Abstract
Dopamine (DA) is a neurotransmitter responsible for important functions in mammals’ bodies, including mood, movement and motivation. High or low dopamine levels are associated mainly with mental illnesses such as schizophrenia and depression. Therefore, contributing to the development of electrochemical devices to precisely determine the DA levels in urine samples, a simple and low-cost sensor is proposed in this work. The proposed sensor design is based on crosslinked chitosan films combining carbon black (CB) and deep eutectic solvents (DESs), incorporated onto the surface of a glassy carbon electrode (GCE). Fourier Transform Infrared Spectroscopy (FT-IR) was applied to characterize the produced DESs and their precursors, while the films were characterized by scanning electron microscopy (SEM), electrochemical impedance spectroscopy (EIS) and cyclic voltammetry (CV). The sensor modified with CB and DES–ethaline (DES (ETHA)-CB/GCE) showed a significantly enhanced analytical signal for DA using differential pulse voltammetry under the optimized working conditions. Moreover, a better heterogeneous electron transfer rate constant (k0) was obtained, about 45 times higher than that of the bare GCE. The proposed sensor achieved a linear response range of 0.498 to 26.8 µmol L−1 and limits of detection and quantification of 80.7 and 269 nmol L−1, respectively. Moreover, the sensor was successfully applied in the quantification of DA in the synthetic urine samples, with recovery results close to 100%. Furthermore, the sensor presented good precision, as shown from the repeatability tests. The presented method to electrochemically detect DA has proven to be efficient and simple compared to the conventional methods commonly reported.
1. Introduction
Dopamine (DA) is a catecholamine derived from pyrocatechol and functions as a vital neurotransmitter, playing a key role in the human body, particularly within the central nervous system [1,2]. DA plays a regulatory role in human cognition and emotional processes. It also influences the hormonal activity, memory and cardiovascular systems. Abnormal DA levels have been associated with various disorders, including hypertension [3], Parkinson’s [4], Alzheimer’s [5] and depression [6]. Consequently, the precise quantification of the DA levels in biological samples is essential for both the diagnosis and clinical management of these diseases.
In this context, the development of quantitative methods which can determine DA levels at low concentrations with high sensitivity, selectivity and, preferably, low cost becomes highly important. In this scenario, some alternatives such as the electroanalytical [7,8,9], spectrophotometric [10,11] and chromatographic [12,13] methods have been developed for measuring dopamine concentrations. Among these methods reported in the literature, electroanalysis has gained special attention due to the lower cost of the equipment, the low consumption of reagents and its high sensitivity [14,15,16]. In this sense, nanomaterials in the development of electrochemical sensors have been highlighted. These materials, when employed as modifiers of electrode surfaces, provide outstanding analytical benefits, including low limits of detection (LODs) and enhanced sensitivity [17,18].
Carbon black (CB) is an extremely low-cost (USD 3/Kg) carbonaceous nanomaterial and is widely available on an industrial scale, as it is used in the industries of rubbers and printing inks, among others. For electrochemical purposes, it stands out due to its high electrical conductivity, elevated surface area and small particle size [19]. From these, a number of recent works have been reported on the electroanalytical chemistry of carbon black-based electrodes [20,21,22,23,24,25], contributing to the design of different and new types of high-performance sensors.
In addition to nanomaterials, deep eutectic solvents have also been studied in the most diverse applications, including green catalysis [26], the extraction of bioactive compounds [27], the synthesis of advanced materials [28] and as electrode modifiers. The literature presents various electrochemical sensors modified with DESs. For instance, the hydrophobic deep eutectic solvents (HDESs) based on decanoic acid (DecA) and tetrabutylammonium bromide (TBAB) and carbon nanohorns were used to modify a glassy carbon electrode (GCE). This sensor was applied to determine serotonin. The results showed that the incorporation of HDESs contributed to an enhanced electron transfer kinetic, a more uniform surface and an improvement in the performance for serotonin detection, considering the analytical parameters, such as the limit of detection (LOD) of 0.09 µmol L−1 [29]. In this context, in another example using DESs as electrode modifiers, the surface of the GCE was modified by magnetic nanoparticles in sulfuric acid-doped ethaline deep eutectic solvents to determine dapsone (DDS). The results revealed that films based on ethaline–H2SO4 had a higher peak current than films made in sulfuric acid aqueous solution [30]. The proposed sensor exhibited a linear response range to DDS from 0.5 to 20 µmol L−1 and an LOD of 0.33 µmol L−1. In addition, excellent reproducibility and long-term stability were reported. All these results highlight DESs as excellent electrode modifiers for analytical purposes.
In the electrochemistry context, these types of solvents are highlighted due to their ease of preparation, low cost, excellent stability at high temperatures, ability to dissolve metal ions, conductive properties and wide potential ranges [29]. Moreover, they are considered green solvents, since they display remarkable features such as biodegradability and low toxicity. Furthermore, reinforcing the greener characteristics of these solvents, a recent study revealed that the EcoScale score for a DES synthesized by heating and stirring was 97 [31].
The Analytical EcoScale (AES) applies a semiquantitative analysis to check greenness, considering four factors that could negatively impact the environment: waste generation, energy consumption, the quantity and type of chemicals used and occupational hazards. The AES is estimated as 100 penalty points (associated with the factors cited above). Scores below 50 represent insufficient environmental friendliness. Scores above 50 indicate acceptable green analysis, and scores above 75 indicate excellent environmental friendliness. Thus, according to the EcoScale criteria, the preparation of DESs by heating and stirring is considered an excellent green procedure [32].
From this context, the focus of this work was the use of CB and DESs as electrode modifiers, exploring the possible synergistic effects between the two modifiers to improve the analytical performance of sensors towards the DA determination in synthetic urine samples. In addition, in this work, a fundamental study on the electron charge transfer kinetics of DA on CB-DES films was carried out, which is scarce in the literature.
2. Experimental Procedure
2.1. Reagents, Materials and Solutions
Analytical-degree reagents were used. The choline chloride, urea, glycerol, ethylene glycol, KH2PO4 and NH4Cl were obtained from Êxodo (Brazil). The sodium hydrogen phosphate, sodium dihydrogen phosphate, dopamine, ascorbic acid, adrenaline, epichlorohydrin (ECH) (purity ≥ 99%) and chitosan (Ch) were purchased from Sigma-Aldrich (Sao Paulo, Brazil). The NaCl, KCl, CaCl, 2H2O and Na2SO4 were purchased from Vetec (Sao Paulo, Brazil). The carbon black powder type VULCAN®VXC72R was kindly supplied by the Cabot Corporation Company (Boston, MA, USA). All aqueous solutions were prepared with ultrapure water (ρ > 18.2 MΩ cm) supplied by a Milli-Q® (Darmstadt, Germany) purification system. All reagents were used as received, without going through further purification processes.
2.2. Preparation of Deep Eutectic Solvents
The preparation of the deep eutectic solvents (DESs) was based on the work of Augusto et al. [33]. The component of the lower melting point (MP) was heated or melted using a heating plate. After complete melting or temperature stabilization, the component of the higher MP was incorporated into the system. The mixtures containing the hydrogen bond acceptor (HBA) as well as the hydrogen bond donor (HBD) were kept under agitation and heating at 80 °C for about 1 h. The prepared DESs were based on choline chloride (ChCl) as the HBA and different HBDs, namely, urea (reline), ethylene glycol (ethaline) or glycerol (glyceline). All the DESs were prepared using an HBA: HBD molar ratio of 1:2.
2.3. Characterization of DESs and Films
The characterization of the DESs was conducted by Fourier Transform Infrared Spectroscopy (FT-IR) (Bruker, model: Alpha II, resolution: 4 cm−1). The transmittance was evaluated in the wavenumber range of 4000 to 400 cm−1. In addition, the surface morphologies of the films were examined via scanning electron microscopy (SEM, JEOL-JSM6510LV, Tokyo, Japan) with the voltage acceleration ranging from 0.3 kV to 30 kV.
2.4. Preparation of Modified Electrodes Based on DES–CB Films
Initially, the GCE surface with a diameter of 3.0 mm was polished with alumina slurry (1 µm, Buehler). Then, it was taken to the ultrasonic bath for cleaning with 70% (v/v) ethanol for 3 min and afterwards with ultrapure water for another 3 min. Thereafter, the GCE surface was modified with an aqueous dispersion based on CB, DES and crosslinked chitosan, forming the DES-CB/GCE. The dispersion was composed of 1 mg of CB, 5 mg of DES (reline, ethaline or glyceline), 400 µL of 0.2% m/v chitosan (prepared in 1.0% v/v acetic acid solution), 400 µL of 0.25% m/v epichlorohydrin (prepared in 0.01 mol L−1 NaOH solution) and 200 µL of ultrapure water. For modifying the GCE, the drop-coating method was used to obtain films, which used 6 µL of the dispersion and 1 h of drying under an IR lamp.
2.5. Electrochemical Assays
A PGSTAT101 potentiostat/galvanostat (Metrohm Autolab, Utrecht, The Netherlands) controlled by NOVA software (2.1.6 version) was employed for the voltammetric measurements. For the voltammetry assays, a conventional three-electrode electrochemical cell was used, with a bare GCE or modified GCE as the working electrode, Ag/AgCl (3.0 mol L−1 KCl) as the reference electrode and a Pt plate as the auxiliary electrode. The studies with DA were carried out using 0.1 mol L−1 phosphate buffer solutions as the supporting electrolyte. Cyclic voltammetry (CV) as well as differential pulse voltammetry (DPV) were applied as the electrochemical techniques to evaluate the electrochemical behavior of DA using the proposed sensors. Moreover, the analytical parameters (linear range, LOD, limit of quantification (LOQ) and analytical sensitivity) were determined from the respective analytical curves.
All the voltammetric measurements were realized in duplicate. The baseline of the voltammograms was corrected using the moving-average mode, using the tool available in the NOVA software (2.1.6 version) system.
Lastly, electrochemical impedance spectroscopy (EIS) assays were conducted under the following conditions: applied potential = half-wave potential of the DA redox pair, frequency range = 100 kHz–100 mHz and amplitude = 10 mV, and using a μStat-i 400 s portable potentiostat/galvanostat (Metrohm DropSens, 3.78 version).
2.6. Analysis of Synthetic Urine Samples
The developed voltammetric method was applied to the analysis of synthetic urine by evaluating the recovery percentage of DA. The synthetic urine samples were prepared according to the protocol described by Laube et al. [34]. The following reagents were accurately weighed and transferred into a 250 mL volumetric flask: 0.73 g of NaCl, 0.40 g of KCl, 0.28 g of CaCl2·2H2O, 0.56 g of Na2SO4, 0.35 g of KH2PO4, 0.25 g of NH4Cl and 6.25 g of urea. The volume was completed with 0.1 mol L−1 phosphate buffer solution at pH 8.0, which was the optimized supporting electrolyte. The synthetic urine was spiked with three different concentrations of DA (4.3, 8.7 and 19.8 µmol L−1). Before analysis using the proposed voltammetric technique, an analytical calibration curve was constructed within the sample matrix. The results are expressed as the recovery percentage of DA added to the synthetic urine.
3. Results and Discussion
3.1. Characterization of DESs and DES-CB Films
Figure 1 displays the infrared spectra of the pure components of each DES as well as of the respective prepared DESs. It was possible to verify that all the signals observed in the spectra of pure substances are present in the spectra of their respective DESs. This is an indication that only eutectic mixtures were formed, without the occurrence of chemical reactions between the substances, as desired when preparing DESs. Furthermore, the broadening of the O-H stretching bands was observed for all DESs, also caused by hydrogen bond interactions. All these results are in accordance with those found in the literature [35].
Figure 1.
Infrared spectra of the precursors: (a) choline chloride, (b) urea, (c) ethylene glycol and (d) glycerol, and of the prepared DESs: (e) reline, (f) ethaline and (g) glyceline.
In Figure 2, it is possible to evaluate the morphological profile of a CB film before (Figure 2a) and after (Figure 2b–d) the inclusion of the DES. Firstly, the typical morphology of CB was verified (i.e., based on spherical agglomerates). After the addition of the DES on the GCE surface, the previously observed CB nanoparticles were capped by a DES layer, obtaining different morphologies depending on the DES applied. These results are also in accordance with those found in the literature [36].
Figure 2.
SEM images recorded for (a) CB, (b) DES (ETHA)/CB, (c) DES (GLYC)/CB and (d) DES (REL)/CB.
3.2. Electrochemical Response of Dopamine on DES-CB/GCE
The results obtained using the proposed electrodes and CV and DPV in the absence and presence of DA are presented in Figure 3a–e and Figure 4a–e. CV was applied as an exploratory technique, identifying parameters such as the oxidation and reduction potentials of the analyte and consequently determining the potential window to be studied. DPV was utilized for analytical purposes, since it is a more sensitive technique with the minimization of the capacitive current. As shown in Figure 3 and Figure 4, no redox peaks were noticed in the voltammograms (CV and DPV) recorded at blank solution in the absence of DA, as expected. Then, the presence of the analyte anodic and cathodic peaks related to the oxidation and reduction processes of DA were verified. Using both techniques, the increase in the analytical response of DA when carbon black was incorporated onto the surface of the GCE is notable, increasing the signal intensity by about 3 times using CV and by 2 times when the DPV was applied. This can be justified due to the high conductivity of this carbonaceous material.
Figure 3.
Cyclic voltammograms obtained in 0.1 mol L−1 phosphate buffer solution (pH = 7.0) in the absence (dotted lines) and presence (full lines) of 5.0 × 10−4 mol L−1 DA using different electrodes: (a) GCE, (b) CB/GCE, (c) DES(REL)-CB/GCE, (d) DES(GLYC)-CB/GCE and (e) DES(ETHA)-CB/GCE. (f) Comparison of the cyclic voltammograms recorded for the 5.0 × 10−4 mol L−1 DA using the different studied electrodes. (g) Bar graph with peak current values recorded using the five tested electrodes.
Figure 4.
Differential pulse voltammograms obtained in 0.1 mol L−1 phosphate buffer solution (pH = 7.0) in the absence (dotted lines) and presence (full lines) of 5.0 × 10−4 mol L−1 DA using different electrodes: (a) GCE, (b) CB/GCE, (c) DES(REL)-CB/GCE, (d) DES(GLYC)-CB/GCE and (e) DES(ETHA)-CB/GCE. (f) Comparison of the differential pulse voltammograms recorded for the 5.0 × 10−4 mol L−1 DA using the different studied electrodes. DPV parameters: a = 50 mV, tm = 5 ms and v = 20 mV s−1. (g) Bar graph with peak current values recorded using the five tested electrodes.
It was also observed that from the modification with the DESs, the voltametric profile was significantly altered, obtaining higher peak current intensities (Figure 3f,g and Figure 4f,g). For instance, the anodic peak current (Ipa) intensity obtained by DPV for the GCE modified with CB and ethaline DES (62.5 µA) was more than 10 times higher than that obtained for the bare GCE (5.5 µA). This enhanced analytical signal is interesting because it can lead to better analytical parameters, such as the higher sensitivity of the proposed electrode. In addition to this, the peak-to-peak potential separation (ΔEp) was lower for the DES(ETHA)-CB-based electrode (54 mV) when compared to the unmodified GCE (269 mV), showing a better reversibility of the redox process. The ΔEp decreased up to 5 times (Table 1), suggesting impressive electrocatalytical features for the films combining CB and DESs.
Table 1.
Electrochemical parameters obtained from CV assays for the different working electrodes towards DA.
3.2.1. Effects of Scan Rates: Determination of Heterogeneous Electron Transfer Rate Constant (k0)
To gain deeper insight into the electrochemical behavior of the electrodes and to extract kinetic information on the reversible oxidation of DA, CV experiments were conducted at various scan rates. Figure 5a–e show the cyclic voltammograms recorded over a scan rate range of 20 to 200 mV s−1 for the bare GCE and modified GCEs. Based on these voltammograms, plots of the anodic peak current (Ipa) vs. the square root of the scan rate (v1/2) were constructed for each electrode and are presented in Figure 5f. In all cases, a linear relationship between the Ipa vs. v1/2 was observed, suggesting that the redox process of DA is governed by diffusion mass transport, consistent with the Randles–Sevcik equation [37].
Figure 5.
Cyclic voltammograms obtained at different scan rates (1–20 mV s−1 to 8–200 mV s−1) in 0.1 mol L−1 phosphate buffer solution (pH = 7.0) in the presence of 5.0 × 10−4 mol L−1 DA using different electrodes: (a) GCE, (b) CB/GCE, (c) DES(REL)-CB/GCE, (d) DES(GLYC)-CB/GCE and (e) DES(ETHA)-CB/GCE. (f) Plots of Ipa vs. v1/2 recorded for bare GCE (●), CB/GCE (●), DES(REL)-CB/GCE (●), DES(GLYC)-CB/GCE (●) and DES(ETHA)-CB/GCE (●).
The cyclic voltammograms recorded at different scan rates were further analyzed to calculate the heterogeneous electron transfer rate constants (k0) for each electrode. For this purpose, the Nicholson–Shain equation was employed [38] (Equation (1)), which is suitable to diffusion-controlled quasi-reversible redox systems:
where Ψ is a kinetic parameter, n is the number of electrons involved in the redox reaction (n = 2), v is the scan rate, F is the Faraday constant (96,485 C mol−1), R is the universal gas constant (8.314 J K−1 mol−1) and T is the temperature (298.15 K).
THE Ψ values can be obtained using Equations (2) and (3) proposed by Lavagnini et al. [39], which relate the Ψ and the ΔEp value for each scan rate:
where β is the transfer coefficient in Equation (4), and the other terms have already been defined. Equations (2) and (3) are utilized depending on the value of n × ΔEp at each scan rate: Equation (2) is used when n × ΔEp 200 mV, and Equation (3) is utilized when n × ΔEp 200 mV. Considering n = 2 for the studied analyte [40], n × ΔEp values greater and less than 200 mV were obtained. Thus, each equation was applied to predict the Ψ values in their respective validity ranges. From the calculated Ψ values, curves of the Ψ vs. 23.66 v−1/2 were constructed for all the studied electrodes (Figure S1). The constant parameter 23.66 represents the constant terms of the Nicholson–Shain equation (i.e., (πDnF/RT)−1/2 in Equation (1)). From this, the k0 constant is directly obtained as the slope of the Ψ vs. 23.66 v−1/2 linear regressions. The values obtained for the k0 are displayed in Table 1. The GCE modified with CB and DES (glyceline or ethaline) showed better behavior, with a k0 constant 45 times higher than that obtained for the bare GCE. These results are in accordance with what is reported in the literature. For instance, an increase in the heterogeneous electron transfer rate constant was observed when materials like reduced graphene oxide (GCE) [41] and metal–organic frameworks (MOFs) (CPE—carbon paste electrode) [42] were incorporated onto the surfaces of base electrodes to determine paracetamol and dopamine, respectively. Based on these results, the next studies were carried out with the DES(ETHA)-CB/GCE as a sensor.
A very important finding from the results obtained in the studies on the electrochemical behavior of DA and the predictions of the heterogeneous charge transfer constants presented was the influence of the composition of the DES used. In this study, the identity of the HBD was changed (urea (reline), ethylene glycol (ethaline) or glycerol (glyceline)). From the results of the CV (Figure 3 and Figure 5), DPV (Figure 4) and electrochemical parameters in Table 1, the change in the identity of the DES altered the peak current intensity and charge transfer kinetics. The reasons for these effects are not obvious and may be related to changes in the film conformation, electrical conductivity and/or surface area. For instance, a previous work using XPS analysis revealed that VXC72R CB nanoparticles are composed of 91.2% carbon and 7.8% oxygen, indicating an oxygen-functionalized carbonaceous structure [43]. As a result, CB contains surface functional groups (–OH and –COOH), which enable chemical interactions such as hydrogen bonding, Van der Waals forces, and electrostatic interactions with the DES. These interactions increased the number of exposed active sites on the CB surface, thereby enhancing the electron transfer at the electrode interface [37]. This finding is of the most practical relevance in the context of developing voltammetric sensors based on natural DES and CB films.
3.2.2. EIS Study
Figure 6 displays the Nyquist diagrams recorded using the bare and modified GCEs. From the diameter of the semicircles obtained in the low-frequency region, the values of the charge transfer resistance (Rct) were predicted, these being equal to 50.76 kΩ (GCE), 15.59 kΩ (CB/GCE) and 12.72 kΩ (DES (ETHA)-CB/GCE). Thus, the electrode modified with CB and DES presented a lower charge transfer resistance, corroborating the CV results.
Figure 6.
Nyquist diagrams recorded using bare GCE, CB/GCE and DES(ETHA)-CB/GCE in 0.1 mol L−1 phosphate buffer solution (pH = 7.0) in the presence of 5.0 × 10−4 mol L−1 DA.
3.2.3. Effect of pH
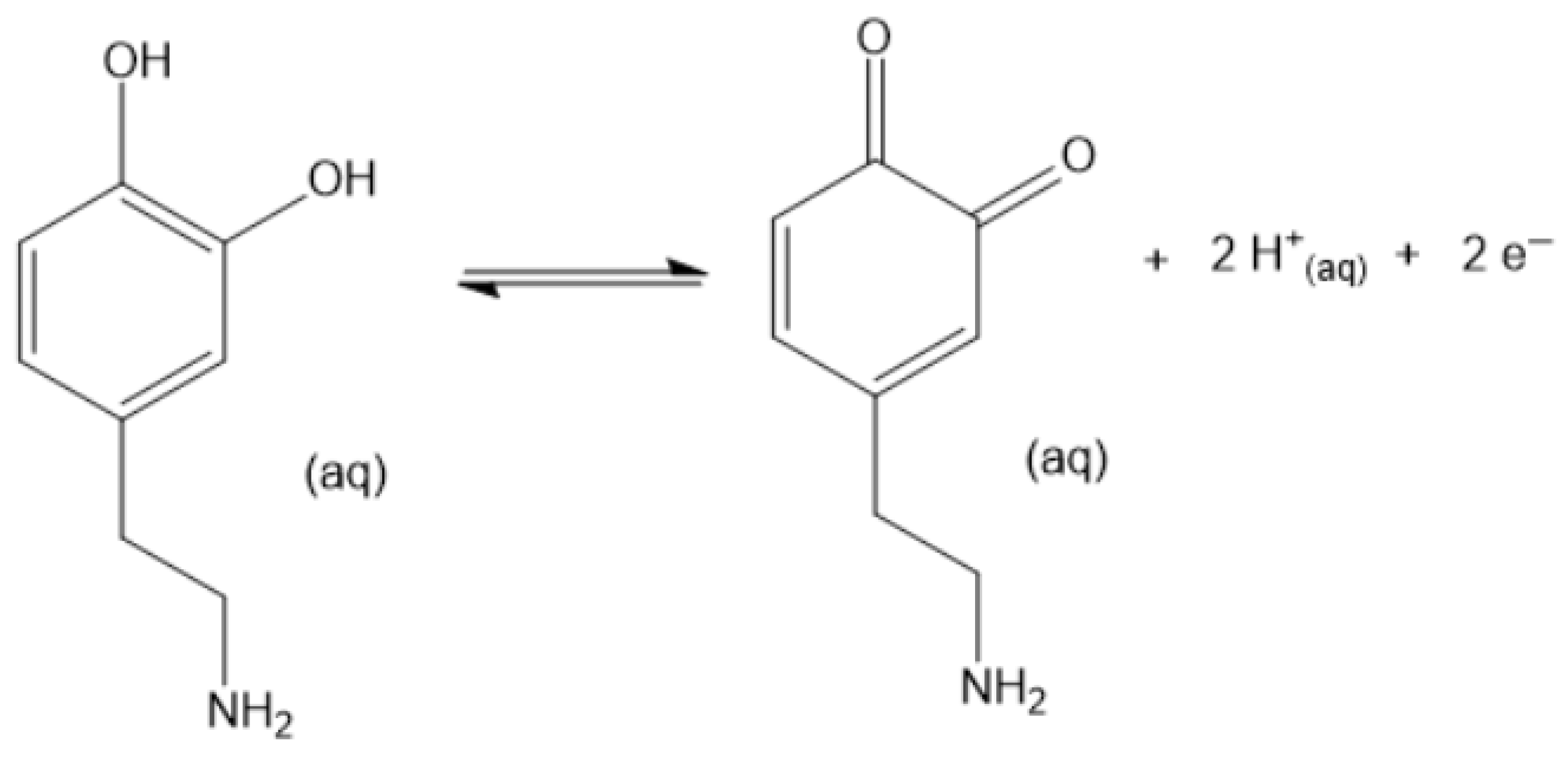
The effect of the pH on the electrochemical behavior of DA was investigated by recording its voltammetric response in 0.1 mol L−1 phosphate buffer solutions over a pH range from 2.0 to 10.0. The corresponding cyclic voltammograms along with the plots of the anodic peak current (Ipa) and anodic peak potential (Epa) vs. the pH are presented in Figure 7a–c. Among the tested pH values, the maximum peak current was observed at pH 8.0. Consequently, a phosphate buffer solution at pH 8.0 was selected for the subsequent experiments. Additionally, a linear correlation between the Epa and pH was established, with an experimental slope of −60.0 mV pH−1. This value is in close agreement with the theoretical Nernstian slope (−59.2 mV pH−1), which is characteristic of redox reactions involving equal numbers of protons and electrons [44]. This observation is consistent with the proposed redox mechanism for DA, which involves the transfer of two electrons and two protons, as illustrated in Figure 8.
Figure 7.
(a) Differential pulse voltammograms obtained in 0.1 mol L−1 phosphate buffer solution at different pHs containing 5.0 × 10−4 mol L−1 DA using DES(ETHA)-CB/GCE. DPV parameters: a = 50 mV, tm = 5 ms and v = 20 mV s−1. Plots of (b) Ipa vs. pH and (c) Epa vs. pH.
Figure 8.
Redox reaction proposed for DA [8].
3.3. Optimization of DPV Parameters
The effect of the DPV parameters on the electrochemical response of DA was systematically investigated. The parameters optimized included the amplitude (a), scan rate (v) and modulation time (tm). The optimal conditions were defined as those providing the highest peak current along with a well-resolved voltammetric profile. The selected values, along with the respective ranges explored for each parameter, are summarized in Table S1 (please see the “Supporting Information”).
3.4. Analytical Determination of Dopamine
To assess the analytical performance of the proposed sensor, an analytical curve for DA was constructed under the optimized experimental conditions established in previous investigations. The DES (ETHA)-CB/GCE sensor was employed in conjunction with DPV as the electroanalytical technique. Figure 9 presents the DPV voltammograms obtained for increasing DA concentrations. These concentrations were achieved by successive additions of small aliquots of a DA stock solution into an electrochemical cell initially containing 10 mL of 0.1 mol L−1 phosphate buffer solution at pH 8.0. A linear correlation was observed between the anodic peak current and DA concentration over the range of 4.98 × 10−7 mol L−1 to 26.8 × 10−6 mol L−1, as described by the corresponding linear regression equation:
Ip/µA = (0.47 ± 0.0708) + (2.63 ± 0.0295) c(DA)/µmol L−1, r = 0.9987
Figure 9.
(a) Differential pulse voltammograms obtained in 0.1 mol L−1 phosphate buffer solution (pH = 8.0) containing different DA concentrations (1: 0.498 µmol L−1 to 11: 26.8 µmol L−1) using the DES(ETHA)-CB-GCE sensor. DPV parameters: a = 80 mV, tm = 20 ms and v = 10 mV s−1. (b) Analytical curve recorded for DA (plot of Ipa vs. c(DA)).
The LOD and LOQ were estimated using the formulas 3 × (sb/m) and 10 × (sb/m), respectively, where sb represents the standard deviation of ten consecutive DPV measurements of the blank (supporting electrolyte solution only), and m denotes the sensitivity, defined as the slope of the initial linear segment of the analytical curve. Based on these calculations, the LOD and LOQ were determined to be 80.7 nmol L−1 and 269 nmol L−1, respectively.
Table 2 summarizes several recent studies focused on the voltammetric determination of DA. The integration of CB and DES on the GCE surface demonstrated an analytical performance comparable to that of electrodes modified with more conventional and costly nanomaterials. Notably, the proposed sensor combines a green solvent with cost-effective carbon black nanoparticles as modifying agents, highlighting its potential as an environmentally friendly and economically viable alternative.
Table 2.
Overview of voltammetric methods dedicated to the determination of DA.
3.4.1. Repeatability Tests and Interference Study
The precision of the proposed method was evaluated through the response stability of the modified electrode from an intra-day repeatability study (n = 15) and the repeatability of the sensor’s manufacturing process (n = 3) at two concentration levels within the obtained linear range (1.48 and 16.2 µmol L−1). Thus, relative standard deviations (RSDs) of 8.89 and 17.1% were obtained for the intra-day study, and RSDs of 14.6 and 11.4% were obtained for the analytical signal recorded using three different prepared modified electrodes, proving the excellent measurement precision of the proposed sensor.
In addition, to evaluate the selectivity of the proposed method, the analytical signal was assessed in the presence of substances commonly found in urine samples, at the same concentration as that of the DA. These substances were considered potential interferents, and the results are presented in Table 3. As observed, the analytical signal was not significantly affected in the presence of adrenaline, urea or Na+/K+ ions. However, the ascorbic acid (AA) and uric acid (UA) altered the sensor’s signal. Therefore, when AA and/or UA are present in the sample, a pretreatment should be applied—for instance, using selective membranes. In this context, Patrice et al. [52] developed a negatively charged hybrid bilayer membrane to modify a gold electrode. The results demonstrated the selective detection of DA in the presence of AA, even at a 109-fold higher concentration.
Table 3.
Percentage error obtained for 1.62 × 10−5 mol L−1 DA in the presence of concomitant substances typically found in urine.
3.4.2. Recovery Assays
Then, the determination of DA was carried out in synthetic urine samples. For that, it was necessary to construct analytical curves for the synthetic urine samples (Figure S2) to minimize the matrix effects. These effects can be clearly observed in the sensitivity obtained by the respective analytical curves. The analytical curve constructed for the synthetic urine sample showed a sensitivity of 0.7111 µA L µmol−1, almost four times lower than that constructed for the phosphate buffer solution (2.6327 µA L µmol−1). In this sense, the matrix effect contributed to suppressing the signal of the analyte. Table 4 presents the recovery results obtained at three concentrations levels within the obtained linear range. The recovery percentages ranged from 98.2 to 112.6%, proving the accuracy of the proposed sensor.
Table 4.
Recovery results obtained for the analysis of DA in the synthetic urine sample.
4. Conclusions
In this work, a green solvent (DES) as well as a low-cost carbonaceous nanomaterial (CB) demonstrated excellent analytical results when employed as electrode modifiers to determine the neurotransmitter DA in synthetic urine samples. Indeed, the method proves to be efficient and precise due to the exciting results obtained from the repeatability tests. The synergistic effect of the DESs and CB displayed an enhanced electrochemical performance when compared to the bare GCE, resulting in adequate analytical parameters. The k0 constants for all the electrodes studied were obtained from cyclic voltammetry at different scan rates, and it was noted that the DES (ETHA)–CB/GCE provided a 45 times higher k0 constant compared to that of the bare GCE. Moreover, the recovery assays showed results close to 100% when applied to the analysis of synthetic urine samples. All these results support the promise of the wide exploitation of the developed sensor for the development of different voltametric methods for diverse applications.
Supplementary Materials
The following supporting information can be downloaded at https://www.mdpi.com/article/10.3390/chemosensors13070254/s1, Figure S1. Graph of Ψ vs. 23.66 v−1/2 obtained in 0.1 mol L−1 phosphate buffer solution (pH = 7.0) in the presence of 5.0 × 10−4 mol L−1 DA using different electrodes (a) GCE, (b) CB/GCE, (c) DES(REL)-CB/GCE, (d) DES(GLYC)-CB/GCE and (e) DES(ETHA)-CB/GCE; Figure S2. (a) Differential pulse voltammograms obtained in synthetic urine sample (pH = 8.0) containing different DA concentrations (1: 0.498 µmol L−1 to 11: 26.8 µmol L−1) using the DES(ETHA)-CB-GCE sensor. DPV parameters: a = 80 mV; tm = 20 ms and v = 10 mV s−1. (b) Analytical curve recorded for DA (Plot of Ipa vs. c(DA)). Table S1. Optimization of DPV parameters for DA determination at concentration 5.0 × 10−4 mol L−1.
Author Contributions
A.G.R.L.: Writing, investigation and formal analysis. R.M.S.: Writing, review and editing. O.F.-F.: Methodology, Writing—review and editing, resources. T.A.S.: Writing—review and editing, supervision, resources. All authors have read and agreed to the published version of the manuscript.
Funding
This research was funded by CAPES, CNPq (Grant Numbers: 401681/2023-8, 401977/2023-4 and 407799/2022-2), Nanovida (CNPq 406079/2022-6), FAPESP (2024/04116-8) and FAPEMIG (Grant Numbers: APQ-03113-22, APQ-03572-23 and RED-00161-23.
Institutional Review Board Statement
Not applicable.
Informed Consent Statement
Not applicable.
Data Availability Statement
The data supporting this article are contained in the main text and Supplementary Material. Additional raw data are available upon request from the corresponding author.
Conflicts of Interest
The authors affirm that they have no financial or personal conflicts of interest that may have affected the content or outcomes of this study.
References
- Zhang, M.; Wang, Y.; Jiang, J.; Jiang, Y.; Song, D. The Role of Catecholamines in the Pathogenesis of Diseases and the Modified Electrodes for Electrochemical Detection of Catecholamines: A Review. Crit. Rev. Anal. Chem. 2024, 10, 1–22. [Google Scholar] [CrossRef]
- Srinivas, S.; Senthil Kumar, A. Surface-Activated Pencil Graph. Electrode for Dopamine Sensor Applications: A Critical Review. Biosensors 2023, 13, 353. [Google Scholar] [CrossRef]
- Hussain, T.; Lokhandwala, M.F. Renal Dopamine Receptor Function in Hypertension. Hypertension 1998, 32, 187–197. [Google Scholar] [CrossRef] [PubMed]
- Cramb, K.M.; Beccano-Kelly, D.; Cragg, S.J.; Wade-Martins, R. Impaired dopamine release in Parkinson’s disease. Brain 2023, 146, 3117–3132. [Google Scholar] [CrossRef]
- Pan, X.; Kaminga, A.C.; Wen, S.W.; Wu, X.; Acheampong, K.; Liu, A. Dopamine and Dopamine Receptors in Alzheimer’s Disease: A Systematic Review and Network Meta-Analysis. Front. Aging Neurosci. 2019, 11, 175. [Google Scholar] [CrossRef]
- Dailly, E.; Chenu, F.; Renard, C.E.; Bourin, M. Dopamine, depression and antidepressants. Fundam. Clin. Pharmacol. 2004, 18, 601–607. [Google Scholar] [CrossRef] [PubMed]
- Park, C.; Rhyu, H.; Jo, S.; Kang, M.H.; Kang, Y.C.; Song, W.; Myung, S. Electrochemical sensor based on laser-induced graphene and CeO2 for sensitive and selective dopamine detection. J. Electroanal. Chem. 2025, 977, 118865. [Google Scholar] [CrossRef]
- Kumar, S.; Sharma, R.; Singh, D.; Awasthi, A.; Kumar, V.; Singh, K. Tungsten sulphide decorated carbon nanotube based electroanalytical sensing of neurotransmitter dopamine. Electrochim. Acta 2024, 475, 143584. [Google Scholar] [CrossRef]
- Ren, S.; Feng, R.; Guo, T.; Cao, L.; Lv, R.; Liu, X.; Zheng, Z. Electroanalytical sensor based on CuInSe2/carbon sphere towards the non-invasive determination of dopamine. Electroanalysis 2023, 35, e202300203. [Google Scholar] [CrossRef]
- Sliesarenko, V.; Bren, U.; Lobnik, A. Fluorescence based dopamine detection. Sens. Actuators Rep. 2024, 7, 100199. [Google Scholar] [CrossRef]
- Wang, C.; Shi, H.; Yang, M.; Yan, Y.; Liu, E.; Ji, Z.; Fan, J. A novel nitrogen-doped carbon quantum dots as effective fluorescent probes for detecting dopamine. J. Photochem. Photobiol. A Chem. 2020, 391, 112374. [Google Scholar] [CrossRef]
- Pérez-Fernández, V.; Harman, D.G.; Morley, J.W.; Cameron, M.A. Optimized Method to Quantify Dopamine Turnover in the Mammalian Retina. Anal. Chem. 2017, 89, 12276–12283. [Google Scholar] [CrossRef]
- Yoon, H.J.; Kim, J.H.; Oh, M.S.; Hong, S.P.; Kwon, H.J. Simultaneous Quantification of Biogenic Amines and their Metabolites in Mice Tissue by Combining Ultraviolet and Integrated Pulsed Amperometric Detectors. J. Chromatogr. Sci. 2025, 63, bmaf004. [Google Scholar] [CrossRef]
- Lin, Z.; Abbott, J.; Karuso, P.; Wong, D.K. Advances in electroanalytical sensing of volatile organic compounds towards field-deployable detection. TrAC Trends Anal. Chem. 2025, 183, 118101. [Google Scholar] [CrossRef]
- Fredj, Z.; Singh, B.; Bahri, M.; Qin, P.; Sawan, M. Enzymatic Electrochemical Biosensors for Neurotransmitters Detection: Recent Achievements and Trends. Chemosensors 2023, 11, 388. [Google Scholar] [CrossRef]
- Karim, A.; Yasser, M.; Ahmad, A.; Natsir, H.; Wahab, A.W.; Fauziah, S.; Taba, P.; Pratama, I.; Rajab, A.; Abubakar, A.N.F.; et al. A review: Progress and trend advantage of dopamine electrochemical sensor. J. Electroanal. Chem. 2024, 959, 118157. [Google Scholar] [CrossRef]
- Wei, M.; Yuan, Y.; Chen, D.S.; Tong, W.; Lu, W.; Pan, L. A systematic review on electrochemical sensors for the detection of acetaminophen. Anal. Methods 2024, 16, 6134–6155. [Google Scholar] [CrossRef]
- Moutcine, A.; Laghlimi, C.; Ziat, Y.; El Bahraoui, S.; Belkhanchi, H.; Jouaiti, A. Advanced design of chemically modified electrodes for the electrochemical analysis of uric acid and xanthine. J. Pharm. Biomed. Anal. 2025, 253, 116536. [Google Scholar] [CrossRef]
- Vicentini, F.C.; Silva, T.A.; Fatibello-Filho, O. Carbon black electrodes applied in electroanalysis. Curr. Opin. Electrochem. 2024, 43, 101415. [Google Scholar] [CrossRef]
- Chauhan, R.; Fogel, R.; Purcarea, C.; Necula-Petrareanu, G.; Fanjul-Bolado, P.; Ibañez, D.; Vasilescu, A.; Banciu, R.M.; Limson, J. Electrochemical characterization of carbon black in different redox probes and their application in electrochemical sensing. Carbon Trends 2024, 17, 100408. [Google Scholar] [CrossRef]
- Heredia, V.; Vegas, J.; Espinoza, L.; Flores, E.; Navarro, F.; Lizama, D.; Aguirre, M.; Márquez, P.; Pizarro, J. Carbon black as a modifier for a cheap carbon paper disposable electrode for the determination of zaleplon in synthetic saliva. J. Appl. Electrochem. 2024, 55, 1371–1380. [Google Scholar] [CrossRef]
- Piñón-Balderrama, C.I.; Hernández-Escobar, C.A.; Reyes-López, S.Y.; Conejo-Dávila, A.S.; Estrada-Monje, A.; Zaragoza-Contreras, E.A. Non-Enzymatic Electrochemical Sensing of Glucose with a Carbon Black/Polyaniline/Silver Nanoparticle Composite. Chemosensors 2024, 12, 26. [Google Scholar] [CrossRef]
- Silva, I.C.; Rocha, R.G.; Oliveira, T.C.; Marra, M.C.; Arantes, L.C.; Dos Santos, W.T.; Muñoz, R.A.; Richter, E.M. Low-cost and portable 3D-printed sensor for the determination of secnidazole in pharmaceutical and seized drug samples. Anal. Methods 2025, 17, 2038–2045. [Google Scholar] [CrossRef]
- Meireles, L.M.; Silva, R.M.; da Silva, R.C.; Okumura, L.L.; Moreira, R.P.L.; Silva, T.A. Low-cost electrochemical sensor for ciprofloxacin antibiotic based on green-synthesized silver nanoparticles and carbon black. J. Solid State Electrochem. 2024, 1–12. [Google Scholar] [CrossRef]
- Maciel, J.V.; da Silveira, G.D.; Durigon, A.M.M.; Fatibello-Filho, O.; Dias, D. Use of carbon black based electrode as sensor for solid-state electrochemical studies and voltammetric determination of solid residues of lead. Talanta 2022, 236, 122881. [Google Scholar] [CrossRef]
- Pasricha, S.; Srivastava, A.; Yadav, S.; Sunny, A.; Tuwani, N.; Rangarajan, T.M.; Mittal, K. Greener media for nano catalysts in Suzuki Miyaura reaction. Coord. Chem. Rev. 2025, 528, 216431. [Google Scholar] [CrossRef]
- Lee, S.Y.; Coutinho, J.A.; Weingarten, M. Sustainable recovery of microbial-derived natural pigments using deep eutectic solvents: Advances, potential, and challenges. Sep. Purif. Technol. 2025, 361, 131413. [Google Scholar] [CrossRef]
- Mahto, B.; Ali, H.; Barhoi, A.; Hussain, S. Morphology engineering of inorganic nanocrystals with deep eutectic solvents (DESs): Current developments and future prospects. Coord. Chem. Rev. 2025, 527, 216406. [Google Scholar] [CrossRef]
- de Lima Augusto, K.K.; Gomes-Junior, P.C.; Longatto, G.P.; Piccin, E.; Cavalheiro, É.T.G.; Bernalte, E.; Banks, C.E.; Fatibello-Filho, O. Electrochemical sensor based on carbon nanohorns and hydrophobic deep eutectic solvent for the determination of serotonin in biological samples. Electrochim. Acta 2025, 520, 145836. [Google Scholar] [CrossRef]
- da Silva, W.; Queiroz, A.C.; Brett, C.M. Poly(methylene green)–Ethaline deep eutectic solvent/Fe2O3 nanoparticle modified electrode electrochemical sensor for the antibiotic dapsone. Sens. Actuators B Chem. 2020, 325, 128747. [Google Scholar] [CrossRef]
- Santana, A.P.; Mora-Vargas, J.A.; Guimaraes, T.G.; Amaral, C.D.; Oliveira, A.; Gonzalez, M.H. Sustainable synthesis of natural deep eutectic solvents (NADES) by different methods. J. Mol. Liq. 2019, 293, 111452. [Google Scholar] [CrossRef]
- Gomes, N.O.; Calegaro, M.L.; Mattoso, L.H.C.; Oliveira, O.N., Jr.; Machado, S.A.; Raymundo-Pereira, P.A. Carbon Spherical Shells Functionalized with Nitrogen as Sustainable Electrochemical Materials for Rapid Detection of Diclofenac in Saliva, Urine, Water, and Tablets. ACS. Appl. Nano Mater. 2024, 7, 27520–27530. [Google Scholar] [CrossRef]
- de Lima Augusto, K.K.; Piton, G.R.; Gomes-Júnior, P.C.; Longatto, G.P.; de Moraes, F.C.; Fatibello-Filho, O. Enhancing the electrochemical sensitivity of hydroquinone using a hydrophobic deep eutectic solvent-based carbon paste electrode. Anal. Methods 2022, 14, 2003–2013. [Google Scholar] [CrossRef] [PubMed]
- Laube, N.; Mohr, B.; Hesse, A. Laser-probe-based investigation of the evolution of particle size distributions of calcium oxalate particles formed in artificial urines. J. Cryst. Growth 2001, 233, 367–374. [Google Scholar] [CrossRef]
- Delgado-Mellado, N.; Larriba, M.; Navarro, P.; Rigual, V.; Ayuso, M.; García, J.; Rodríguez, F. Thermal stability of choline chloride deep eutectic solvents by TGA/FTIR-ATR analysis. J. Mol. Liq. 2018, 260, 37–43. [Google Scholar] [CrossRef]
- Silva, T.A.; Wong, A.; Fatibello-Filho, O. Electrochemical sensor based on ionic liquid and carbon black for voltammetric determination of Allura red colorant at nanomolar levels in soft drink powders. Talanta 2020, 209, 120588. [Google Scholar] [CrossRef]
- García-Miranda Ferrari, A.; Foster, C.W.; Kelly, P.J.; Brownson, D.A.; Banks, C.E. Determination of the Electrochemical Area of Screen-Printed Electrochemical Sensing Platforms. Biosensors 2018, 8, 53. [Google Scholar] [CrossRef]
- Nicholson, R.S.; Shain, I. Theory of Stationary Electrode Polarography Single Scan and Cyclic Methods Applied to Reversible, Irreversible, and Kinetic Systems. Anal. Chem. 1964, 36, 706–723. [Google Scholar] [CrossRef]
- Lavagnini, I.; Antiochia, R.; Magno, F. An extended method for the practical evaluation of the standard rate constant from cyclic voltammetric data. Electroanalysis 2004, 16, 505–506. [Google Scholar] [CrossRef]
- Postolović, K.S.; Radovanović, M.B.; Stanić, Z.D. Simultaneous determination of serotonin, dopamine, and ascorbic acid at a glassy carbon electrode modified with chitosan-alginate hydrogel and reduced graphene oxide. J. Electroanal. Chem. 2025, 980, 118992. [Google Scholar] [CrossRef]
- Silva, R.M.; Sperandio, G.H.; da Silva, A.D.; Okumura, L.L.; da Silva, R.C.; Moreira, R.P.L.; Silva, T.A. Electrochemically reduced graphene oxide films from Zn-C battery waste for the electrochemical determination of paracetamol and hydroquinone. Microchim. Acta 2023, 190, 273. [Google Scholar] [CrossRef]
- Ribeiro, I.S.; de Araujo Andrade, T.; Silva, T.A.; da Silva, M.J.; de Jesus, J.R. Electrochemical sensor based on coordination compound [Co(BDC)]n allows detection of catecholamine neurotransmitter associated with neurological disorder from biological samples. Microchem. J. 2024, 206, 111571. [Google Scholar] [CrossRef]
- Vicentini, F.C.; Ravanini, A.E.; Figueiredo-Filho, L.C.; Iniesta, J.; Banks, C.E.; Fatibello-Filho, O. Imparting improvements in electrochemical sensors: Evaluation of different carbon blacks that give rise to significant improvement in the performance of electroanalytical sensing platforms. Electrochim. Acta 2015, 157, 125–133. [Google Scholar] [CrossRef]
- Wang, C.; Li, C.; Wang, F.; Wang, C. Covalent modification of glassy carbon electrode with L-cysteine for the determination of acetaminophen. Microchim. Acta 2006, 155, 365–371. [Google Scholar] [CrossRef]
- Wang, X.; Ma, Y.; Zhou, Z.; Zhang, Z.; Zhang, J.; Fan, L.; Lu, X. Ultrarapid synthesis of dumbbell-shaped carbon black-doped Ce (III, IV)-MOF composites for fabrication of simultaneous electrochemical sensor of dopamine and acetaminophen. Microchem. J. 2023, 195, 109430. [Google Scholar] [CrossRef]
- Rangaswamy, R.; Manohara, S.R.; Supritha, K.M.; Kumar, N.A. Fabrication of nickel aluminate based electrochemical sensor for dopamine detection. Hybrid Adv. 2024, 6, 100221. [Google Scholar] [CrossRef]
- Baluchová, S.; Brycht, M.; Taylor, A.; Mortet, V.; Krůšek, J.; Dittert, I.; Sedláková, S.; Klimša, L.; Kopeček, J.; Schwarzová-Pecková, K. Enhancing electroanalytical performance of porous boron-doped diamond electrodes by increasing thickness for dopamine detection. Anal. Chim. Acta 2021, 1182, 338949. [Google Scholar] [CrossRef]
- Lu, K.C.; Choi, W.H.; Lee, H.L. Cu-MOF based electrochemical sensor for highly selective and simultaneous detection of dopamine, acetaminophen and ractopamine. Microchem. J. 2025, 208, 112367. [Google Scholar] [CrossRef]
- Ingrosso, C.; Corricelli, M.; Testolin, A.; Pifferi, V.; Bettazzi, F.; Bianco, G.V.; Depalo, N.; Fanizza, E.; Striccoli, M.; Palchetti, I.; et al. Au nanoparticle decorated reduced graphene oxide and its electroanalytical characterization for label free dopamine detection. Mater. Adv. 2024, 5, 549–560. [Google Scholar] [CrossRef]
- Wahyuni, W.T.; Ta’alia, S.A.H.; Akbar, A.Y.; Elvira, B.R.; Rahmawati, I.; Wahyuono, R.A.; Putra, B.R. Electrochemical sensors based on the composite of reduced graphene oxide and a multiwalled carbon nanotube-modified glassy carbon electrode for simultaneous detection of hydroquinone, dopamine, and uric acid. RSC Adv. 2024, 14, 27999–28016. [Google Scholar] [CrossRef]
- Zhou, X.; Kuang, Y.; Li, J.; Hu, S.; Cheng, C.; Wang, J.; Su, Z. Melamine-Based Nanocomposites for Selective Dopamine and Uric Acid Sensing. ACS Appl. Polym. Mater. 2023, 5, 5609–5619. [Google Scholar] [CrossRef]
- Patrice, F.T.; Zhao, L.J.; Fodjo, E.K.; Li, D.W.; Qiu, K.; Long, Y.T. Highly Sensitive and Selective Electrochemical Detection of Dopamine using Hybrid Bilayer Membranes. ChemElectroChem 2019, 6, 634–637. [Google Scholar] [CrossRef]
Disclaimer/Publisher’s Note: The statements, opinions and data contained in all publications are solely those of the individual author(s) and contributor(s) and not of MDPI and/or the editor(s). MDPI and/or the editor(s) disclaim responsibility for any injury to people or property resulting from any ideas, methods, instructions or products referred to in the content. |
© 2025 by the authors. Licensee MDPI, Basel, Switzerland. This article is an open access article distributed under the terms and conditions of the Creative Commons Attribution (CC BY) license (https://creativecommons.org/licenses/by/4.0/).








