Monitoring Corrosion Processes via Visible Fiber-Optic Evanescent Wave Sensor
Abstract
1. Introduction
2. Materials and Methods
2.1. Materials
2.2. Preparation of Dyes and Corrosion Samples
2.3. UV–VIS
2.4. Sapphire Fiber-Optic Corrosion Sensor
3. Results
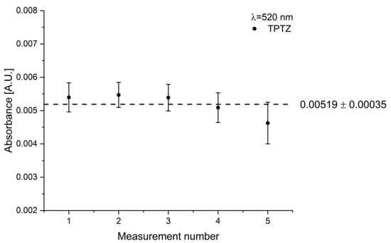
3.1. UV–VIS
3.2. Sapphire Fiber-Optic Evanescent Wave Sensor
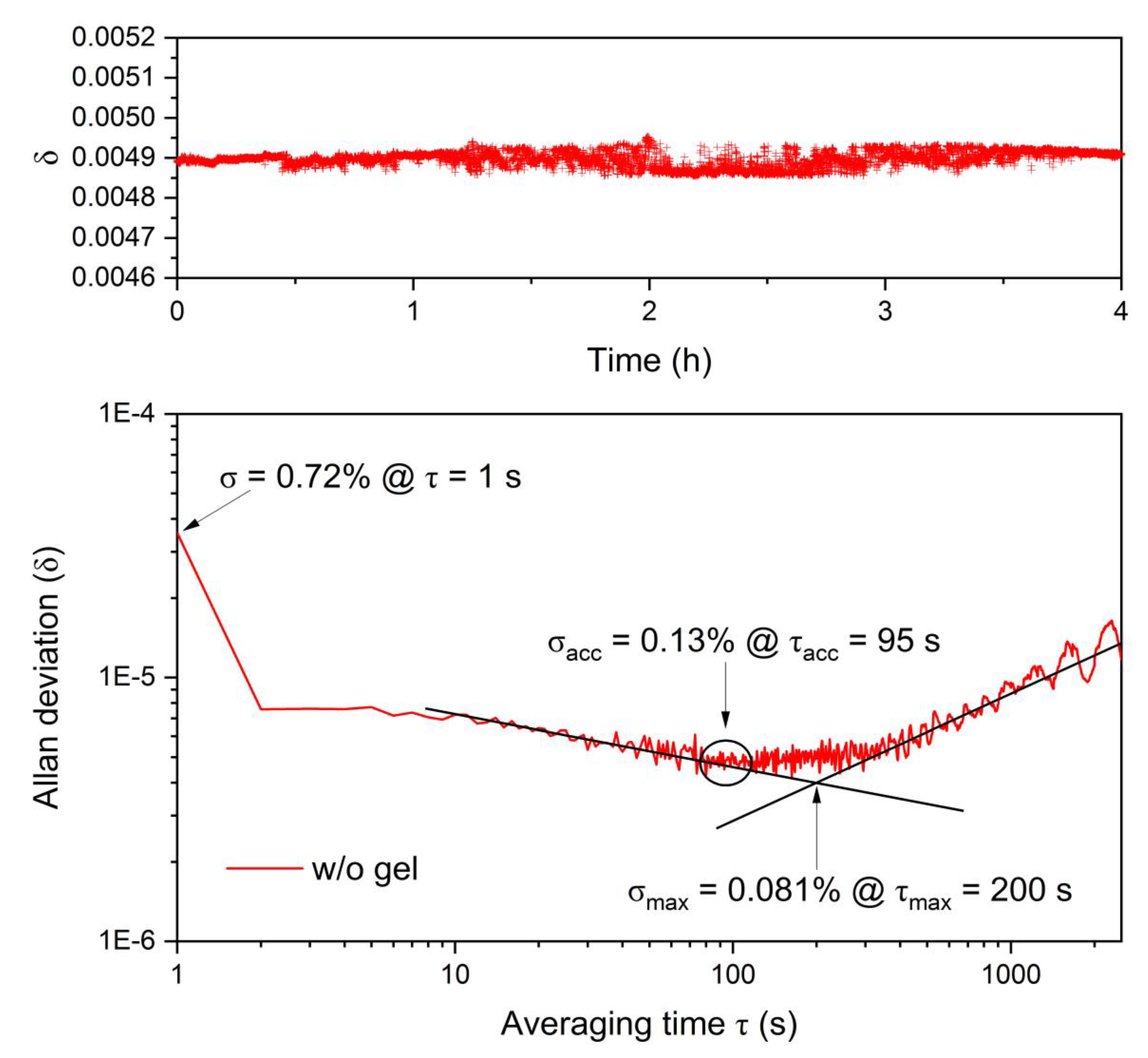
3.2.1. Allan Deviation Analysis
3.2.2. Corrosion Detection
3.2.3. Calibration
4. Conclusions
Author Contributions
Funding
Acknowledgments
Conflicts of Interest
References
- Ferreira, H.; Leite, M.G.P. A Life Cycle Assessment study of iron ore mining. J. Clean. Prod. 2015, 108, 1081–1091. [Google Scholar] [CrossRef]
- Kuranovas, A.; Goode, D.; Kvedaras, A.K.; Zhong, S. Load-Bearing Capacity of Concrete-Filled Steel Columns. J. Civ. Eng. Manag. 2009, 15, 21–33. [Google Scholar] [CrossRef]
- Mori, K.; Maki, S.; Tanaka, Y. Warm and Hot Stamping of Ultra High Tensile Strength Steel Sheets Using Resistance Heating. CIRP Ann. 2005, 54, 209–212. [Google Scholar] [CrossRef]
- Wright, R.F.; Lu, P.; Devkota, J.; Lu, F.; Ziomek-Moroz, M.; Ohodnicki Jr, P.R. Corrosion Sensors for Structural Health Monitoring of Oil and Natural Gas Infrastructure: A Review. Sensors 2019, 19, 3964. [Google Scholar] [CrossRef]
- Ziomek-Moroz, M. Environmentally Assisted Cracking of Drill Pipes in Deep Drilling Oil and Natural Gas Wells. J. Mater. Eng. Perform. 2012, 21, 1061–1069. [Google Scholar] [CrossRef]
- Mcneill, L.S.; Edwards, M. Iron pipe corrosion in distribution systems. J./Am. Water Work. Assoc. 2001, 93, 88–100. [Google Scholar] [CrossRef]
- Li, C.Q.; Mahmoodian, M. Risk based service life prediction of underground cast iron pipes subjected to corrosion. Reliab. Eng. Syst. Saf. 2013, 119, 102–108. [Google Scholar] [CrossRef]
- Corrosion Costs and Preventive Strategies in the United States. Available online: http://impact.nace.org/documents/ccsupp.pdf (accessed on 23 April 2020).
- Liu, C.; Bi, Q.; Leyland, A.; Matthews, A. An electrochemical impedance spectroscopy study of the corrosion behaviour of PVD coated steels in 0.5 N NaCl aqueous solution: Part I. Establishment of equivalent circuits for EIS data modelling. Corros. Sci. 2003, 45, 1257–1273. [Google Scholar] [CrossRef]
- Kuang, F.; Zhang, J.; Zou, C.; Shi, T.; Wang, Y.; Zhang, S.; Xu, H. Electrochemical Methods for Corrosion Monitoring: A Survey of Recent Patents. Recent Patents Corros. Sci. 2010, 2, 34–39. [Google Scholar] [CrossRef]
- Türkmen, D.; Dettenrieder, C.; Forsberg, P.; Mattsson, A.; Nikolajeff, F.; Österlund, L.; Karlsson, M.; Mizaikoff, B. Corrosion Detection by Infrared Attenuated Total Reflection Spectroscopy via Diamond-Like Carbon-Coated Silicon Wafers and Iron-Sensitive Dyes. Sensors 2019, 19, 3373. [Google Scholar] [CrossRef] [PubMed]
- Guan, J.-G.; Miao, Y.-Q.; Zhang, Q.-J. Impedimetric Biosensors. J. Biosci. Bioeng. 2004, 97, 219–226. [Google Scholar] [CrossRef]
- Graham, M.J.; Cohen, M. Analysis of Iron Corrosion Products Using Moessbauer Spectroscopy. Corrosion 1976, 32, 432–437. [Google Scholar] [CrossRef]
- Schlemmer, H.; Katzer, J. ATR technique for UV/VIS analytical measurements. Fresenius Z. Anal. Chem. 1987, 329, 435–439. [Google Scholar] [CrossRef]
- Doyle, W.M.; Tran, L. Analysis of strongly absorbing chromophores by UV-visible ATR spectroscopy. Spectroscopy 1999, 14, 46–54. [Google Scholar]
- López-Higuera, J.M.; Cobo, L.R.; Incera, A.Q.; Cobo, A. Fiber Optic Sensors in Structural Health Monitoring. J. Light. Technol. 2011, 29, 587–608. [Google Scholar] [CrossRef]
- Ye, X.W.; Su, Y.H.; Han, J.P. Structural Health Monitoring of Civil Infrastructure Using Optical Fiber Sensing Technology: A Comprehensive Review. Sci. World J. 2014, 2014. [Google Scholar] [CrossRef]
- Joe, H.E.; Yun, H.; Jo, S.H.; Jun, M.B.G.; Min, B.K. A Review on Optical Fiber Sensors for Environmental Monitoring. Int. J. Precis. Eng. Manuf. Green Technol. 2018, 5, 173–191. [Google Scholar] [CrossRef]
- Mizaikoff, B. Mid-infrared evanescent wave sensors—A novel approach for subsea monitoring. Meas. Sci. Technol. 1999, 10, 1185–1194. [Google Scholar] [CrossRef]
- Dettenrieder, C.; Raichlin, Y.; Katzir, A.; Mizaikoff, B. Toward the Required Detection Limits for Volatile Organic Constituents in Marine Environments with Infrared Evanescent Field Chemical Sensors. Sensors 2019, 19, 3644. [Google Scholar] [CrossRef]
- Mizaikoff, B. Mid-IR Fiber-Optic Sensors. Anal. Chem. 2003, 75, 258A–267A. [Google Scholar] [CrossRef]
- Lendl, B.; Mizaikoff, B. Optical Fibers for Mid-infrared Spectrometry. In Handbook of Vibrational Spectroscopy; Chalmers, J.M., Griffiths, P.R., Eds.; John Wiley & Sons Ltd: Chichester, UK, 2002. [Google Scholar]
- Telecom Fibers. Available online: https://www.rp-photonics.com/telecom_fibers.html (accessed on 15 August 2020).
- Howley, R.; MacCraith, B.D.; O’Dwyer, K.; Masterson, H.; Kirwan, P.; McLoughlin, P. Determination of Hydrocarbons Using Sapphire Fibers Coated with Poly(dimethylsiloxane). Appl. Spectrosc. 2003, 57, 400–406. [Google Scholar] [CrossRef] [PubMed]
- Wang, B.; Hai, J.; Liu, Z.; Wang, Q.; Yang, Z.; Sun, S. Selective Detection of Iron(III) by Rhodamine-Modified Fe3 O4 Nanoparticles. Angew. Chemie Int. Ed. 2010, 49, 4576–4579. [Google Scholar] [CrossRef] [PubMed]
- Lee, S.; Uliana, A.; Taylor, M.K.; Chakarawet, K.; Bandaru, S.R.S.; Gul, S.; Xu, J.; Ackerman, C.M.; Chatterjee, R.; Furukawa, H.; et al. Iron detection and remediation with a functionalized porous polymer applied to environmental water samples. Chem. Sci. 2019, 10, 6651–6660. [Google Scholar] [CrossRef] [PubMed]
- Material Safety Data Sheet UNIGEL 128FN Series. Available online: http://www.unigel.co.uk/wp-content/uploads/2019/04/TDS-128FN-AS01-01-04-19.pdf (accessed on 23 April 2020).
- Specifications Multimode Silica fibers. Available online: https://www.thorlabs.com/drawings/233c45bf3e707f5c-789BF3B8-9B12-7ED8-6DEE62A2337049F3/FT400EMT-SpecSheet.pdf (accessed on 15 August 2020).
- Allan, D.W. Statistics of Atomic Frequency Standards. Proc. IEEE 1966, 54, 221–230. [Google Scholar] [CrossRef]
- Werle, P.; Mucke, R.; Slerm, F. The Limits of Signal Averaging in Atmospheric Trace Gas Monitoring by Tunable Diode Laser Absorption Spectroscopy. Appl. Phys. B 1993, B.57, 131–139. [Google Scholar] [CrossRef]
- Langridge, J.M.; Ball, S.M.; Shillings, A.J.L.; Jones, R.L. A broadband absorption spectrometer using light emitting diodes for ultrasensitive, in situ trace gas detection. Rev. Sci. Instrum. 2008, 79, 123110. [Google Scholar] [CrossRef]
- Chiavaioli, F.; Gouveia, C.A.J.; Jorge, P.A.S.; Baldini, F. Towards a uniform metrological assessment of grating-based optical fiber sensors: From refractometers to biosensors. Biosensors 2017, 7, 23. [Google Scholar] [CrossRef]
- Logistische Funktion. Available online: http://groolfs.de/AnalysisTeil2pdf/LogistischeFunktion.pdf (accessed on 15 August 2020).
- Shrivastava, A.; Gupta, V. Methods for the determination of limit of detection and limit of quantitation of the analytical methods. Chronicles Young Sci. 2011, 2, 21–25. [Google Scholar] [CrossRef]













| Wavelength | Operating Current | Output Power |
|---|---|---|
| 520 nm | 93.1 mA | 15.0 mW |
| 635 nm | 75.4 mA | 8.0 mW |
| 705 nm | 66.9 mA | 15.0 mW |
| Core Diameter | Cladding Diameter | NA | Maximum Attenuation at 808 nm |
|---|---|---|---|
| 400 µm | 425 µm | 0.39 | 10 db/km |
| Logistic fit function |
| Figure-of-Merit | FEWS Sensor | UV–VIS Spectroscopy |
|---|---|---|
| Calibration function | 0.48006x + 0.00711 | 13.17952x + 0.0282 |
| 0.99694 | 0.99952 | |
| LOD (mg) | 0.00386 | 0.00209 |
| LOQ (mg) | 0.01285 | 0.00693 |
© 2020 by the authors. Licensee MDPI, Basel, Switzerland. This article is an open access article distributed under the terms and conditions of the Creative Commons Attribution (CC BY) license (http://creativecommons.org/licenses/by/4.0/).
Share and Cite
Türkmen, D.; Krug, A.; Mizaikoff, B. Monitoring Corrosion Processes via Visible Fiber-Optic Evanescent Wave Sensor. Chemosensors 2020, 8, 76. https://doi.org/10.3390/chemosensors8030076
Türkmen D, Krug A, Mizaikoff B. Monitoring Corrosion Processes via Visible Fiber-Optic Evanescent Wave Sensor. Chemosensors. 2020; 8(3):76. https://doi.org/10.3390/chemosensors8030076
Chicago/Turabian StyleTürkmen, Dervis, Achim Krug, and Boris Mizaikoff. 2020. "Monitoring Corrosion Processes via Visible Fiber-Optic Evanescent Wave Sensor" Chemosensors 8, no. 3: 76. https://doi.org/10.3390/chemosensors8030076
APA StyleTürkmen, D., Krug, A., & Mizaikoff, B. (2020). Monitoring Corrosion Processes via Visible Fiber-Optic Evanescent Wave Sensor. Chemosensors, 8(3), 76. https://doi.org/10.3390/chemosensors8030076
