Quantification of Argan Oil (Argania spinosa L.) Adulterated with Avocado, Flaxseed, Walnut, and Pumpkin Oils Using Fourier-Transform Infrared Spectroscopy and Advanced Chemometric and Machine Learning Techniques
Abstract
1. Introduction
2. Materials and Methods
2.1. Materials
2.2. Methods
2.2.1. Sample Preparation
2.2.2. Fourier-Transform Infrared Spectroscopic (FTIR) Analysis
2.2.3. Chemometric Methods
Design of Experiment (DoE)
Data Preprocessing
Machine Learning Algorithms
- (i)
- PLS is a technique for reducing data by transforming a large number of correlated measurable variables into a smaller set of orthogonal latent variables (i.e., the principal components). The root mean square error (RMSE) between the actual and predicted response variables was used to determine the optimal number of latent variables for this study. Mathematically, PLS involves the decomposition of A (absorbance) and C (concentration) as follows:
- (ii)
- PCR is a type of PCA-based regression analysis tool. PCR is employed to approximate the unknown regression coefficients within a standard linear regression model. Instead of conducting a straightforward regression of the dependent variable on the explanatory variables, PCR utilizes the principal components derived from the explanatory variables as predictors. PCR is categorized as a form of regularization and shrinkage estimator, given its tendency to utilize only a subset of the primary components for regression analysis. The mathematical expression for PCR is
- (iii)
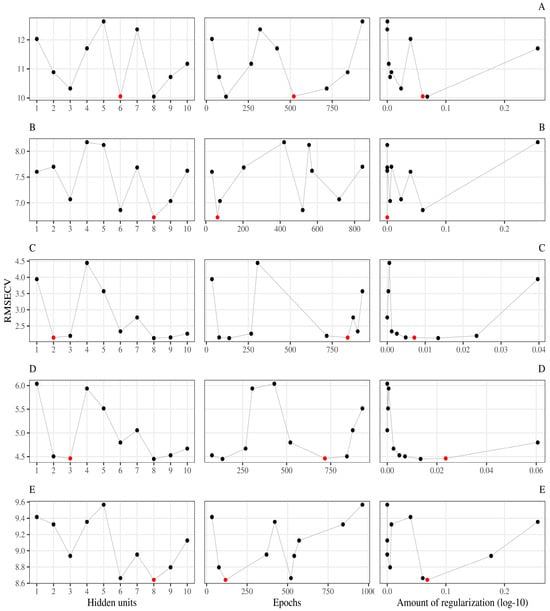
- ANN is a type of machine learning method that teaches computers to recognize patterns of input data in a way that is inspired by the neurons of the human brain. ANNs are made up of three highly interconnected layers: input, hidden, and output [48]. This model has three tuning parameters including hidden units, penalty, and epochs. Hidden units represent the number of units in the hidden layer, penalty represents the amount of regularization, and epochs represent an integer for the number of training iterations. Regularization techniques reduce overfitting by helping improve a neural network’s generalization by reducing unnecessary complexity [49]. The equation below depicts the logistic sigmoid function where i is the index of the inputs to the neuron, xi is the input to the neuron, wi is the weighting factor attached to that input, and w0 is the bias to the neuron. The same can be applied in Figure 3 with the addition of the activation function f, which is applied to the weighted sum of the inputs. In the case of this study, the input variables refer to the spectral data obtained from the FTIR analysis while the output variables refer to the various concentrations of AGO and the adulterants, namely the AVO, PSO, FSO, and WNO.
3. Results and Discussion
3.1. Spectral Profiles of AGO and Adulterants
3.2. Chemometric Analysis of Spectral Data
3.2.1. Partial Least Squares (PLS) Analysis
3.2.2. Principal Component Regression (PCR) Analysis
3.2.3. Artificial Neural Networks (ANNs)
4. Conclusions
Author Contributions
Funding
Informed Consent Statement
Data Availability Statement
Acknowledgments
Conflicts of Interest
Appendix A






| Sample No. | AGO (%) | AVO (%) | FSO (%) | PSO (%) | WNO (%) | |
|---|---|---|---|---|---|---|
| Block A | 1 | 20 | 4 | 8 | 8 | 60 |
| 2 | 20 | 4 | 8 | 60 | 8 | |
| 3 | 20 | 4 | 60 | 8 | 8 | |
| 4 | 20 | 8 | 4 | 8 | 60 | |
| 5 | 20 | 8 | 8 | 4 | 60 | |
| 6 | 20 | 8 | 8 | 60 | 4 | |
| 7 | 20 | 8 | 60 | 4 | 8 | |
| 8 | 20 | 8 | 60 | 8 | 4 | |
| 9 | 20 | 60 | 4 | 8 | 8 | |
| 10 | 20 | 60 | 8 | 4 | 8 | |
| 11 | 20 | 60 | 8 | 8 | 4 | |
| 12 | 24 | 4 | 4 | 8 | 60 | |
| 23 | 24 | 4 | 4 | 60 | 8 | |
| 14 | 24 | 4 | 8 | 4 | 60 | |
| 15 | 24 | 4 | 8 | 60 | 4 | |
| 16 | 24 | 4 | 60 | 4 | 8 | |
| 17 | 24 | 4 | 60 | 8 | 4 | |
| 18 | 24 | 8 | 4 | 4 | 60 | |
| 19 | 24 | 8 | 60 | 4 | 4 | |
| 20 | 24 | 60 | 4 | 4 | 8 | |
| 21 | 24 | 60 | 4 | 8 | 4 | |
| 22 | 24 | 60 | 8 | 4 | 4 | |
| 23 | 28 | 4 | 4 | 4 | 60 | |
| 24 | 28 | 4 | 4 | 60 | 4 | |
| 25 | 28 | 4 | 60 | 4 | 4 | |
| 26 | 28 | 60 | 4 | 4 | 4 | |
| 27 | 68 | 8 | 8 | 8 | 8 | |
| Block B | 1 | 15 | 25 | 25 | 25 | 10 |
| 2 | 10 | 25 | 20 | 25 | 20 | |
| 3 | 10 | 20 | 20 | 25 | 25 | |
| 4 | 12.5 | 12.5 | 25 | 25 | 25 | |
| 5 | 12.5 | 25 | 12.5 | 25 | 25 | |
| 6 | 15 | 20 | 25 | 25 | 15 | |
| 7 | 15 | 25 | 25 | 20 | 15 | |
| 8 | 15 | 20 | 25 | 20 | 20 | |
| 9 | 15 | 25 | 15 | 20 | 25 | |
| 10 | 18 | 18 | 18 | 21 | 25 | |
| 11 | 18 | 21 | 18 | 18 | 25 | |
| 12 | 18 | 18 | 23 | 23 | 18 | |
| 23 | 18 | 18 | 25 | 18 | 21 | |
| 14 | 18.75 | 18.75 | 25 | 18.75 | 18.75 | |
| 15 | 20 | 20 | 25 | 15 | 20 | |
| 16 | 20 | 17.5 | 17.5 | 25 | 20 | |
| 17 | 20 | 20 | 17.5 | 17.5 | 25 | |
| 18 | 20 | 10 | 20 | 25 | 25 | |
| 19 | 21 | 18 | 18 | 18 | 25 | |
| 20 | 25 | 10 | 20 | 25 | 20 | |
| 21 | 25 | 10 | 20 | 20 | 25 | |
| 22 | 25 | 25 | 25 | 10 | 15 | |
| 23 | 25 | 15 | 20 | 15 | 25 | |
| 24 | 25 | 10 | 25 | 20 | 20 | |
| 25 | 25 | 25 | 15 | 20 | 15 | |
| 26 | 25 | 25 | 25 | 20 | 5 | |
| 27 | 25 | 17.5 | 20 | 20 | 17.5 | |
| Block C | 1 | 0 | 5 | 15 | 40 | 40 |
| 2 | 0 | 5 | 40 | 15 | 40 | |
| 3 | 10 | 5 | 5 | 40 | 40 | |
| 4 | 10 | 5 | 40 | 5 | 40 | |
| 5 | 10 | 5 | 40 | 40 | 5 | |
| 6 | 10 | 40 | 5 | 5 | 40 | |
| 7 | 25 | 5 | 15 | 15 | 40 | |
| 8 | 25 | 5 | 15 | 40 | 15 | |
| 9 | 25 | 5 | 40 | 15 | 15 | |
| 10 | 25 | 15 | 15 | 40 | 5 | |
| 11 | 25 | 15 | 40 | 15 | 5 | |
| 12 | 25 | 40 | 5 | 15 | 15 | |
| 23 | 35 | 5 | 5 | 15 | 40 | |
| 14 | 35 | 5 | 15 | 5 | 40 | |
| 15 | 35 | 5 | 15 | 40 | 5 | |
| 16 | 35 | 5 | 40 | 5 | 15 | |
| 17 | 35 | 5 | 40 | 15 | 5 | |
| 18 | 35 | 15 | 40 | 5 | 5 | |
| 19 | 35 | 40 | 5 | 5 | 15 | |
| 20 | 35 | 40 | 5 | 15 | 5 | |
| 21 | 35 | 40 | 15 | 5 | 5 | |
| 22 | 45 | 5 | 5 | 5 | 40 | |
| 23 | 45 | 5 | 5 | 40 | 5 | |
| 24 | 45 | 5 | 40 | 5 | 5 | |
| 25 | 45 | 40 | 5 | 5 | 5 | |
| 26 | 70 | 5 | 5 | 5 | 15 | |
| 27 | 80 | 5 | 5 | 5 | 5 | |
| Block D | 1 | 11.2 | 26.6 | 26.6 | 9 | 26.6 |
| 2 | 20.8 | 26.6 | 13 | 13 | 26.6 | |
| 3 | 20.8 | 26.6 | 13 | 26.6 | 13 | |
| 4 | 24.8 | 9 | 13 | 26.6 | 26.6 | |
| 5 | 24.8 | 9 | 26.6 | 13 | 26.6 | |
| 6 | 24.8 | 26.6 | 13 | 26.6 | 9 | |
| 7 | 24.8 | 26.6 | 26.6 | 13 | 9 | |
| 8 | 28.8 | 9 | 9 | 26.6 | 26.6 | |
| 9 | 28.8 | 9 | 26.6 | 9 | 26.6 | |
| 10 | 28.8 | 9 | 26.6 | 26.6 | 9 | |
| 11 | 28.8 | 26.6 | 9 | 9 | 26.6 | |
| 12 | 34.4 | 26.6 | 13 | 13 | 13 | |
| 23 | 38.4 | 13 | 13 | 26.6 | 9 | |
| 14 | 38.4 | 13 | 26.6 | 13 | 9 | |
| 15 | 38.4 | 26.6 | 9 | 13 | 13 | |
| 16 | 38.4 | 26.6 | 13 | 13 | 9 | |
| 17 | 42.4 | 9 | 9 | 26.6 | 13 | |
| 18 | 42.4 | 9 | 13 | 26.6 | 9 | |
| 19 | 42.4 | 9 | 26.6 | 13 | 9 | |
| 20 | 42.4 | 13 | 26.6 | 9 | 9 | |
| 21 | 42.4 | 26.6 | 9 | 9 | 13 | |
| 22 | 42.4 | 26.6 | 13 | 9 | 9 | |
| 23 | 46.4 | 9 | 9 | 26.6 | 9 | |
| 24 | 46.4 | 9 | 26.6 | 9 | 9 | |
| 25 | 46.4 | 26.6 | 9 | 9 | 9 | |
| 26 | 60 | 9 | 9 | 9 | 13 | |
| 27 | 64 | 9 | 9 | 9 | 9 | |
| Block E | 1 | 19.6 | 15.4 | 24.8 | 15.4 | 24.8 |
| 2 | 19.6 | 15.4 | 24.8 | 24.8 | 15.4 | |
| 3 | 19.6 | 24.8 | 15.4 | 24.8 | 15.4 | |
| 4 | 19.6 | 24.8 | 24.8 | 15.4 | 15.4 | |
| 5 | 21.2 | 4.4 | 24.8 | 24.8 | 24.8 | |
| 6 | 21.2 | 24.8 | 4.4 | 24.8 | 24.8 | |
| 7 | 29 | 15.4 | 15.4 | 15.4 | 24.8 | |
| 8 | 29 | 15.4 | 15.4 | 24.8 | 15.4 | |
| 9 | 29 | 15.4 | 24.8 | 15.4 | 15.4 | |
| 10 | 29 | 24.8 | 15.4 | 15.4 | 15.4 | |
| 11 | 30.6 | 4.4 | 24.8 | 15.4 | 24.8 | |
| 12 | 30.6 | 24.8 | 4.4 | 15.4 | 24.8 | |
| 23 | 40 | 15.4 | 4.4 | 24.8 | 15.4 | |
| 14 | 40 | 15.4 | 24.8 | 4.4 | 15.4 | |
| 15 | 41.6 | 4.4 | 24.8 | 24.8 | 4.4 | |
| 16 | 41.6 | 24.8 | 4.4 | 4.4 | 24.8 | |
| 17 | 41.6 | 24.8 | 24.8 | 4.4 | 4.4 | |
| 18 | 49.4 | 15.4 | 4.4 | 15.4 | 15.4 | |
| 19 | 49.4 | 15.4 | 15.4 | 15.4 | 4.4 | |
| 20 | 51 | 15.4 | 4.4 | 24.8 | 4.4 | |
| 21 | 60.4 | 4.4 | 4.4 | 15.4 | 15.4 | |
| 22 | 60.4 | 4.4 | 15.4 | 15.4 | 4.4 | |
| 23 | 60.4 | 15.4 | 4.4 | 15.4 | 4.4 | |
| 24 | 60.4 | 15.4 | 15.4 | 4.4 | 4.4 | |
| 25 | 71.4 | 4.4 | 4.4 | 15.4 | 4.4 | |
| 26 | 71.4 | 4.4 | 15.4 | 4.4 | 4.4 | |
| 27 | 71.4 | 15.4 | 4.4 | 4.4 | 4.4 | |
| Block F | 1 | 0 | 13 | 29 | 29 | 29 |
| 2 | 0 | 29 | 13 | 29 | 29 | |
| 3 | 6 | 7 | 29 | 29 | 29 | |
| 4 | 6 | 29 | 7 | 29 | 29 | |
| 5 | 6 | 29 | 29 | 29 | 7 | |
| 6 | 16 | 13 | 29 | 13 | 29 | |
| 7 | 16 | 13 | 29 | 29 | 13 | |
| 8 | 16 | 29 | 29 | 13 | 13 | |
| 9 | 22 | 7 | 29 | 29 | 13 | |
| 10 | 22 | 13 | 29 | 7 | 29 | |
| 11 | 22 | 29 | 7 | 13 | 29 | |
| 12 | 22 | 29 | 7 | 29 | 13 | |
| 23 | 32 | 13 | 13 | 13 | 29 | |
| 14 | 32 | 13 | 13 | 29 | 13 | |
| 15 | 32 | 13 | 29 | 13 | 13 | |
| 16 | 32 | 29 | 13 | 13 | 13 | |
| 17 | 38 | 13 | 7 | 29 | 13 | |
| 18 | 44 | 13 | 7 | 29 | 7 | |
| 19 | 54 | 7 | 13 | 13 | 13 | |
| 20 | 54 | 13 | 7 | 13 | 13 | |
| 21 | 54 | 13 | 13 | 13 | 7 | |
| 22 | 60 | 7 | 7 | 13 | 13 | |
| 23 | 60 | 13 | 7 | 13 | 7 | |
| 24 | 60 | 13 | 13 | 7 | 7 | |
| 25 | 66 | 7 | 7 | 13 | 7 | |
| 26 | 66 | 7 | 13 | 7 | 7 | |
| 27 | 66 | 13 | 7 | 7 | 7 | |
| Block G | 1 | 20 | 20 | 20 | 20 | 20 |
| 2 | 31.12 | 8.88 | 20 | 20 | 20 | |
| 3 | 31.12 | 20 | 20 | 8.88 | 20 | |
| 4 | 31.12 | 20 | 20 | 20 | 8.88 | |
| 5 | 42.24 | 8.88 | 20 | 8.88 | 20 | |
| 6 | 48.66 | 2.46 | 20 | 20 | 8.88 | |
| 7 | 48.66 | 8.88 | 2.46 | 20 | 20 | |
| 8 | 48.66 | 8.88 | 20 | 2.46 | 20 | |
| 9 | 48.66 | 8.88 | 20 | 20 | 2.46 | |
| 10 | 48.66 | 20 | 2.46 | 20 | 8.88 | |
| 11 | 48.66 | 20 | 8.88 | 2.46 | 20 | |
| 12 | 48.66 | 20 | 8.88 | 20 | 2.46 | |
| 23 | 53.36 | 8.88 | 8.88 | 20 | 8.88 | |
| 14 | 55.08 | 20 | 2.46 | 20 | 2.46 | |
| 15 | 55.08 | 2.46 | 2.46 | 20 | 20 | |
| 16 | 59.78 | 8.88 | 2.46 | 20 | 8.88 | |
| 17 | 66.2 | 8.88 | 2.46 | 20 | 2.46 | |
| 18 | 70.9 | 2.46 | 8.88 | 8.88 | 8.88 | |
| 19 | 70.9 | 8.88 | 2.46 | 8.88 | 8.88 | |
| 20 | 70.9 | 8.88 | 8.88 | 8.88 | 2.46 | |
| 21 | 77.32 | 2.46 | 2.46 | 8.88 | 8.88 | |
| 22 | 77.32 | 8.88 | 2.46 | 2.46 | 8.88 | |
| 23 | 77.32 | 8.88 | 2.46 | 8.88 | 2.46 | |
| 24 | 77.32 | 8.88 | 8.88 | 2.46 | 2.46 | |
| 25 | 83.74 | 2.46 | 2.46 | 8.88 | 2.46 | |
| 26 | 83.74 | 2.46 | 8.88 | 2.46 | 2.46 | |
| 27 | 83.74 | 8.88 | 2.46 | 2.46 | 2.46 | |
| Block H | 1 | 28.08 | 17.98 | 17.98 | 17.98 | 17.98 |
| 2 | 32.08 | 13.98 | 17.98 | 17.98 | 17.98 | |
| 3 | 32.08 | 17.98 | 13.98 | 17.98 | 17.98 | |
| 4 | 32.08 | 17.98 | 17.98 | 13.98 | 17.98 | |
| 5 | 32.08 | 17.98 | 17.98 | 17.98 | 13.98 | |
| 6 | 34.08 | 17.98 | 17.98 | 11.98 | 17.98 | |
| 7 | 36.08 | 13.98 | 13.98 | 17.98 | 17.98 | |
| 8 | 36.08 | 13.98 | 17.98 | 17.98 | 13.98 | |
| 9 | 36.08 | 17.98 | 13.98 | 13.98 | 17.98 | |
| 10 | 38.08 | 11.98 | 17.98 | 17.98 | 13.98 | |
| 11 | 38.08 | 13.98 | 11.98 | 17.98 | 17.98 | |
| 12 | 38.08 | 13.98 | 17.98 | 11.98 | 17.98 | |
| 23 | 38.08 | 13.98 | 17.98 | 17.98 | 11.98 | |
| 14 | 38.08 | 17.98 | 13.98 | 11.98 | 17.98 | |
| 15 | 38.08 | 17.98 | 17.98 | 11.98 | 13.98 | |
| 16 | 40.08 | 13.98 | 13.98 | 13.98 | 17.98 | |
| 17 | 40.08 | 17.98 | 11.98 | 17.98 | 11.98 | |
| 18 | 40.08 | 17.98 | 17.98 | 11.98 | 11.98 | |
| 19 | 42.08 | 13.98 | 11.98 | 13.98 | 17.98 | |
| 20 | 42.08 | 13.98 | 13.98 | 11.98 | 17.98 | |
| 21 | 42.08 | 17.98 | 13.98 | 11.98 | 13.98 | |
| 22 | 44.08 | 13.98 | 13.98 | 13.98 | 13.98 | |
| 23 | 44.08 | 13.98 | 17.98 | 11.98 | 11.98 | |
| 24 | 46.08 | 11.98 | 13.98 | 13.98 | 13.98 | |
| 25 | 46.08 | 13.98 | 13.98 | 11.98 | 13.98 | |
| 26 | 48.08 | 11.98 | 13.98 | 11.98 | 13.98 | |
| 27 | 48.08 | 13.98 | 11.98 | 11.98 | 13.98 | |
| Block I | 1 | 29.04 | 17.74 | 17.74 | 17.74 | 17.74 |
| 2 | 37.04 | 17.74 | 9.74 | 17.74 | 17.74 | |
| 3 | 37.04 | 17.74 | 17.74 | 9.74 | 17.74 | |
| 4 | 37.04 | 17.74 | 17.74 | 17.74 | 9.74 | |
| 5 | 41.04 | 17.74 | 17.74 | 5.74 | 17.74 | |
| 6 | 41.04 | 17.74 | 17.74 | 17.74 | 5.74 | |
| 7 | 45.04 | 9.74 | 9.74 | 17.74 | 17.74 | |
| 8 | 45.04 | 17.74 | 9.74 | 9.74 | 17.74 | |
| 9 | 45.04 | 17.74 | 17.74 | 9.74 | 9.74 | |
| 10 | 49.04 | 17.74 | 5.74 | 17.74 | 9.74 | |
| 11 | 49.04 | 17.74 | 9.74 | 5.74 | 17.74 | |
| 12 | 49.04 | 17.74 | 9.74 | 17.74 | 5.74 | |
| 23 | 49.04 | 17.74 | 17.74 | 5.74 | 9.74 | |
| 14 | 53.04 | 17.74 | 5.74 | 17.74 | 5.74 | |
| 15 | 53.04 | 17.74 | 17.74 | 5.74 | 5.74 | |
| 16 | 57.04 | 9.74 | 9.74 | 17.74 | 5.74 | |
| 17 | 57.04 | 9.74 | 17.74 | 5.74 | 9.74 | |
| 18 | 57.04 | 17.74 | 5.74 | 9.74 | 9.74 | |
| 19 | 57.04 | 17.74 | 9.74 | 5.74 | 9.74 | |
| 20 | 57.04 | 17.74 | 9.74 | 9.74 | 5.74 | |
| 21 | 61.04 | 9.74 | 9.74 | 9.74 | 9.74 | |
| 22 | 61.04 | 17.74 | 5.74 | 5.74 | 9.74 | |
| 23 | 61.04 | 17.74 | 5.74 | 9.74 | 5.74 | |
| 24 | 61.04 | 17.74 | 9.74 | 5.74 | 5.74 | |
| 25 | 65.04 | 17.74 | 5.74 | 5.74 | 5.74 | |
| 26 | 69.04 | 5.74 | 9.74 | 5.74 | 9.74 | |
| 27 | 69.04 | 9.74 | 5.74 | 5.74 | 9.74 |
| Sample No. | AGO (%) | AVO (%) | FSO (%) | PSO (%) | WNO (%) | |
|---|---|---|---|---|---|---|
| Block A | 1 | 20 | 4 | 8 | 8 | 60 |
| 2 | 20 | 4 | 8 | 60 | 8 | |
| 3 | 20 | 4 | 60 | 8 | 8 | |
| 4 | 20 | 8 | 4 | 8 | 60 | |
| 5 | 20 | 8 | 8 | 4 | 60 | |
| 6 | 20 | 8 | 8 | 60 | 4 | |
| 7 | 20 | 8 | 60 | 4 | 8 | |
| 8 | 20 | 8 | 60 | 8 | 4 | |
| 9 | 20 | 60 | 4 | 8 | 8 | |
| 10 | 20 | 60 | 8 | 4 | 8 | |
| 11 | 20 | 60 | 8 | 8 | 4 | |
| 12 | 24 | 4 | 4 | 8 | 60 | |
| 23 | 24 | 4 | 4 | 60 | 8 | |
| 14 | 24 | 4 | 8 | 4 | 60 | |
| 15 | 24 | 4 | 8 | 60 | 4 | |
| 16 | 24 | 4 | 60 | 4 | 8 | |
| 17 | 24 | 4 | 60 | 8 | 4 | |
| 18 | 24 | 8 | 4 | 4 | 60 | |
| 19 | 24 | 8 | 60 | 4 | 4 | |
| 20 | 24 | 60 | 4 | 4 | 8 | |
| 21 | 24 | 60 | 4 | 8 | 4 | |
| 22 | 24 | 60 | 8 | 4 | 4 | |
| Block B | 1 | 20 | 4 | 8 | 8 | 60 |
| 2 | 20 | 4 | 8 | 60 | 8 | |
| 3 | 20 | 4 | 60 | 8 | 8 | |
| 4 | 20 | 8 | 4 | 8 | 60 | |
| 5 | 20 | 8 | 8 | 4 | 60 | |
| 6 | 20 | 8 | 8 | 60 | 4 | |
| 7 | 20 | 8 | 60 | 4 | 8 | |
| 8 | 20 | 8 | 60 | 8 | 4 | |
| 9 | 20 | 60 | 4 | 8 | 8 | |
| 10 | 20 | 60 | 8 | 4 | 8 | |
| 11 | 20 | 60 | 8 | 8 | 4 | |
| 12 | 24 | 4 | 4 | 8 | 60 | |
| 23 | 24 | 4 | 4 | 60 | 8 | |
| 14 | 24 | 4 | 8 | 4 | 60 | |
| 15 | 24 | 4 | 8 | 60 | 4 | |
| 16 | 24 | 4 | 60 | 4 | 8 | |
| 17 | 24 | 4 | 60 | 8 | 4 | |
| 18 | 24 | 8 | 4 | 4 | 60 | |
| 19 | 24 | 8 | 60 | 4 | 4 | |
| 20 | 24 | 60 | 4 | 4 | 8 | |
| 21 | 24 | 60 | 4 | 8 | 4 | |
| 22 | 24 | 60 | 8 | 4 | 4 |
| Factor | LV | RMSECV (%v/v) | R2 | RPD |
|---|---|---|---|---|
| AGO | 5 | 9.835 | 0.707 | 1.851 |
| AVO | 4 | 6.873 | 0.598 | 1.577 |
| FSO | 5 | 1.959 | 0.972 | 6.003 |
| PSO | 8 | 4.840 | 0.793 | 2.190 |
| WNO | 8 | 7.630 | 0.583 | 1.538 |
| Factor | LV | RMSEP (%v/v) | R2 | RPD |
|---|---|---|---|---|
| AGO | 5 | 15.444 | 0.675 | 0.731 |
| AVO | 4 | 7.643 | 0.244 | 0.473 |
| FSO | 5 | 1.727 | 0.807 | 1.940 |
| PSO | 8 | 3.463 | 0.687 | 1.035 |
| WNO | 8 | 7.323 | 0.0299 | 0.443 |
| Factor | LV | RMSECV (%v/v) | R2 | RPD |
|---|---|---|---|---|
| AGO | 9 | 12.568 | 0.525 | 1.449 |
| AVO | 6 | 7.475 | 0.523 | 1.450 |
| FSO | 7 | 2.100 | 0.969 | 5.600 |
| PSO | 9 | 7.640 | 0.505 | 1.387 |
| WNO | 7 | 8.833 | 0.431 | 1.328 |
| Factor | LV | RMSEP (%v/v) | R2 | RPD |
|---|---|---|---|---|
| AGO | 9 | 18.462 | 0.778 | 0.611 |
| AVO | 6 | 9.917 | 0.120 | 0.364 |
| FSO | 7 | 1.731 | 0.846 | 1.935 |
| PSO | 9 | 5.122 | 0.437 | 0.700 |
| WNO | 7 | 6.585 | 0.181 | 0.492 |
| Hidden Units (Size) * | Penalty (Decay) ** | Epochs (Maxit) *** | RMSECV (%v/v) | R2 | |
|---|---|---|---|---|---|
| AGO | 6 | 6.060 × 10−2 | 521 | 10.054 | 0.691 |
| AVO | 8 | 1.446 × 10−10 | 63 | 6.720 | 0.548 |
| FSO | 2 | 7.135 × 10−3 | 842 | 2.140 | 0.961 |
| PSO | 3 | 2.354 × 10−2 | 717 | 4.462 | 0.811 |
| WNO | 8 | 6.830 × 10−2 | 117 | 8.642 | 0.409 |
| Factor | RMSEP (%v/v) | R2 | Hidden Units (Size) * | Penalty (Decay) ** | Epoch (Maxit) *** |
|---|---|---|---|---|---|
| AGO | 15.959 | 0.733 | 6 | 6.060 × 10−2 | 521 |
| AVO | 7.896 | 0.126 | 8 | 1.446 × 10−10 | 63 |
| FSO | 1.454 | 0.821 | 2 | 7.135 × 10−3 | 842 |
| PSO | 1.931 | 0.812 | 3 | 2.354 × 10−2 | 717 |
| WNO | 7.889 | 0.0186 | 8 | 6.830 × 10−2 | 117 |
References
- Lin, T.-K.; Zhong, L.; Santiago, J.L. Anti-Inflammatory and Skin Barrier Repair Effects of Topical Application of Some Plant Oils. Int. J. Mol. Sci. 2017, 19, 70. [Google Scholar] [CrossRef] [PubMed]
- Fact, M.R. Plant-Based Skincare Products Market Outlook (2023 to 2033). Available online: https://www.factmr.com/report/plant-based-skincare-products-market (accessed on 14 June 2024).
- Gharby, S.; Charrouf, Z. Argan Oil: Chemical Composition, Extraction Process, and Quality Control. Front. Nutr. 2021, 8, 804587. [Google Scholar] [CrossRef] [PubMed]
- Boucetta, K.Q.; Charrouf, Z.; Aguenaou, H.; Derouiche, A.; Bensouda, Y. The Effect of Dietary and/or Cosmetic Argan Oil on Postmenopausal Skin Elasticity. Clin. Interv. Aging 2015, 10, 339–349. [Google Scholar] [CrossRef] [PubMed]
- Das, U.N. Essential Fatty Acid Metabolism in Patients with Essential Hypertension, Diabetes Mellitus and Coronary Heart Disease. Prostaglandins Leukot. Essent. Fat. Acids 1995, 52, 387–391. [Google Scholar] [CrossRef] [PubMed]
- Berrada, Y.; Settaf, A.; Baddouri, K.; Cherrah, A.; Hassar, M. Experimental evidence of an antihypertensive and hypocholesterolemic effect of oil of argan, Argania sideroxylon. Therapie 2000, 55, 375–378. [Google Scholar]
- Berrougui, H.; de Sotomayor, M.A.; Pérez-Guerrero, C.; Ettaib, A.; Hmamouchi, M.; Marhuenda, E.; Herrera, M.D. Argan (Argania spinosa) Oil Lowers Blood Pressure and Improves Endothelial Dysfunction in Spontaneously Hypertensive Rats. Br. J. Nutr. 2004, 92, 921–929. [Google Scholar] [CrossRef]
- Takada, R.; Saitoh, M.; Mori, T. Dietary γ-Linolenic Acid-Enriched Oil Reduces Body Fat Content and Induces Liver Enzyme Activities Relating to Fatty Acid β-Oxidation in Rats1,2. J. Nutr. 1994, 124, 469–474. [Google Scholar] [CrossRef]
- Drissi, A.; Girona, J.; Cherki, M.; Godàs, G.; Derouiche, A.; Messal, M.E.; Saile, R.; Kettani, A.; Solà, R.; Masana, L.; et al. Evidence of Hypolipemiant and Antioxidant Properties of Argan Oil Derived from the Argan Tree (Argania spinosa). Clin. Nutr. 2004, 23, 1159–1166. [Google Scholar] [CrossRef]
- Vamecq, J.; Andreoletti, P.; El Kebbaj, R.; Saih, F.-E.; Latruffe, N.; El Kebbaj, M.H.S.; Lizard, G.; Nasser, B.; Cherkaoui-Malki, M. Peroxisomal Acyl-CoA Oxidase Type 1: Anti-Inflammatory and Anti-Aging Properties with a Special Emphasis on Studies with LPS and Argan Oil as a Model Transposable to Aging. Oxidative Med. Cell. Longev. 2018, 2018, 6986984. [Google Scholar] [CrossRef]
- Bellahcen, S.; Hakkou, Z.; Ziyyat, A.; Legssyer, A.; Mekhfi, H.; Aziz, M.; Bnouham, M. Antidiabetic and antihypertensive effect of Virgin Argan Oil in Model of Neonatal Streptozotocin-Induced Diabetic and l-Nitroarginine Methylester (l-NAME) Hypertensive Rats. J. Complement. Integr. Med. 2013, 10, 29–36. [Google Scholar] [CrossRef]
- Samane, S.; Christon, R.; Dombrowski, L.; Turcotte, S.; Charrouf, Z.; Lavigne, C.; Levy, E.; Bachelard, H.; Amarouch, H.; Marette, A.; et al. Fish Oil and Argan Oil Intake Differently Modulate Insulin Resistance and Glucose Intolerance in a Rat Model of Dietary-Induced Obesity. Metab. Clin. Exp. 2009, 58, 909–919. [Google Scholar] [CrossRef] [PubMed]
- Cherki, M.; Berrougui, H.; Drissi, A.; Adlouni, A.; Khalil, A. Argan Oil: Which Benefits on Cardiovascular Diseases? Pharmacol. Res. 2006, 54, 1–5. [Google Scholar] [CrossRef] [PubMed]
- Charrouf, Z.; Hamchi, H.E.; Mallia, S.; Licitra, G.; Guillaume, D. Influence of Roasting and Seed Collection on Argan Oil Odorant Composition. Nat. Prod. Commun. 2006, 1, 1934578X0600100511. [Google Scholar] [CrossRef]
- Chen, X.; Touyz, R.M.; Park, J.B.; Schiffrin, E.L. Antioxidant Effects of Vitamins C and E Are Associated with Altered Activation of Vascular NADPH Oxidase and Superoxide Dismutase in Stroke-Prone SHR. Hypertension 2001, 38, 606–611. [Google Scholar] [CrossRef]
- Charrouf, Z.; Guillaume, D. Secondary Metabolites from Argania spinosa (L.) Skeels. Phytochem. Rev. 2002, 1, 345–354. [Google Scholar] [CrossRef]
- Saleem, M.; Kaur, S.; Kweon, M.-H.; Adhami, V.M.; Afaq, F.; Mukhtar, H. Lupeol, a Fruit and Vegetable Based Triterpene, Induces Apoptotic Death of Human Pancreatic Adenocarcinoma Cells via Inhibition of Ras Signaling Pathway. Carcinogenesis 2005, 26, 1956–1964. [Google Scholar] [CrossRef]
- Aribi, B.; Zerizer, S.; Kabouche, Z.; Screpanti, I.; Palermo, R. Effect of Argania spinosa Oil Extract on Proliferation and Notch1 and ERK1/2 Signaling of T-Cell Acute Lymphoblastic Leukemia Cell Lines. Food Agric. Immunol. 2016, 27, 350–357. [Google Scholar] [CrossRef]
- Gysin, R.; Azzi, A.; Visarius, T. γ-Tocopherol Inhibits Human Cancer Cell Cycle Progression and Cell Proliferation by Down-Regulation of Cyclins. FASEB J. 2002, 16, 1952–1954. [Google Scholar] [CrossRef]
- Jiang, Q.; Elson-Schwab, I.; Courtemanche, C.; Ames, B.N. γ-Tocopherol And Its Major Metabolite, in Contrast to A-Tocopherol, Inhibit Cyclooxygenase Activity in Macrophages and Epithelial Cells. Proc. Natl. Acad. Sci. USA 2000, 97, 11494–11499. [Google Scholar] [CrossRef]
- Christen, S.; Woodall, A.A.; Shigenaga, M.K.; Southwell-Keely, P.T.; Duncan, M.W.; Ames, B.N. γ-Tocopherol Traps Mutagenic Electrophiles such as NOx and Complements α-Tocopherol: Physiological Implications. Proc. Natl. Acad. Sci. USA 1997, 94, 3217–3222. [Google Scholar] [CrossRef]
- Clément, S.A.; Tan, C.C.; Guo, J.; Kitta, K.; Suzuki, Y.J. Roles of Protein Kinase C and α-Tocopherol in Regulation of Signal Transduction for GATA-4 Phosphorylation in HL-1 Cardiac Muscle Cells. Free Radic. Biol. Med. 2002, 32, 341–349. [Google Scholar] [CrossRef] [PubMed]
- Mohammed, F.; Guillaume, D.; Warland, J.; Abdulwali, N. Analytical Methods to Detect Adulteration of Argan Oil: A Critical Review. Microchem. J. 2021, 168, 106501. [Google Scholar] [CrossRef]
- Gonzálvez, A.; Armenta, S.; de la Guardia, M. Adulteration Detection of Argan Oil by Inductively Coupled Plasma Optical Emission Spectrometry. Food Chem. 2010, 121, 878–886. [Google Scholar] [CrossRef]
- Hilali, M.; Charrouf, Z.; Soulhi, A.E.A.; Hachimi, L.; Guillaume, D. Detection of Argan Oil Adulteration Using Quantitative Campesterol GC-Analysis. J. Am. Oil Chem. Soc. 2007, 84, 761–764. [Google Scholar] [CrossRef]
- Kharbach, M.; Kamal, R.; Bousrabat, M.; Alaoui Mansouri, M.; Barra, I.; Alaoui, K.; Cherrah, Y.; Vander Heyden, Y.; Bouklouze, A. Characterization and Classification of PGI Moroccan Argan Oils Based on Their FTIR Fingerprints and Chemical Composition. Chemom. Intell. Lab. Syst. 2017, 162, 182–190. [Google Scholar] [CrossRef]
- Tachie, C.Y.E.; Obiri-Ananey, D.; Alfaro-Cordoba, M.; Tawiah, N.A.; Aryee, A.N.A. Classification of Oils and Margarines by FTIR Spectroscopy in Tandem with Machine Learning. Food Chem. 2024, 431, 137077. [Google Scholar] [CrossRef]
- Sohng, W.; Park, Y.; Jang, D.; Cha, K.; Jung, Y.M.; Chung, H. Incorporation of Two-Dimensional Correlation Analysis into Discriminant Analysis as a Potential Tool for Improving Discrimination Accuracy: Near-Infrared Spectroscopic Discrimination of Adulterated Olive Oils. Talanta 2020, 212, 120748. [Google Scholar] [CrossRef]
- Taous, F.; El Ghali, T.; Marah, H.; Laraki, K.; Islam, M.; Cannavan, A.; Kelly, S. Geographical Classification of Authentic Moroccan Argan Oils and the Rapid Detection of Soya and Sunflower Oil Adulteration with ATR-FTIR Spectroscopy and Chemometrics. Food Anal. Methods 2022, 15, 3032–3044. [Google Scholar] [CrossRef]
- Lenth, R. Rsm: Response-Surface Analysis, R Package Version 2.10.5. 2024. Available online: https://cran.r-project.org/web/packages/rsm/index.html (accessed on 15 December 2024).
- Groemping, U.; Amarov, B.; Xu, H. DoE.Base: Full Factorials, Orthogonal Arrays and Base Utilities for DoE Packages, R Package Version 1.2-4; 2023. Available online: https://cran.r-project.org/web/packages/DoE.base/index.html/ (accessed on 15 December 2024).
- Banik, B. Green Approaches in Medicinal Chemistry for Sustainable Drug Design: Methods; Elsevier: Amsterdam, The Netherlands, 2024; ISBN 978-0-443-16165-0. [Google Scholar]
- Amiri, A.; Mirzaei, M. Metal–Organic Frameworks in Analytical Chemistry; Royal Society of Chemistry: London, UK, 2023; ISBN 978-1-83916-749-2. [Google Scholar]
- Silva, V.; Cardoso, J.S. Response Surface Methods—Theory, Applications and Optimization Techniques: Theory, Applications and Optimization Techniques; IntechOpen: London, UK, 2024; ISBN 978-0-85466-767-3. [Google Scholar]
- Ragonese, R.; Macka, M.; Hughes, J.; Petocz, P. The Use of the Box–Behnken Experimental Design in the Optimisation and Robustness Testing of a Capillary Electrophoresis Method for the Analysis of Ethambutol Hydrochloride in a Pharmaceutical Formulation. J. Pharm. Biomed. Anal. 2002, 27, 995–1007. [Google Scholar] [CrossRef]
- Locatelli, M.; Samanidou, V. Advances in Chemical Analysis Procedures (Part II): Statistical and Chemometric Approaches; MDPI: Basel, Switzerland, 2021; ISBN 978-3-03936-786-3. [Google Scholar]
- Haaland, D.M.; Thomas, E.V. Partial Least-Squares Methods for Spectral Analyses. 1. Relation to Other Quantitative Calibration Methods and the Extraction of Qualitative Information. Anal. Chem. 1988, 60, 1193–1202. [Google Scholar] [CrossRef]
- Hahsler, M.; Piekenbrock, M.; Arya, S.; Mount, D. Dbscan: Density-Based Spatial Clustering of Applications with Noise (DBSCAN) and Related Algorithms, R Package Version 1.2.1; 2024. Available online: https://cran.r-project.org/web/packages/dbscan/index.html (accessed on 15 December 2024).
- R Core Team R: A Language and Environment For statistical Computing 2021; R Foundation for Statistical Computing: Vienna, Austria, 2021.
- RStudio Team RStudio: Integrated Development for R 2020; R Foundation for Statistical Computing: Vienna, Austria, 2020.
- National Institute of Standards and Technology Full Factorial Designs. Available online: https://www.itl.nist.gov/div898/handbook/pri/section3/pri333.htm (accessed on 18 April 2024).
- National Institute of Standards and Technology Box-Behnken Designs. Available online: https://www.itl.nist.gov/div898/handbook/pri/section3/pri3362.htm (accessed on 18 April 2024).
- Stevens, A.; Ramirez-Lopez, L. Prospectr: Miscellaneous Functions for Processing and Sample Selection of Spectroscopic Data, R Package Version 0.2.7; 2024. Available online: https://cran.r-project.org/web/packages/prospectr/index.html (accessed on 15 December 2024).
- Charrouf, Z. The Argan Tree, an Asset for Morocco. Biofutur 1999, 220, 54–57. [Google Scholar]
- Cobbinah, E.; Generalao, O.B.; Ke, G.; Malaluan, R.; Lubguban, A.; Dumancas, G.G. A Rapid Analytical Method for Turmeric Essential Oil Authentication Using Mid-Infrared Spectroscopy and Chemometrics. J. Food Compos. Anal. 2024, 129, 106102. [Google Scholar] [CrossRef]
- Otto, M. Chemometrics: Statistics and Computer Application in Analytical Chemistry; John Wiley & Sons: Hoboken, NJ, USA, 2016; ISBN 978-3-527-34097-2. [Google Scholar]
- Liland, K.H.; Mevik, B.-H.; Wehrens, R.; Hiemstra, P. Pls: Partial Least Squares and Principal Component Regression, R Package Version 2.8-5; 2024. Available online: https://cran.r-project.org/web/packages/pls/index.html (accessed on 15 December 2024).
- Park, Y.-S.; Lek, S. Chapter 7—Artificial Neural Networks: Multilayer Perceptron for Ecological Modeling. In Developments in Environmental Modelling; Jørgensen, S.E., Ed.; Ecological Model Types; Elsevier: Amsterdam, The Netherlands, 2016; Volume 28, pp. 123–140. [Google Scholar]
- Priya, B. Regularization in Neural Networks. Available online: https://www.pinecone.io/learn/regularization-in-neural-networks/ (accessed on 6 April 2024).
- Kuhn, M.; Vaughan, D.; Hvitfeldt, E.; Software, P.; PBC. parsnip: A Common API to Modeling and Analysis Functions, R Package Version 1.2.1; 2024. Available online: https://cran.r-project.org/web/packages/parsnip/index.html (accessed on 15 December 2024).
- Chang, C.-W.; Laird, D.A.; Mausbach, M.J.; Hurburgh, C.R. Near-Infrared Reflectance Spectroscopy–Principal Components Regression Analyses of Soil Properties. Soil Sci. Soc. Am. J. 2001, 65, 480–490. [Google Scholar] [CrossRef]
- Faber, N.M. Estimating the Uncertainty in Estimates of Root Mean Square Error of Prediction: Application to Determining the Size of an Adequate Test Set in Multivariate Calibration. Chemom. Intell. Lab. Syst. 1999, 49, 79–89. [Google Scholar] [CrossRef]
- Kharbach, M.; Yu, H.; Kamal, R.; Barra, I.; Marmouzi, I.; Cherrah, Y.; Alaoui, K.; Bouklouze, A.; Heyden, Y.V. New Insights into the Argan Oil Categories Characterization: Chemical Descriptors, FTIR Fingerprints, and Chemometric Approaches. Talanta 2021, 225, 122073. [Google Scholar] [CrossRef]
- Bruun, S.W.; Kohler, A.; Adt, I.; Sockalingum, G.D.; Manfait, M.; Martens, H. Correcting Attenuated Total Reflection—Fourier Transform Infrared Spectra for Water Vapor and Carbon Dioxide. Appl. Spectrosc. 2006, 60, 1029–1039. [Google Scholar] [CrossRef]
- Ying, X. An Overview of Overfitting and Its Solutions. J. Phys. Conf. Ser. 2019, 1168, 022022. [Google Scholar] [CrossRef]
- Shah, R. Prevent Overfitting Using Regularization Techniques. Available online: https://www.analyticsvidhya.com/blog/2021/07/prevent-overfitting-using-regularization-techniques/ (accessed on 20 April 2024).
- Gowen, A.A.; Downey, G.; Esquerre, C.; O’Donnell, C.P. Preventing Over-Fitting in PLS Calibration Models of Near-Infrared (NIR) Spectroscopy Data Using Regression Coefficients. J. Chemom. 2011, 25, 375–381. [Google Scholar] [CrossRef]
- Giskard Epoch in Machine Learning. Available online: https://www.giskard.ai/glossary/epoch-in-machine-learning (accessed on 14 June 2024).
- Montesinos López, O.A.; Montesinos López, A.; Crossa, J. Overfitting, Model Tuning, and Evaluation of Prediction Performance. In Multivariate Statistical Machine Learning Methods for Genomic Prediction; Montesinos López, O.A., Montesinos López, A., Crossa, J., Eds.; Springer International Publishing: Cham, Switzerland, 2022; pp. 109–139. ISBN 978-3-030-89010-0. [Google Scholar]
- Xia, Y. Chapter Eleven—Correlation and Association Analyses in Microbiome Study Integrating Multiomics in Health and Disease. In Progress in Molecular Biology and Translational Science; Sun, J., Sun, J., Eds.; The Microbiome in Health and Disease; Elsevier: Amsterdam, The Netherlands, 2020; Volume 171, pp. 309–491. [Google Scholar]
- MathWorks Partial Least Squares Regression and Principal Components Regression—MATLAB & Simulink Example. Available online: https://www.mathworks.com/help/stats/partial-least-squares-regression-and-principal-components-regression.html (accessed on 14 June 2024).
- Li, L.-N.; Liu, X.-F.; Yang, F.; Xu, W.-M.; Wang, J.-Y.; Shu, R. A Review of Artificial Neural Network Based Chemometrics Applied in Laser-Induced Breakdown Spectroscopy Analysis. Spectrochim. Acta Part B At. Spectrosc. 2021, 180, 106183. [Google Scholar] [CrossRef]
- Torresai, J. Using Supercomputers for Deep Learning Training. Available online: https://towardsdatascience.com/using-supercomputers-for-deep-learning-training-3f9cc3f51d3 (accessed on 14 June 2024).







Disclaimer/Publisher’s Note: The statements, opinions and data contained in all publications are solely those of the individual author(s) and contributor(s) and not of MDPI and/or the editor(s). MDPI and/or the editor(s) disclaim responsibility for any injury to people or property resulting from any ideas, methods, instructions or products referred to in the content. |
© 2025 by the authors. Licensee MDPI, Basel, Switzerland. This article is an open access article distributed under the terms and conditions of the Creative Commons Attribution (CC BY) license (https://creativecommons.org/licenses/by/4.0/).
Share and Cite
Gjonaj, L.; Generalao, O.B.; Alguno, A.; Malaluan, R.; Lubguban, A.; Dumancas, G.G. Quantification of Argan Oil (Argania spinosa L.) Adulterated with Avocado, Flaxseed, Walnut, and Pumpkin Oils Using Fourier-Transform Infrared Spectroscopy and Advanced Chemometric and Machine Learning Techniques. Chemosensors 2025, 13, 37. https://doi.org/10.3390/chemosensors13020037
Gjonaj L, Generalao OB, Alguno A, Malaluan R, Lubguban A, Dumancas GG. Quantification of Argan Oil (Argania spinosa L.) Adulterated with Avocado, Flaxseed, Walnut, and Pumpkin Oils Using Fourier-Transform Infrared Spectroscopy and Advanced Chemometric and Machine Learning Techniques. Chemosensors. 2025; 13(2):37. https://doi.org/10.3390/chemosensors13020037
Chicago/Turabian StyleGjonaj, Linda, Oliver B. Generalao, Arnold Alguno, Roberto Malaluan, Arnold Lubguban, and Gerard G. Dumancas. 2025. "Quantification of Argan Oil (Argania spinosa L.) Adulterated with Avocado, Flaxseed, Walnut, and Pumpkin Oils Using Fourier-Transform Infrared Spectroscopy and Advanced Chemometric and Machine Learning Techniques" Chemosensors 13, no. 2: 37. https://doi.org/10.3390/chemosensors13020037
APA StyleGjonaj, L., Generalao, O. B., Alguno, A., Malaluan, R., Lubguban, A., & Dumancas, G. G. (2025). Quantification of Argan Oil (Argania spinosa L.) Adulterated with Avocado, Flaxseed, Walnut, and Pumpkin Oils Using Fourier-Transform Infrared Spectroscopy and Advanced Chemometric and Machine Learning Techniques. Chemosensors, 13(2), 37. https://doi.org/10.3390/chemosensors13020037

