Voltammetric Sensors Based on Nanomaterials for Detection of Caffeic Acid in Food Supplements
Abstract
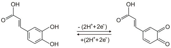
1. Introduction
2. Materials and Methods
2.1. Chemicals and Solutions
2.2. Electrochemical Cell
2.3. Electrochemical Measurements
2.4. Real Sample Analysis
3. Results and Discussion
3.1. Preliminary Studies
3.2. The Electrochemical Behavior of C-SPEs, CNF/C-SPEs and MWCNT/C-SPEs in Electroactive Solution
3.3. Electrochemical Responses of Sensors in Caffeic Acid Solution
3.4. Calibration Curve and Calculation of the Detection Limit
3.5. Quantification of Caffeic Acid in Food Supplements
3.6. Stability
3.7. Interference Studies
4. Conclusions
Author Contributions
Funding
Acknowledgments
Conflicts of Interest
References
- Neto, J.O.; Rezende, S.G.; Reis, C.D.F.; Benjamin, S.R.; Rocha, M.L.; Gil, E.D.S. Electrochemical behavior and determination of major phenolic antioxidants in selected coffee samples. Food Chem. 2016, 190, 506–512. [Google Scholar] [CrossRef] [PubMed]
- González, I.; Morales, M.A.; Rojas, A. Polyphenols and AGEs/RAGE axis. Trends and challenges. Food Res. Int. 2020, 129, 108843. [Google Scholar] [CrossRef]
- Żwierełło, W.; Maruszewska, A.; Skórka-Majewicz, M.; Goschorska, M.; Baranowska-Bosiacka, I.; Dec, K.; Styburski, D.; Nowakowska, A.; Gutowska, I. The influence of polyphenols on metabolic disorders caused by compounds released from plastics—Review. Chemosphere 2020, 240, 124901. [Google Scholar] [CrossRef] [PubMed]
- Millar, C.L.; Duclos, Q.; Blesso, C.N. Effects of Dietary Flavonoids on Reverse Cholesterol Transport, HDL Metabolism, and HDL Function. Adv. Nutr. 2017, 8, 226–239. [Google Scholar] [CrossRef] [PubMed]
- Scalbert, A.; Manach, C.; Morand, C.; Rémésy, C.; Jimenez, L. Dietary Polyphenols and the Prevention of Diseases. Crit. Rev. Food Sci. Nutr. 2005, 45, 287–306. [Google Scholar] [CrossRef]
- Covas, M.I.; Nyyssonen, K.; Poulsen, H.E.; Kaikkonen, J.; Zunft, H.-J.F.; Kiesewetter, H.; Gaddi, A.; De La Torre, R.; Mursu, J.; Bäumler, H.; et al. The Effect of Polyphenols in Olive Oil on Heart Disease Risk Factors: A Randomized Trial. Ann. Intern. Med. 2006, 145, 333. [Google Scholar] [CrossRef]
- Tzima, K.; Brunton, N.; Rai, D.K. Qualitative and Quantitative Analysis of Polyphenols in Lamiaceae Plants—A Review. Plants 2018, 7, 25. [Google Scholar] [CrossRef]
- Tsao, R. Chemistry and biochemistry of dietary polyphenols. Nutrients 2010, 2, 1231–1246. [Google Scholar] [CrossRef]
- Mojzer, E.B.; Hrnčič, M.K.; Škerget, M.; Knez, Ž.; Bren, U. Polyphenols: Extraction Methods, Antioxidative Action, Bioavailability and Anticarcinogenic Effects. Molecules 2016, 21, 901. [Google Scholar] [CrossRef]
- Tsao, R.; Yang, R. Optimization of a new mobile phase to know the complex and real polyphenolic composition: Towards a total phenolic index using high-performance liquid chromatography. J. Chromatogr. A 2003, 1018, 29–40. [Google Scholar] [CrossRef]
- Guo, J.; Yuan, Y.; Dou, P.; Yue, T. Multivariate statistical analysis of the polyphenolic constituents in kiwifruit juices to trace fruit varieties and geographical origins. Food Chem. 2017, 232, 552–559. [Google Scholar] [CrossRef] [PubMed]
- Hoyos-Arbeláez, J.; Vázquez, M.; Contreras-Calderón, J. Electrochemical methods as a tool for determining the antioxidant capacity of food and beverages: A review. Food Chem. 2017, 221, 1371–1381. [Google Scholar] [CrossRef] [PubMed]
- Melero, A.; Assis, R.P.; Brunetti, I.L.; Isaac, V.L.B.; Salgado, H.R.N.; Corrêa, M.A.C. In vitro methods to determine the antioxidant activity of caffeic acid. Spectrochim. Acta Part A Mol. Biomol. Spectrosc. 2019, 219, 358–366. [Google Scholar] [CrossRef]
- Singh, P.; Grewal, A.S.; Pandita, D.; Lather, V. Synthesis and evaluation of a series of caffeic acid derivatives as anticancer agents. Future J. Pharm. Sci. 2018, 4, 124–130. [Google Scholar] [CrossRef]
- Erady, V.; Mascarenhas, R.J.; Satpati, A.K.; Bhakta, A.K.; Mekhalif, Z.; Delhalle, J.; Dhason, A. Carbon paste modified with Bi decorated multi-walled carbon nanotubes and CTAB as a sensitive voltammetric sensor for the detection of Caffeic acid. Microchem. J. 2019, 146, 73–82. [Google Scholar] [CrossRef]
- Moon, J.-M.; Thapliyal, N.; Hussain, K.K.; Goyal, R.N.; Shim, Y.-B. Conducting polymer-based electrochemical biosensors for neurotransmitters: A review. Biosens. Bioelectron. 2018, 102, 540–552. [Google Scholar] [CrossRef]
- Apetrei, C.; Alessio, P.; Constantino, C.; De Saja, J.; Rodriguez-Mendez, M.; Pavinatto, F.; Fernandes, E.G.R.; Zucolotto, V.; Oliveira, O. Biomimetic biosensor based on lipidic layers containing tyrosinase and lutetium bisphthalocyanine for the detection of antioxidants. Biosens. Bioelectron. 2011, 26, 2513–2519. [Google Scholar] [CrossRef]
- Magarelli, G.; Da Silva, J.G.; Filho, I.A.D.S.; Lopes, I.S.D.; De Souza, J.R.; Hoffmann, L.; De Castro, C.S.P. Development and validation of a voltammetric method for determination of total phenolic acids in cotton cultivars. Microchem. J. 2013, 109, 23–28. [Google Scholar] [CrossRef]
- Karikalan, N.; Karthik, R.; Chen, S.-M.; Chen, H.-A. A voltammetric determination of caffeic acid in red wines based on the nitrogen doped carbon modified glassy carbon electrode. Sci. Rep. 2017, 7, 1–10. [Google Scholar] [CrossRef]
- David, I.G.; Bizgan, A.-M.C.; Popa, D.E.; Buleandră, M.; Moldovan, Z.; Badea, I.; Tekiner, T.A.; Basaga, H.; Ciucu, A.A. Rapid determination of total polyphenolic content in tea samples based on caffeic acid voltammetric behaviour on a disposable graphite electrode. Food Chem. 2015, 173, 1059–1065. [Google Scholar] [CrossRef]
- Vilian, A.; Chen, S.-M.; Chen, Y.-H.; Ali, M.A.; Al-Hemaid, F.M. An electrocatalytic oxidation and voltammetric method using a chemically reduced graphene oxide film for the determination of caffeic acid. J. Colloid Interface Sci. 2014, 423, 33–40. [Google Scholar] [CrossRef] [PubMed]
- Zhang, Q.; Kilmartin, P.A. Adsorption effects during the analysis of caffeic acid at PEDOT electrodes. Int. J. Nanotechnol. 2017, 14, 496–504. [Google Scholar] [CrossRef]
- Bianchini, C.; Curulli, A.; Pasquali, M.; Zane, D. Determination of caffeic acid in wine using PEDOT film modified electrode. Food Chem. 2014, 156, 81–86. [Google Scholar] [CrossRef]
- Di Carlo, G.; Curulli, A.; Toro, R.; Bianchini, C.; De Caro, T.; Padeletti, G.; Zane, D.; Ingo, G.M. Green Synthesis of Gold–Chitosan Nanocomposites for Caffeic Acid Sensing. Langmuir 2012, 28, 5471–5479. [Google Scholar] [CrossRef] [PubMed]
- Karabozhikova, V.; Tsakova, V. Electroanalytical determination of caffeic acid—Factors controlling the oxidation reaction in the case of PEDOT-modified electrodes. Electrochim. Acta 2019, 293, 439–446. [Google Scholar] [CrossRef]
- Matemadombo, F.; Apetrei, C.; Nyokong, T.; Rodriguez-Mendez, M.; De Saja, J.A. Comparison of carbon screen-printed and disk electrodes in the detection of antioxidants using CoPc derivatives. Sens. Actuators B Chem. 2012, 166–167, 457–466. [Google Scholar] [CrossRef]
- Zhang, Y.; Liu, Y.; He, J.; Pang, P.; Gao, Y.; Hu, Q. Electrochemical Behavior of Caffeic Acid Assayed with Gold Nanoparticles/Graphene Nanosheets Modified Glassy Carbon Electrode. Electroanalysis 2013, 25, 1230–1236. [Google Scholar] [CrossRef]
- Shi, Y.; Xu, H.; Wang, J.; Li, S.; Xiong, Z.; Yan, B.; Wang, C.; Du, Y. Visible light enhanced electrochemical detection of caffeic acid with waxberry-like PtAuRu nanoparticles modified GCE. Sens. Actuators B Chemical 2018, 272, 135–138. [Google Scholar] [CrossRef]
- Liu, Z.; Lu, B.; Gao, Y.; Yang, T.; Yue, R.; Xu, J.; Gao, L. Facile one-pot preparation of Pd–Au/PEDOT/graphene nanocomposites and their high electrochemical sensing performance for caffeic acid detection. RSC Adv. 2016, 6, 89157–89166. [Google Scholar] [CrossRef]
- Liu, Z.; Xu, J.; Yue, R.; Yang, T.; Gao, L. Facile one-pot synthesis of Au–PEDOT/rGO nanocomposite for highly sensitive detection of caffeic acid in red wine sample. Electrochim. Acta 2016, 196, 1–12. [Google Scholar] [CrossRef]
- Thangavelu, K.; Palanisamy, S.; Chen, S.-M.; Velusamy, V.; Chen, T.-W.; Ramaraj, S.K. Electrochemical Determination of Caffeic Acid in Wine Samples Using Reduced Graphene Oxide/Polydopamine Composite. J. Electrochem. Soc. 2016, 163, B726–B731. [Google Scholar] [CrossRef]
- Thangavelu, K.; Raja, N.; Chen, S.-M.; Liao, W.-C. Nanomolar electrochemical detection of caffeic acid in fortified wine samples based on gold/palladium nanoparticles decorated graphene flakes. J. Colloid Interface Sci. 2017, 501, 77–85. [Google Scholar] [CrossRef] [PubMed]
- Karabiberoglu, S.; Ayan, E.M.; Dursun, Z. Electroanalysis of Caffeic Acid in Red Wine and Investigation of Thermodynamic Parameters Using an Ag Nanoparticles Modified Poly(Thiophene) Film Glassy Carbon Electrode. Electroanalysis 2013, 25, 1933–1945. [Google Scholar] [CrossRef]
- Apetrei, I.M.; Apetrei, C. Development of a Novel Biosensor Based on Tyrosinase/Platinum Nanoparticles/Chitosan/Graphene Nanostructured Layer with Applicability in Bioanalysis. Materials 2019, 12, 1009. [Google Scholar] [CrossRef] [PubMed]
- Wee, Y.; Park, S.; Kwon, Y.H.; Ju, Y.; Yeon, K.M.; Kim, J. Tyrosinase-immobilized CNT based biosensor for highly-sensitive detection of phenolic compounds. Biosens. Bioelectron. 2019, 132, 279–285. [Google Scholar] [CrossRef]
- Apetrei, C.; Iticescu, C.; Georgescu, P.L. Multisensory System Used for the Analysis of the Water in the Lower Area of River Danube. Nanomaterials 2019, 9, 891. [Google Scholar] [CrossRef]
- Baig, N.; Sajid, M.; Saleh, T.A. Recent trends in nanomaterial-modified electrodes for electroanalytical applications. TrAC Trends Anal. Chem. 2019, 111, 47–61. [Google Scholar] [CrossRef]
- Apetrei, I.; Apetrei, C. A modified nanostructured graphene-gold nanoparticle carbon screen-printed electrode for the sensitive voltammetric detection of rutin. Measurement 2018, 114, 37–43. [Google Scholar] [CrossRef]
- Cinti, S.; Arduini, F.; Carbone, M.; Sansone, L.; Cacciotti, I.; Moscone, D.; Palleschi, G. Screen-Printed Electrodes Modified with Carbon Nanomaterials: A Comparison among Carbon Black, Carbon Nanotubes and Graphene. Electroanalysis 2015, 27, 2230–2238. [Google Scholar] [CrossRef]
- González, M.; Guzmán, B.; Rudyk, R.; Romano, E.; Molina, M.A.A. Spectrophotometric Determination of Phenolic Compounds in Propolis. Acta Farm. Bonaer. 2003, 22, 243–248. [Google Scholar]
- Choi, W.-K. Electrochemical Characterizations of the Reducibility and Persistency of Electrolyzed Reduced Water Produced from Purified Tap Water. Int. J. Electrochem. Sci. 2014, 9, 10. [Google Scholar]
- Apetrei, I.M.; Apetrei, C. Voltammetric determination of melatonin using a graphene-based sensor in pharmaceutical products. Int. J. Nanomed. 2016, 11, 1859–1866. [Google Scholar] [CrossRef] [PubMed]
- Bard, A.J.; Faulkner, L.R. Electrochemical Methods: Fundamentals and Applications, 2nd ed.; Wiley: New York, NY, USA, 2001. [Google Scholar]
- Ekabutr, P.; Chailapakul, O.; Supaphol, P. Modification of disposable screen-printed carbon electrode surfaces with conductive electrospun nanofibers for biosensor applications. J. Appl. Polym. Sci. 2013, 130, 3885–3893. [Google Scholar] [CrossRef]
- Rezaei, B.; Ghani, M.; Shoushtari, A.M.; Rabiee, M. Electrochemical biosensors based on nanofibres for cardiac biomarker detection: A comprehensive review. Biosens. Bioelectron. 2016, 78, 513–523. [Google Scholar] [CrossRef]
- Sakthivel, M.; Ramaraj, S.; Chen, S.-M.; Dinesh, B.; Ramasamy, H.V.; Lee, Y.S. Entrapment of bimetallic CoFeSe2 nanosphere on functionalized carbon nanofiber for selective and sensitive electrochemical detection of caffeic acid in wine samples. Anal. Chim. Acta 2018, 1006, 22–32. [Google Scholar] [CrossRef] [PubMed]
- Apetrei, C.; Apetrei, I.M.; De Saja, J.A.; Rodriguez-Mendez, M.L. Carbon paste electrodes made from different carbonaceous materials: Application in the study of antioxidants. Sensors 2011, 11, 1328–1344. [Google Scholar] [CrossRef]
- Giacomelli, C.; Ckless, K.; Galato, D.; Miranda, F.D.S.; Spinelli, A. Electrochemistry of Caffeic Acid Aqueous Solutions with pH 2.0 to 8.5. J. Braz. Chem. Soc. 2002, 13, 332–338. [Google Scholar] [CrossRef]
- Manikandan, V.S.; Sidhureddy, B.; Thiruppathi, A.R.; Chen, A. Sensitive Electrochemical Detection of Caffeic Acid in Wine Based on Fluorine-Doped Graphene Oxide. Sensors 2019, 19, 1604. [Google Scholar] [CrossRef]
- Le, A.V.; Su, Y.-L.; Cheng, S.-H. A novel electrochemical assay for aspartame determination via nucleophilic reactions with caffeic acid ortho-quinone. Electrochim. Acta 2019, 300, 67–76. [Google Scholar] [CrossRef]
- Beiginejad, H.; Rafiee, Z.; Moradi, M. Electrochemical oxidation of caffeic acid in the presence of 1,4-benzenediboronic acid: CEC mechanism and glucose effect on the complex formation. J. Iran Chem. Soc. 2020, 17, 935–942. [Google Scholar] [CrossRef]
- Huang, J.; Liu, Y.; You, T. Carbon nanofiber based electrochemical biosensors: A review. Anal. Methods 2010, 2, 202–211. [Google Scholar] [CrossRef]
- Bezzon, V.D.; Montanheiro, T.L.D.A.; De Menezes, B.R.C.; Ribas, R.G.; Righetti, V.A.N.; Rodrigues, K.F.; Thim, G.P. Carbon Nanostructure-based Sensors: A Brief Review on Recent Advances. Adv. Mater. Sci. Eng. 2019, 2019, 4293073. [Google Scholar] [CrossRef]
- Trabelsi, S.; Tahar, N.; Abdelhedi, R. Electrochemical behavior of caffeic acid. Electrochim. Acta 2004, 9–10, 1647–1654. [Google Scholar] [CrossRef]
- Norkus, E.; Vaškelis, A.; Stalnionienė, I. Caffeic acid modified glassy carbon electrode for electrocatalytic oxidation of reduced nicotinamide adenine dinucleotide (NADH). J. Solid State Electrochem. 2000, 4, 87–94. [Google Scholar] [CrossRef]
- Li, J.; Jiang, J.; Liu, M.; Xu, Z.; Deng, P.; Qian, D.; Tong, C.; Xie, H.; Yang, C. Facile synthesis of MnO2-embedded flower-like hierarchical porous carbon microspheres as an enhanced electrocatalyst for sensitive detection of caffeic acid. Anal. Chim. Acta 2017, 985, 155–165. [Google Scholar] [CrossRef] [PubMed]
- Bridge, M.H.; Williams, E.; Lyons, M.E.G.; Tipton, K.F.; Linert, W. Electrochemical investigation into the redox activity of Fe(II)/Fe(III) in the presence of nicotine and possible relations to neurodegenerative diseases. Biochim. Et Biophys. Acta (BBA) Mol. Basis Dis. 2004, 1690, 77–84. [Google Scholar] [CrossRef]
- Şengül, Ü. Comparing determination methods of detection and quantification limits for aflatoxin analysis in hazelnut. J. Food Drug Anal. 2016, 24, 56–62. [Google Scholar] [CrossRef]
- Matlock-Colangelo, L.; Baeumner, A.J. Recent progress in the design of nanofiber-based biosensing devices. Lab Chip 2012, 12, 2612–2620. [Google Scholar] [CrossRef]






| Sensitive Material | Detection Technique | LOD (M) | Reference |
|---|---|---|---|
| GCE 1 | DPV | 6.8 × 10−8 | [18] |
| NDC/GCE 2 | DPV | 2.4 × 10−9 | [19] |
| PGE 3 | DPV | 8.83 × 10−8 | [20] |
| Pt/PEDOT:PSS 4 | CV | 3 × 10−9 | [23] |
| AuNP−CHIT-Modified Gold Electrode 5 | CV | 2.5 × 10−8 | [24] |
| CPE/MWCNTs-Bi/CTAB 6 | DPV | 1.57 × 10−10 | [15] |
| AuNP/GN/GCE 7 | DPV | 5 × 10−8 | [27] |
| PtAuRu/GCE 8 | DPV | 3.9 × 10−7 | [28] |
| Pd–Au/PEDOT/rGO/GCE 9 | DPV | 3.7 × 10−10 | [29] |
| Au/PEDOT/rGO/GCE 10 | DPV | 4 × 10−9 | [30] |
| RGO@PDA/GCE 11 | CV | 1.2 × 10−9 | [31] |
| Au/PdNPs-GRF 12 | DPV | 6 × 10−9 | [32] |
| PEDOT. thin 13 | DPV | 1.1 × 10−7 | [25] |
| PEDOT. thick 14 | DPV | 1.5 × 10−6 | [25] |
| Ag/poly(thiophene)/GCE 15 | DPV | 5.3 × 10−9 | [33] |
| Electrode | Epa 1 (V) | Epc 2 (V) | E1/2 3 (V) | ΔE 4 (V) | Ipa 5 (µA) | Ipc 6 (µA) | Ipc/Ipa |
|---|---|---|---|---|---|---|---|
| C-SPE | 0.334 | 0.024 | 0.179 | 0.310 | 13.25 | −10.38 | 0.78 |
| CNF/C-SPE | 0.202 | 0.124 | 0.163 | 0.078 | 22.30 | −19.07 | 0.85 |
| MWCNT/C-SPE | 0.264 | 0.068 | 0.166 | 0.196 | 15.20 | −12.15 | 0.79 |
| Electrode | Ipa vs. v1/2 | R2 | Active Area (cm2) |
|---|---|---|---|
| C-SPE | y = 3.2636 × 10−5x + 2.5606 × 10−6 | 0.9981 | 0.0500 |
| CNF/C-SPE | y = 1.1047 × 10−4x − 1.713 × 10−5 | 0.9905 | 0.1524 |
| MWCNT/C-SPE | y = 3.7265 × 10−5x + 3.0032 × 10−6 | 0.9988 | 0.0514 |
| Electrode | Epa (V) | Ipa (μA) | Epc (V) | Ipc (μA) | Ipc/Ipa | ΔE (V) |
|---|---|---|---|---|---|---|
| C-SPE | 0.459 | 19.99 | 0.379 | −17.13 | 0.86 | 0.079 |
| CNF/C-SPE | 0.493 | 121.88 | 0.393 | −93.81 | 0.77 | 0.099 |
| MWCNT/C-SPE | 0.460 | 47.62 | 0.386 | −33.56 | 0.70 | 0.073 |
| Electrode | Equation | R2 | D (cm2 × s−1) |
|---|---|---|---|
| C-SPE | y = 7.7312 × 10−5x − 5.8183 × 10−6 | 0.9974 | 4.13 × 10−6 |
| CNF/C-SPE | y = 7.6702 × 10−4x − 1.2773 × 10−5 | 0.999 | 4.37 × 10−5 |
| MWCNT/C-SPE | y = 1.4051 × 10−4x + 2.2114 × 10−6 | 0.9924 | 1.29 × 10−5 |
| Sensor | LOD (M) | LOQ (M) |
|---|---|---|
| C-SPE | 1.27 × 10−7 | 4.23 × 107 |
| CNF/C-SPE | 3.23 × 10−9 | 1.077 × 10−8 |
| MWCNT/C-SPE | 6.1 × 10−8 | 2.02 × 10−7 |
| Food Supplement | Epa (V) | Epc (V) | Ipa (μA) | Ipc (μA) |
|---|---|---|---|---|
| Active Detox | 0.605 | 0.056 | 19.432 | −24.549 |
| DVR-Stem Glycemo | 0.425 | 0.128 | 34.547 | −24.726 |
| Ceai Verde (Green Tea) | 0.472 | 0.130 | 32.3552 | −24.957 |
| Food Supplement | Voltammetric Method Caffeic Acid (mg/Capsule) | Spectrophotometric Method Caffeic Acid (mg/Capsule) |
|---|---|---|
| Active Detox | 101.5 ± 4.1 | 102.4 ± 3.9 |
| DVR-Stem Glycemo | 190.5 ± 7.2 | 202.1 ± 8.1 |
| Ceai Verde (Green Tea) | 177.6 ± 5.6 | 177.7 ± 4.8 |
| Interfering Compound | c (M) | Ccaffeic acid × 105 (M) | Recovery (%) |
|---|---|---|---|
| L-Ascorbic acid | 0.001 | 1.03 | 103 ± 3.6 |
| Uric acid | 0.001 | 1.04 | 104 ± 3.6 |
| Ferulic Acid | 0.001 | 1.05 | 105 ± 3.7 |
| Vanillic Acid | 0.001 | 1.02 | 102 ± 3.6 |
| Gallic Acid | 0.0001 | 1.08 | 108 ± 3.8 |
| Catechol | 0.0001 | 1.10 | 110 ± 3.9 |
© 2020 by the authors. Licensee MDPI, Basel, Switzerland. This article is an open access article distributed under the terms and conditions of the Creative Commons Attribution (CC BY) license (http://creativecommons.org/licenses/by/4.0/).
Share and Cite
Bounegru, A.V.; Apetrei, C. Voltammetric Sensors Based on Nanomaterials for Detection of Caffeic Acid in Food Supplements. Chemosensors 2020, 8, 41. https://doi.org/10.3390/chemosensors8020041
Bounegru AV, Apetrei C. Voltammetric Sensors Based on Nanomaterials for Detection of Caffeic Acid in Food Supplements. Chemosensors. 2020; 8(2):41. https://doi.org/10.3390/chemosensors8020041
Chicago/Turabian StyleBounegru, Alexandra Virginia, and Constantin Apetrei. 2020. "Voltammetric Sensors Based on Nanomaterials for Detection of Caffeic Acid in Food Supplements" Chemosensors 8, no. 2: 41. https://doi.org/10.3390/chemosensors8020041
APA StyleBounegru, A. V., & Apetrei, C. (2020). Voltammetric Sensors Based on Nanomaterials for Detection of Caffeic Acid in Food Supplements. Chemosensors, 8(2), 41. https://doi.org/10.3390/chemosensors8020041
