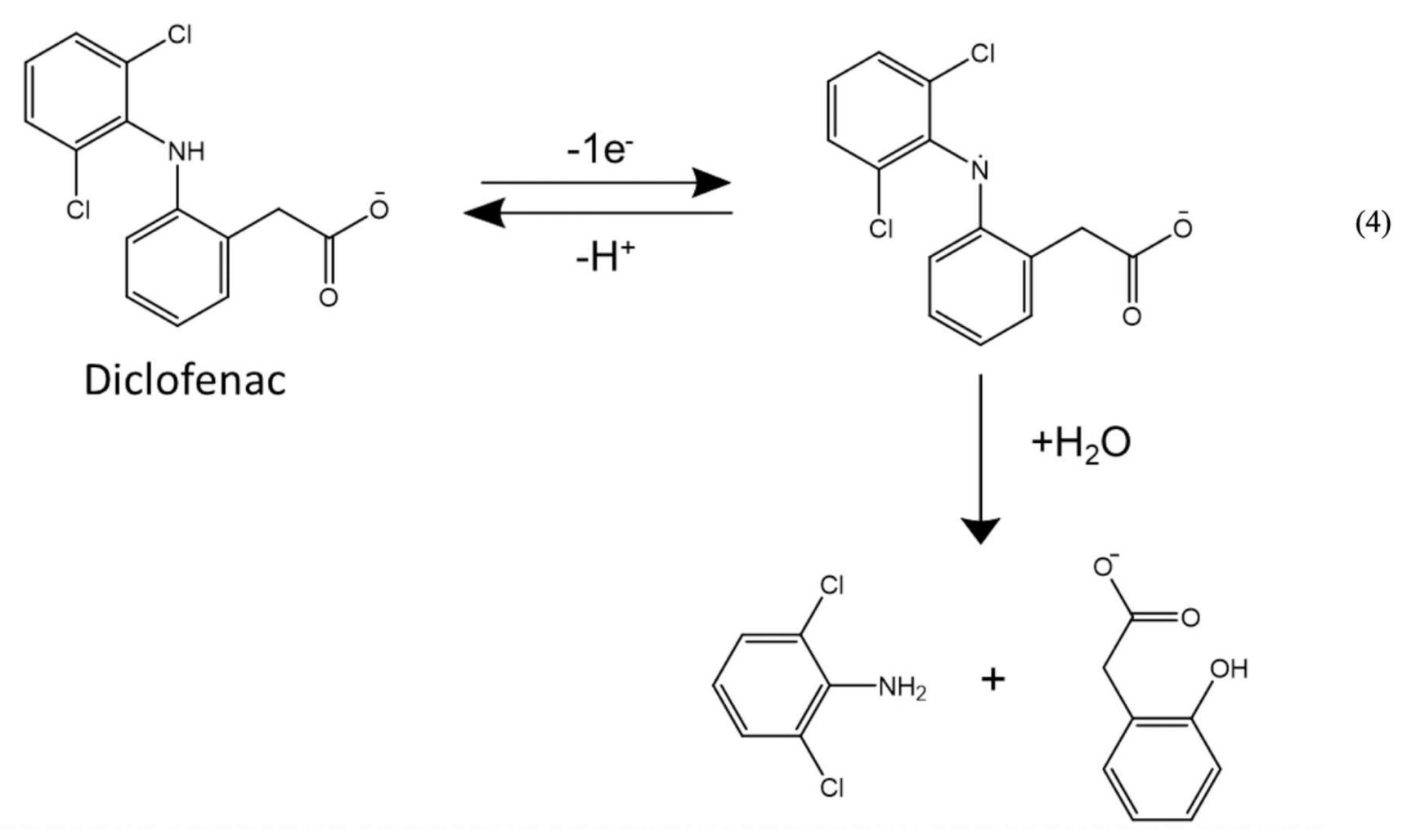
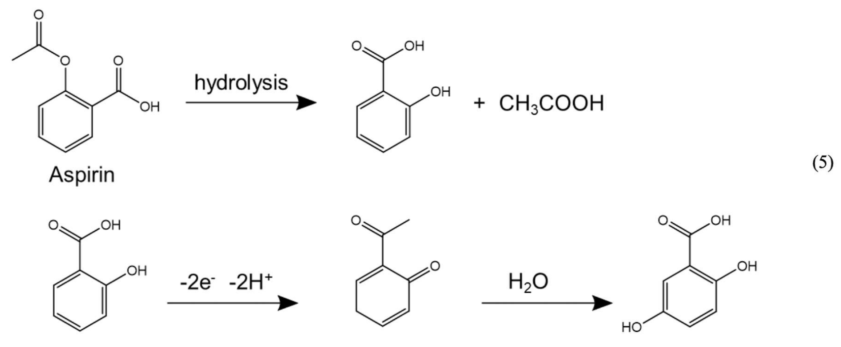
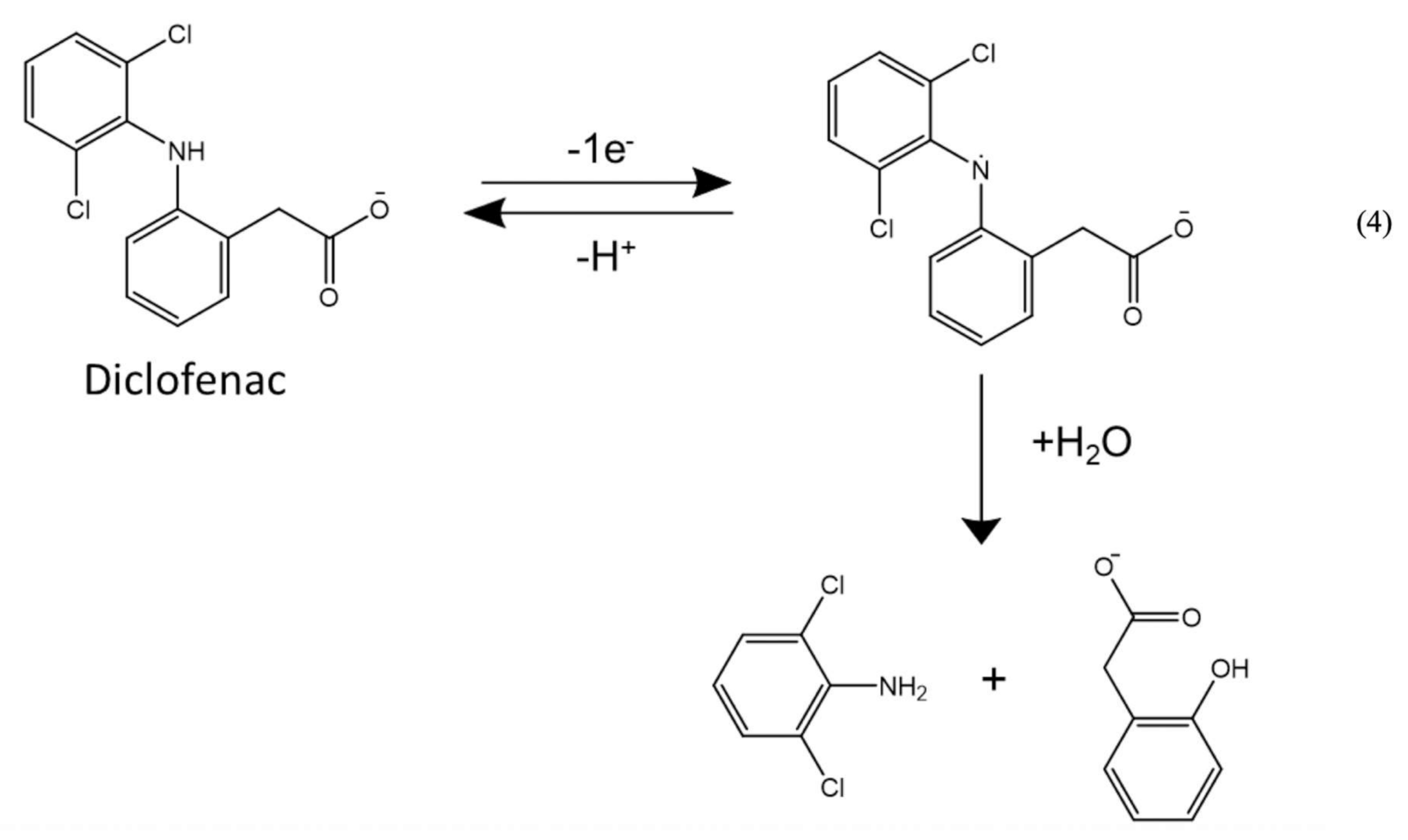
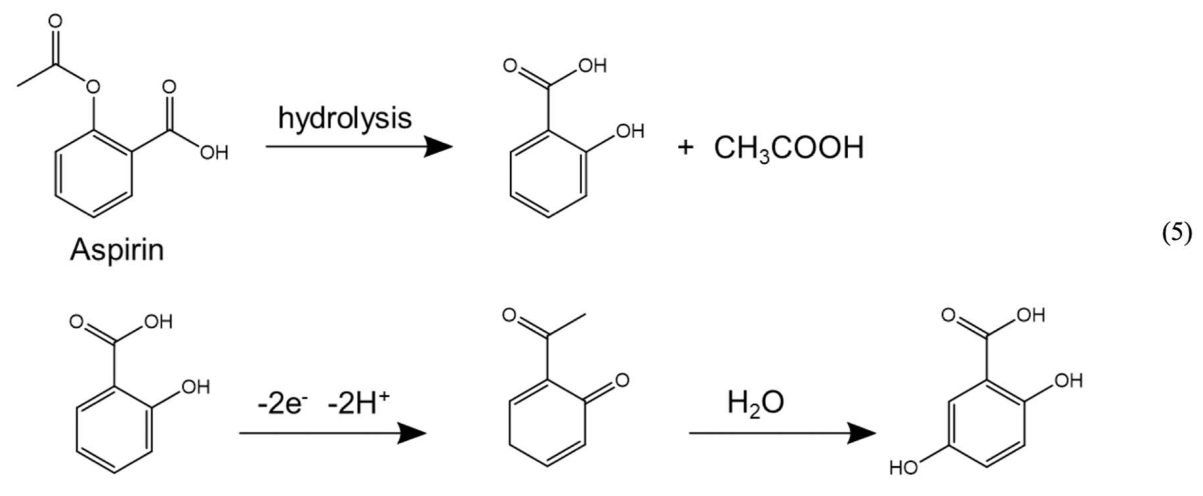
3.3. Simultaneous Detection of Six OTC Drug Molecules Using DPV
3.4. Effect of pH






3.5. Calibration Curves
3.6. Chronoamperometry
3.7. Sensor Reproducibility, Stability, and Interference
3.8. Real Sample Analyses in Commercial Products
4. Conclusions
Supplementary Materials
Author Contributions
Funding
Institutional Review Board Statement
Informed Consent Statement
Data Availability Statement
Acknowledgments
Conflicts of Interest
References
- Gurpinar, E.; Grizzle, W.E.; Piazza, G.A. NSAIDs inhibit tumorigenesis, but how? Clin. Cancer Res. 2014, 20, 1104–1113. [Google Scholar] [CrossRef] [PubMed]
- Da Mata, A.M.O.F.; De Carvalho, R.M.; De Alencar, M.V.O.B.; De Carvalho Melo Cavalcante, A.A.; Da Silva, B.B. Ascorbic acid in the prevention and treatment of cancer. Rev. Assoc. Med. Bras. 2016, 62, 680–686. [Google Scholar] [CrossRef] [PubMed]
- Băjenaru, O.; Ene, A.; Popescu, B.O.; Szász, J.A.; Sabău, M.; Mureşan, D.F.; Perju-Dumbrava, L.; Popescu, C.D.; Constantinescu, A.; Buraga, I.; et al. The effect of levodopa–carbidopa intestinal gel infusion long-term therapy on motor complications in advanced Parkinson’s disease: A multicenter Romanian experience. J. Neural Transm. 2016, 123, 407–414. [Google Scholar] [CrossRef]
- Medve, R.A.; Wang, J.; Karim, R. Tramadol and acetaminophen tablets for dental pain. Anesth. Prog. 2001, 48, 79–81. [Google Scholar]
- Diamond, S.; Balm, T.K.; Freitag, F.G. Ibuprofen plus caffeine in the treatment of tension-type headache. Clin. Pharmacol. Ther. 2000, 68, 312–319. [Google Scholar] [CrossRef]
- Afkhami, A.; Bahiraei, A.; Madrakian, T. Gold nanoparticle/multi-walled carbon nanotube modified glassy carbon electrode as a sensitive voltammetric sensor for the determination of diclofenac sodium. Mater. Sci. Eng. C 2016, 59, 168–176. [Google Scholar] [CrossRef]
- Daneshinejad, H.; Chamjangali, M.A.; Goudarzi, N.; Roudbari, A. Application of a thin film of poly(solochrome black T) as a redox mediator for the electro-catalytic simultaneous determination of dopamine and acetaminophen in the pharmaceutical and biological samples. Mater. Sci. Eng. C 2016, 58, 532–540. [Google Scholar] [CrossRef] [PubMed]
- Teymourian, H.; Parrilla, M.; Sempionatto, J.R.; Montiel, N.F.; Barfidokht, A.; Van Echelpoel, R.; De Wael, K.; Wang, J. Wearable Electrochemical Sensors for the Monitoring and Screening of Drugs. ACS Sens. 2020, 5, 2679–2700. [Google Scholar] [CrossRef]
- Wang, C.; Du, J.; Wang, H.; Zou, C.; Jiang, F.; Yang, P.; Du, Y. A facile electrochemical sensor based on reduced graphene oxide and Au nanoplates modified glassy carbon electrode for simultaneous detection of ascorbic acid, dopamine and uric acid. Sens. Actuators B Chem. 2014, 204, 302–309. [Google Scholar] [CrossRef]
- Wudarska, E.; Chrzescijanska, E.; Kusmierek, E.; Rynkowski, J. Voltammetric studies of acetylsalicylic acid electrooxidation at platinum electrode. Electrochim. Acta 2013, 93, 189–194. [Google Scholar] [CrossRef]
- Bergamini, M.F.; Santos, A.L.; Stradiotto, N.R.; Zanoni, M.V.B. A disposable electrochemical sensor for the rapid determination of levodopa. J. Pharm. Biomed. Anal. 2005, 39, 54–59. [Google Scholar] [CrossRef]
- Serrano, N.; Castilla, Ò.; Ariño, C.; Diaz-Cruz, M.S.; Díaz-Cruz, J.M. Commercial screen-printed electrodes based on carbon nanomaterials for a fast and cost-effective voltammetric determination of paracetamol, ibuprofen and caffeine in water samples. Sensors 2019, 19, 4039. [Google Scholar] [CrossRef] [PubMed]
- Yu, M.F.; Lourie, O.; Dyer, M.J.; Moloni, K.; Kelly, T.F.; Ruoff, R.S. Strength and breaking mechanism of multiwalled carbon nanotubes under tensile load. Science 2000, 287, 637–640. [Google Scholar] [CrossRef] [PubMed]
- Catalysis, R.S.C.; No, S.; Materials, N.C.; By, C.; Serp, P.; Machado, B.; Serp, P.; Machado, B. Nanostructured Carbon Materials for Catalysis; Royal Society of Chemistry: London, UK, 2015; ISBN 9781782622567. [Google Scholar]
- Taylor, R.L. American association for the advancement of science. J. Clin. Endocrinol. Metab. 1950, 10, 1361–1362. [Google Scholar]
- Chung, D.D.L. Review: Graphite. J. Mater. Sci. 2002, 37, 1475–1489. [Google Scholar] [CrossRef]
- Saifuddin, N.; Raziah, A.Z.; Junizah, A.R. Carbon nanotubes: A review on structure and their interaction with proteins. J. Chem. 2013, 2013, 676815. [Google Scholar] [CrossRef]
- Alsharef, J.M.A.; Taha, M.R.; Khan, T.A. Physical dispersion of nanocarbons in composites—A review. J. Teknol. 2017, 79, 69–81. [Google Scholar] [CrossRef]
- Spitalsky, Z.; Tasis, D.; Papagelis, K.; Galiotis, C. Carbon nanotube-polymer composites: Chemistry, processing, mechanical and electrical properties. Prog. Polym. Sci. 2010, 35, 357–401. [Google Scholar] [CrossRef]
- Sun, D.; Zhang, H. Electrochemical determination of acetaminophen using a glassy carbon electrode coated with a single-wall carbon nanotube-dicetyl phosphate film. Microchim. Acta 2007, 158, 131–136. [Google Scholar] [CrossRef]
- Chakraborty, I.; Chakrabarty, N.; Senapati, A.; Chakraborty, A.K. CuO@NiO/Polyaniline/MWCNT Nanocomposite as High-Performance Electrode for Supercapacitor. J. Phys. Chem. C 2018, 122, 27180–27190. [Google Scholar] [CrossRef]
- Abdulla, S.; Mathew, T.L.; Pullithadathil, B. Highly sensitive, room temperature gas sensor based on polyaniline-multiwalled carbon nanotubes (PANI/MWCNTs) nanocomposite for trace-level ammonia detection. Sens. Actuators B Chem. 2015, 221, 1523–1534. [Google Scholar] [CrossRef]
- Afkhami, A.; Soltani-Felehgari, F.; Madrakian, T. A sensitive electrochemical sensor for rapid determination of methadone in biological fluids using carbon paste electrode modified with gold nanofilm. Talanta 2014, 128, 203–210. [Google Scholar] [CrossRef] [PubMed]
- Kan, X.; Liu, T.; Li, C.; Zhou, H.; Xing, Z.; Zhu, A. A novel electrochemical sensor based on molecularly imprinted polymers for caffeine recognition and detection. J. Solid State Electrochem. 2012, 16, 3207–3213. [Google Scholar] [CrossRef]
- Yang, M.; Yang, Y.; Liu, Y.; Shen, G.; Yu, R. Platinum nanoparticles-doped sol-gel/carbon nanotubes composite electrochemical sensors and biosensors. Biosens. Bioelectron. 2006, 21, 1125–1131. [Google Scholar] [CrossRef]
- Hrapovic, S.; Liu, Y.; Male, K.B.; Luong, J.H.T. Electrochemical Biosensing Platforms Using Platinum Nanoparticles and Carbon Nanotubes. Anal. Chem. 2004, 76, 1083–1088. [Google Scholar] [CrossRef]
- Gautam, V.; Singh, K.P.; Yadav, V.L. Polyaniline/MWCNTs/starch modified carbon paste electrode for non-enzymatic detection of cholesterol: Application to real sample (cow milk). Anal. Bioanal. Chem. 2018, 410, 2173–2181. [Google Scholar] [CrossRef]
- Li, S.; Noroozifar, M.; Kerman, K. Nanocomposite of ferricyanide-doped chitosan with multi-walled carbon nanotubes for simultaneous senary detection of redox-active biomolecules. J. Electroanal. Chem. 2019, 849, 113376. [Google Scholar] [CrossRef]
- Zhou, J.; Li, S.; Noroozifar, M.; Kerman, K. Graphene oxide nanoribbons in chitosan for simultaneous electrochemical detection of guanine, adenine, thymine and cytosine. Biosensors 2020, 10, 30. [Google Scholar] [CrossRef]
- Patel, B.R.; Imran, S.; Ye, W.; Weng, H.; Noroozifar, M.; Kerman, K. Simultaneous voltammetric detection of six biomolecules using a nanocomposite of titanium dioxide nanorods with multi-walled carbon nanotubes. Electrochim. Acta 2020, 362, 137094. [Google Scholar] [CrossRef]
- Turkevich, J.; Stevenson, P.C.; Hillier, J. A study of the nucleation and growth processes in the synthesis of colloidal gold. Discuss. Faraday Soc. 1951, 11, 55–75. [Google Scholar] [CrossRef]
- Tan, C.; Sun, Y.; Zheng, J.; Wang, D.; Li, Z.; Zeng, H.; Guo, J.; Jing, L.; Jiang, L. A self-supporting bimetallic Au@Pt core-shell nanoparticle electrocatalyst for the synergistic enhancement of methanol oxidation. Sci. Rep. 2017, 7, 1–10. [Google Scholar] [CrossRef] [PubMed]
- Rosario-Castro, B.I.; Fachini, E.R.; Hernández, J.; Pérez-Davis, M.E.; Cabrera, C.R. Electrochemical and surface characterization of 4-aminothiophenol adsorption at polycrystalline platinum electrodes. Langmuir 2006, 22, 6102–6108. [Google Scholar] [CrossRef] [PubMed]
- Patil, S.H.; Gaikwad, A.P.; Sathaye, S.D.; Patil, K.R. To form layer by layer composite film in view of its application as supercapacitor electrode by exploiting the techniques of thin films formation just around the corner. Electrochim. Acta 2018, 265, 556–568. [Google Scholar] [CrossRef]
- Okpalugo, T.I.T.; Papakonstantinou, P.; Murphy, H.; McLaughlin, J.; Brown, N.M.D. High resolution XPS characterization of chemical functionalised MWCNTs and SWCNTs. Carbon N. Y. 2005, 43, 153–161. [Google Scholar] [CrossRef]
- Gowthaman, N.S.K.; John, S.A. Modification of a glassy carbon electrode with gold-platinum core-shell nanoparticles by electroless deposition and their electrocatalytic activity. RSC Adv. 2015, 5, 42369–42375. [Google Scholar] [CrossRef]
- Song, E.; Choi, J.-W. Conducting Polyaniline Nanowire and Its Applications in Chemiresistive Sensing. Nanomaterials 2013, 3, 498–523. [Google Scholar] [CrossRef]
- Sanghavi, B.J.; Srivastava, A.K. Simultaneous voltammetric determination of acetaminophen, aspirin and caffeine using an in situ surfactant-modified multiwalled carbon nanotube paste electrode. Electrochim. Acta 2010, 55, 8638–8648. [Google Scholar] [CrossRef]
- Sun, J.Y.; Huang, K.J.; Wei, S.Y.; Wu, Z.W.; Ren, F.P. A graphene-based electrochemical sensor for sensitive determination of caffeine. Colloids Surf. B Biointerfaces 2011, 84, 421–426. [Google Scholar] [CrossRef]
- Qi, S.; Zhao, B.; Tang, H.; Jiang, X. Determination of ascorbic acid, dopamine, and uric acid by a novel electrochemical sensor based on pristine graphene. Electrochim. Acta 2015, 161, 395–402. [Google Scholar] [CrossRef]
- Keeley, G.P.; O’Neill, A.; McEvoy, N.; Peltekis, N.; Coleman, J.N.; Duesberg, G.S. Electrochemical ascorbic acid sensor based on DMF-exfoliated graphene. J. Mater. Chem. 2010, 20, 7864–7869. [Google Scholar] [CrossRef]
- Hosseini, H.; Behbahani, M.; Mahyari, M.; Kazerooni, H.; Bagheri, A.; Shaabani, A. Ordered carbohydrate-derived porous carbons immobilized gold nanoparticles as a new electrode material for electrocatalytical oxidation and determination of nicotinamide adenine dinucleotide. Biosens. Bioelectron. 2014, 59, 412–417. [Google Scholar] [CrossRef] [PubMed]
- Yang, L.; Liu, D.; Huang, J.; You, T. Simultaneous determination of dopamine, ascorbic acid and uric acid at electrochemically reduced graphene oxide modified electrode. Sens. Actuators B Chem. 2014, 193, 166–172. [Google Scholar] [CrossRef]
- Huang, J.; Liu, Y.; Hou, H.; You, T. Simultaneous electrochemical determination of dopamine, uric acid and ascorbic acid using palladium nanoparticle-loaded carbon nanofibers modified electrode. Biosens. Bioelectron. 2008, 24, 632–637. [Google Scholar] [CrossRef] [PubMed]
- Mazloum-Ardakani, M.; Taleat, Z.; Khoshroo, A.; Beitollahi, H.; Dehghani, H. Electrocatalytic oxidation and voltammetric determination of levodopa in the presence of carbidopa at the surface of a nanostructure based electrochemical sensor. Biosens. Bioelectron. 2012, 35, 75–81. [Google Scholar] [CrossRef]
- Beitollahi, H.; Nejad, F.G. Graphene Oxide/ZnO Nano Composite for Sensitive and Selective Electrochemical Sensing of Levodopa and Tyrosine Using Modified Graphite Screen Printed Electrode. Electroanalysis 2016, 28, 2237–2244. [Google Scholar] [CrossRef]
- Beitollahi, H.; Mostafavi, M. Nanostructured base electrochemical sensor for simultaneous quantification and voltammetric studies of levodopa and carbidopa in pharmaceutical products and biological samples. Electroanalysis 2014, 26, 1090–1098. [Google Scholar] [CrossRef]
- Mazloum-Ardakani, M.; Ganjipour, B.; Beitollahi, H.; Amini, M.K.; Mirkhalaf, F.; Naeimi, H.; Nejati-Barzoki, M. Simultaneous determination of levodopa, carbidopa and tryptophan using nanostructured electrochemical sensor based on novel hydroquinone and carbon nanotubes: Application to the analysis of some real samples. Electrochim. Acta 2011, 56, 9113–9120. [Google Scholar] [CrossRef]
- Karimi-Maleh, H.; Ganjali, M.R.; Norouzi, P.; Bananezhad, A. Amplified nanostructure electrochemical sensor for simultaneous determination of captopril, acetaminophen, tyrosine and hydrochlorothiazide. Mater. Sci. Eng. C 2017, 73, 472–477. [Google Scholar] [CrossRef]
- Zheng, M.; Gao, F.; Wang, Q.; Cai, X.; Jiang, S.; Huang, L.; Gao, F. Electrocatalytical oxidation and sensitive determination of acetaminophen on glassy carbon electrode modified with graphene-chitosan composite. Mater. Sci. Eng. C 2013, 33, 1514–1520. [Google Scholar] [CrossRef]
- Li, M.; Jing, L. Electrochemical behavior of acetaminophen and its detection on the PANI-MWCNTs composite modified electrode. Electrochim. Acta 2007, 52, 3250–3257. [Google Scholar] [CrossRef]
- Liu, B.; Ouyang, X.; Ding, Y.; Luo, L.; Xu, D.; Ning, Y. Electrochemical preparation of nickel and copper oxides-decorated graphene composite for simultaneous determination of dopamine, acetaminophen and tryptophan. Talanta 2016, 146, 114–121. [Google Scholar] [CrossRef]
- Mokhtari, A.; Karimi-Maleh, H.; Ensafi, A.A.; Beitollahi, H. Application of modified multiwall carbon nanotubes paste electrode for simultaneous voltammetric determination of morphine and diclofenac in biological and pharmaceutical samples. Sens. Actuators B Chem. 2012, 169, 96–105. [Google Scholar] [CrossRef]
- Manea, F.; Ihos, M.; Remes, A.; Burtica, G.; Schoonman, J. Electrochemical determination of diclofenac sodium in aqueous solution on Cu-Doped zeolite-expanded graphite-epoxy electrode. Electroanalysis 2010, 22, 2058–2063. [Google Scholar] [CrossRef]
- Ihos, M.; Remes, A.; Manea, F. Electrochemical determination of diclofenac using boron-doped diamond electrode. J. Environ. Prot. Ecol. 2012, 13, 2096–2103. [Google Scholar]
- Akbarian, Y.; Shabani-Nooshabadi, M.; Karimi-Maleh, H. Fabrication of a new electrocatalytic sensor for determination of diclofenac, morphine and mefenamic acid using synergic effect of NiO-SWCNT and 2,4-dimethyl-N/-[1-(2,3-dihydroxy phenyl) methylidene] aniline. Sens. Actuators B Chem. 2018, 273, 228–233. [Google Scholar] [CrossRef]
- Wang, Z.; Li, H.; Chen, J.; Xue, Z.; Wu, B.; Lu, X. Acetylsalicylic acid electrochemical sensor based on PATP-AuNPs modified molecularly imprinted polymer film. Talanta 2011, 85, 1672–1679. [Google Scholar] [CrossRef]
- Patil, S.M.; Sataraddi, S.R.; Bagoji, A.M.; Pathan, R.M.; Nandibewoor, S.T. Electrochemical behavior of graphene-based sensors on the redox mechanism of aspirin. Electroanalysis 2014, 26, 831–839. [Google Scholar] [CrossRef]
- Karimi-Maleh, H.; Rostami, S.; Gupta, V.K.; Fouladgar, M. Evaluation of ZnO nanoparticle ionic liquid composite as a voltammetric sensing of isoprenaline in the presence of aspirin for liquid phase determination. J. Mol. Liq. 2015, 201, 102–107. [Google Scholar] [CrossRef]
- Kruanetr, S.; Prabhu, R.; Pollard, P.; Fernandez, C. Pharmaceutical electrochemistry: The electrochemical detection of aspirin utilising screen printed graphene electrodes as sensors platforms. Surf. Eng. Appl. Electrochem. 2015, 51, 283–289. [Google Scholar] [CrossRef]
- Fernandes, D.M.; Silva, N.; Pereira, C.; Moura, C.; Magalhães, J.M.C.S.; Bachiller-Baeza, B.; Rodríguez-Ramos, I.; Guerrero-Ruiz, A.; Delerue-Matos, C.; Freire, C. MnFe2O4@CNT-N as novel electrochemical nanosensor for determination of caffeine, acetaminophen and ascorbic acid. Sens. Actuators B Chem. 2015, 218, 128–136. [Google Scholar] [CrossRef]
- Han, X.; Tang, J.; Wang, J.; Wang, E. Electrocatalytic oxidation of ascorbic acid by norepinephrine embedded in lipid cast film at glassy carbon electrode. Electrochim. Acta 2001, 46, 3367–3371. [Google Scholar] [CrossRef]
- Moreno, G.; Pariente, F.; Lorenzo, E. Electrocatalytic oxidation of ascorbate at glassy carbon electrodes modified with electrodeposited films derived from dihydroxybenzaldehyde isomers. Anal. Chim. Acta 2000, 420, 29–37. [Google Scholar] [CrossRef]
- Zare, H.R.; Nasirizadeh, N.; Ardakani, M.M. Electrochemical properties of a tetrabromo-p-benzoquinone modified carbon paste electrode. Application to the simultaneous determination of ascorbic acid, dopamine and uric acid. J. Electroanal. Chem. 2005, 577, 25–33. [Google Scholar] [CrossRef]
- Wang, S.F.; Xie, F.; Hu, R.F. Carbon-coated nickel magnetic nanoparticles modified electrodes as a sensor for determination of acetaminophen. Sens. Actuators B Chem. 2007, 123, 495–500. [Google Scholar] [CrossRef]
- Sivanesan, A.; John, S.A. Determination of l-dopa using electropolymerized 3,3′,3″,3‴-tetraaminophthalocyanatonickel(II) film on glassy carbon electrode. Biosens. Bioelectron. 2007, 23, 708–713. [Google Scholar] [CrossRef] [PubMed]
- Arvand, M.; Gholizadeh, T.M.; Zanjanchi, M.A. MWCNTs/Cu(OH) 2 nanoparticles/IL nanocomposite modified glassy carbon electrode as a voltammetric sensor for determination of the non-steroidal anti-inflammatory drug diclofenac. Mater. Sci. Eng. C 2012, 32, 1682–1689. [Google Scholar] [CrossRef]
- Yan, X.X.; Pang, D.W.; Lu, Z.X.; Lü, J.Q.; Tong, H. Electrochemical behavior of L-dopa at single-wall carbon nanotube-modified glassy carbon electrodes. J. Electroanal. Chem. 2004, 569, 47–52. [Google Scholar] [CrossRef]
- Yan, X.; Pan, D.; Wang, H.; Bo, X.; Guo, L. Electrochemical determination of L-dopa at cobalt hexacyanoferrate/large- mesopore carbon composite modified electrode. J. Electroanal. Chem. 2011, 663, 36–42. [Google Scholar] [CrossRef]
- Goodarzian, M.; Khalilzade, M.A.; Karimi, F.; Gupta, V.K.; Keyvanfard, M.; Bagheri, H.; Fouladgar, M. Square wave voltammetric determination of diclofenac in liquid phase using a novel ionic liquid multiwall carbon nanotubes paste electrode. J. Mol. Liq. 2014, 197, 114–119. [Google Scholar] [CrossRef]
- Parvizi-Fard, G.; Alipour, E.; Sefidi, P.Y.; Sabzi, R.E. Pretreated Pencil Graphite Electrode as a Versatile Platform for Easy Measurement of Diclofenac Sodium in a Number of Biological and Pharmaceutical Samples. J. Chin. Chem. Soc. 2018, 65, 472–484. [Google Scholar] [CrossRef]
- Zavar, M.H.A.; Heydari, S.; Rounaghi, G.H. Electrochemical Determination of Salicylic Acid at a New Biosensor Based on Polypyrrole-Banana Tissue Composite. Arab. J. Sci. Eng. 2013, 38, 29–36. [Google Scholar] [CrossRef]
- Chrzescijanska, E.; Wudarska, E.; Kusmierek, E.; Rynkowski, J. Study of acetylsalicylic acid electroreduction behavior at platinum electrode. J. Electroanal. Chem. 2014, 713, 17–21. [Google Scholar] [CrossRef]
- Jesny, S.; Kumar, K.G. Non-enzymatic Electrochemical Sensor for the Simultaneous Determination of Xanthine, Its Methyl Derivatives Theophylline and Caffeine as well as Its Metabolite Uric Acid. Electroanalysis 2017, 29, 1828–1837. [Google Scholar] [CrossRef]
- Shehata, M.; Azab, S.M.; Fekry, A.M. May glutathione and graphene oxide enhance the electrochemical detection of caffeine on carbon paste sensor in aqueous and surfactant media for beverages analysis? Synth. Met. 2019, 256, 116122. [Google Scholar] [CrossRef]









| Analyte | LOD (µM) | Dynamic Range (µM) | ||
|---|---|---|---|---|
| I | II | |||
| AA | ΔIp1 = 0.0053x + 0.5031 R² = 0.9951 | ΔIp2 = 0.0035x + 0.7869 R² = 0.9937 | 1.5 | 5.0–150.0 150.0–570.0 |
| LD | ΔIp1 = 0.0584[LD] + 0.4826 R² = 0.9889 | ΔIp2 = 0.0195x + 1.249 R² = 0.9816 | 0.25 | 0.5–20 20–60.0 |
| AC | ΔIp1 = 0.0545[AC] + 0.4393 R² = 0.991 | ΔIp2 = 0.0307[AC] + 1.00071 R² = 0.991 | 0.15 | 0.5–25.0 25.0–60.0 |
| DI | ΔIp1 = 0.0536[DI] + 0.4721 R² = 0.9897 | ΔIp2 = 0.0093[DI] + 1.1002 R² = 0.9922 | 0.2 | 0.5–15.0 15.0–115.0 |
| AS | ΔIp = 0.0066[AS] + 1.0234 R² = 0.9912 | - | 2.0 | 5.0–375.0 |
| CA | ΔIp1 = 0.0101[CA] + 3.665 R² = 0.9933 | - | 2.5 | 5.0–520.0 |
| Analyte | Electrode | LOD/μM | Dynamic Range/μM | Ref |
|---|---|---|---|---|
| AA | Au/RGO/GCE 1 | 51.0 | 240.0–1500.0 | [9] |
| PG/GCE 2 | 6.45 | 9.0–2314.0 | [40] | |
| PPF/GNS 3 | 120.0 | 400.0–6000.0 | [41] | |
| NG/GCE 4 | 22.0 | 50.0–1300.0 | [42] | |
| ERGO/GCE 5 | 250.0 | 500.0–2000.0 | [43] | |
| Pd/CNFs 6 | 15 | 50.0–4000.0 | [44] | |
| GCE-tPANI-Au@Pt-MWCNT | 1.5 | 5.0–570.0μM | This study | |
| LD | Au screen-printed electrode | 0.99 | 1.0–660.0 | [11] |
| Modified CP-TNMCPE 7 | 0.069 | 0.1–100.0 | [45] | |
| GR/ZnO/SPE 8 | 0.45 | 1.0–1000.0 | [46] | |
| GR/ZnO/SPE | 0.09 | 0.25–200.0 | [47] | |
| CNT paste/EBNBH 9 | 0.094 | 0.2–700.0 | [48] | |
| GCE-tPANI-Au@Pt-MWCNT | 0.25 | 0.5–60 | This study | |
| AC | NiO/CNTs/DPID/CPEs 10 | 0.3 | 0.8–550.0 | [49] |
| (poly(solochrome black-T)/ GCE | 0.14 | 0.5–50.0 | [7] | |
| GR–CS/GCE 11 | 0.03 | 1.0–100.0 | [50] | |
| PANI–MWCNTs modified electrode 12 | 0.25 | 1.0–100.0 | [51] | |
| SWNT-DCP GCE 13 | 0.04 | 0.1–20.0 | [20] | |
| NiO–CuO/GR/GCE 14 | 1.33 | 4.0–400.0 | [52] | |
| GCE-tPANI-Au@Pt-MWCNT | 0.15 | 0.5–55.0 | This study | |
| DI | VFMCNTPE 15 | 2.0 | 5.0–600.0 | [53] |
| CuZEGE electrode 16 | 0.05 | 0.3–20.0 | [54] | |
| BDD electrode 17 | 0.03 | 0.31–31.1 | [55] | |
| NiO-SWCNTs/DDPM/CPE 18 | 0.008 | 0.04–1200.0 | [56] | |
| AuNP/MWCNT/GCE 19 | 0.02 | 0.03–200.0 | [6] | |
| GCE-tPANI-Au@Pt-MWCNT | 0.2 | 0.5–114.0 | This study | |
| AS | MIP film electrochemical sensor 20 | 0.0003 | 0.001–0.7 | [57] |
| Graphene modified GCE | 0.02 | 1–200.0 | [58] | |
| ZnO/NP/IL/CPE 21 | 0.3 | 0.7–950.0 | [59] | |
| SPGrE 22 | 0.09 | 0.1–100.0 | [60] | |
| ISSM-CNT-PE 23 | 0.084 | 0.2–62.0 | [38] | |
| GCE-tPANI-Au@Pt-MWCNT | 2.0 | 5.0–375.0 | This study | |
| CA | Nafion–Gr/GCE 24 | 0.12 | 0.4–40.0 | [39] |
| GNPs/MWNTs/GCE 25 | 0.0005 | 0.0005–0.160 | [24] | |
| MnFe2O4@CNT-N/GCE 26 | 0.83 | 1.0–1100.0 | [61] | |
| ISSM-CNT-PE | 0.08 | 0.291–62.7 | [38] | |
| GCE-tPANI-Au@Pt-MWCNT | 2.5 | 5.0–520.0 | This study |
| Analyte | Diffusion Coefficient (cm2 s−1) | Reference |
|---|---|---|
| AA | 1.87 × 10−5 | [62] |
| 4.0 × 10−6 | [63] | |
| 9.07 × 10−6 | [64] | |
| 1.33 × 10−6 | [65] | |
| 2.02 × 10−6 | This work | |
| LD | 2.09 × 10−4 | [66] |
| 1.9 × 10−6 | [67] | |
| 1.06 × 10−6 | [68] | |
| 6.70 × 10−6 | [69] | |
| 3.29 × 10−5 | This work | |
| AC | 1.25 × 10−5 | [38] |
| 4.97 × 10−6 | [65] | |
| 5.91 × 10−6 | [51] | |
| 1.09 × 10−9 | [50] | |
| 3.58 × 10−6 | This work | |
| DI | 3.39 × 10−4 | [67] |
| 5.9 × 10−6 | [70] | |
| 2.67 × 10−6 | [71] | |
| 3.7 × 10−4 | [53] | |
| 2.28 × 10−6 | This work | |
| AS | 1.536 × 10−5 | [38] |
| 6.46 × 10−6 | [72] | |
| 7.1 × 10−6 | [10] | |
| 7.84 × 10−6 | [73] | |
| 6.56 × 10−7 | This work | |
| CA | 2.174 × 10−5 | [74] |
| 5.236 × 10−6 | [75] | |
| 4.2 × 10−5 | [75] | |
| 1.095 × 10−5 | [38] | |
| 4.1989 × 10−7 | This work |
| Analyte | Detected (µM) | Determined (µM) | Recovery (%) | |
|---|---|---|---|---|
| Vitamin Water™ (Energy drink) | AA | 70 | 68.08 ± 13.04 | 98.2 ± 1.89 |
| Pseudoephedrine Hydrochloride (Tablet) | AC | 52.9 | 51.84 ± 4.67 | 97.95 ± 2.42 |
| Voltaren™ (Cream) | DI | 5.54 | 5.37 ± 0.42 | 96.9 ± 3.52 |
| Aspirin™ (Tablet) | AS | 111 | 105.21 ± 6.52 | 95.48 ± 0.53 |
| Caffeine Tablet | CA | 205.67 | 214.28 ± 10.42 | 104.1 ± 1.63 |
Publisher’s Note: MDPI stays neutral with regard to jurisdictional claims in published maps and institutional affiliations. |
© 2021 by the authors. Licensee MDPI, Basel, Switzerland. This article is an open access article distributed under the terms and conditions of the Creative Commons Attribution (CC BY) license (http://creativecommons.org/licenses/by/4.0/).
Share and Cite
Li, S.; Zhou, J.; Noroozifar, M.; Kerman, K. Gold-Platinum Core-Shell Nanoparticles with Thiolated Polyaniline and Multi-Walled Carbon Nanotubes for the Simultaneous Voltammetric Determination of Six Drug Molecules. Chemosensors 2021, 9, 24. https://doi.org/10.3390/chemosensors9020024
Li S, Zhou J, Noroozifar M, Kerman K. Gold-Platinum Core-Shell Nanoparticles with Thiolated Polyaniline and Multi-Walled Carbon Nanotubes for the Simultaneous Voltammetric Determination of Six Drug Molecules. Chemosensors. 2021; 9(2):24. https://doi.org/10.3390/chemosensors9020024
Chicago/Turabian StyleLi, Shaopei, Jiayun Zhou, Meissam Noroozifar, and Kagan Kerman. 2021. "Gold-Platinum Core-Shell Nanoparticles with Thiolated Polyaniline and Multi-Walled Carbon Nanotubes for the Simultaneous Voltammetric Determination of Six Drug Molecules" Chemosensors 9, no. 2: 24. https://doi.org/10.3390/chemosensors9020024
APA StyleLi, S., Zhou, J., Noroozifar, M., & Kerman, K. (2021). Gold-Platinum Core-Shell Nanoparticles with Thiolated Polyaniline and Multi-Walled Carbon Nanotubes for the Simultaneous Voltammetric Determination of Six Drug Molecules. Chemosensors, 9(2), 24. https://doi.org/10.3390/chemosensors9020024

