A Simple Second-Derivative Image-Sharpening Algorithm for Enhancing the Electrochemical Detection of Chlorophenol Isomers
Abstract
1. Introduction
2. Materials and Methods
2.1. Reagents and Materials
2.2. Instrumentation
2.3. Electrode Preparation and Electrochemical Measurements
2.4. Second-Derivative Image Sharpening Code and Procedure
| Algorithm 1 The second-derivative image-sharpening algorithm |
| Image Sharpening Code (C++ with OpenCV) #include <opencv2/opencv.hpp> using namespace cv; int main() { Mat src = imread("image.jpg", IMREAD_GRAYSCALE); // Check if the image is loaded successfully if (src.empty()) { return −1; } // Create output image Mat dst; // Apply Laplacian operator int ddepth = CV_16S; // Use 16-bit signed depth to store derivative result Laplacian(src, dst, ddepth, 3, 1, 0, BORDER_DEFAULT); // Convert the result back to 8-bit Mat abs_dst; convertScaleAbs(dst, abs_dst); // Display the result imshow("Laplacian", abs_dst); waitKey(0); return 0; } |
3. Results and Discussion
3.1. Electrode Characterization
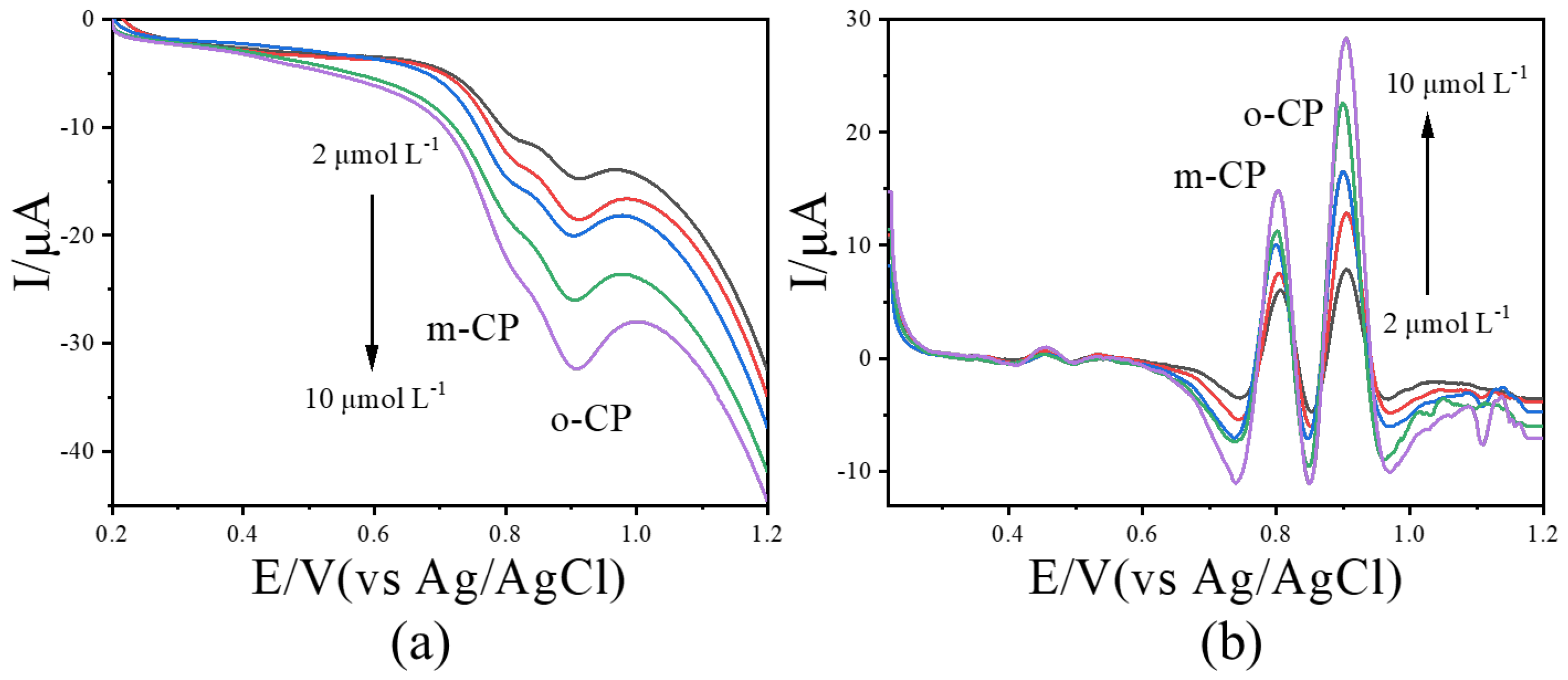
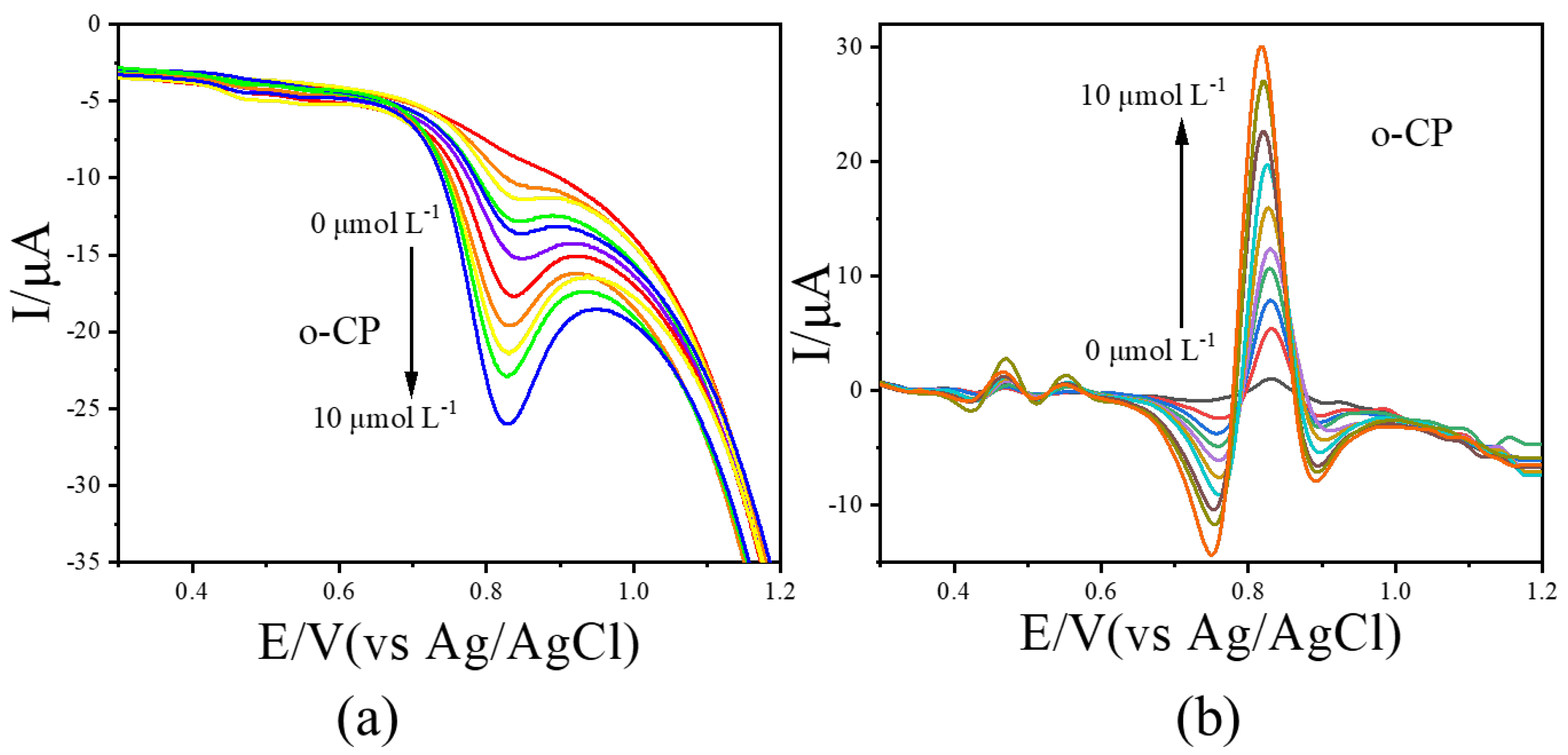
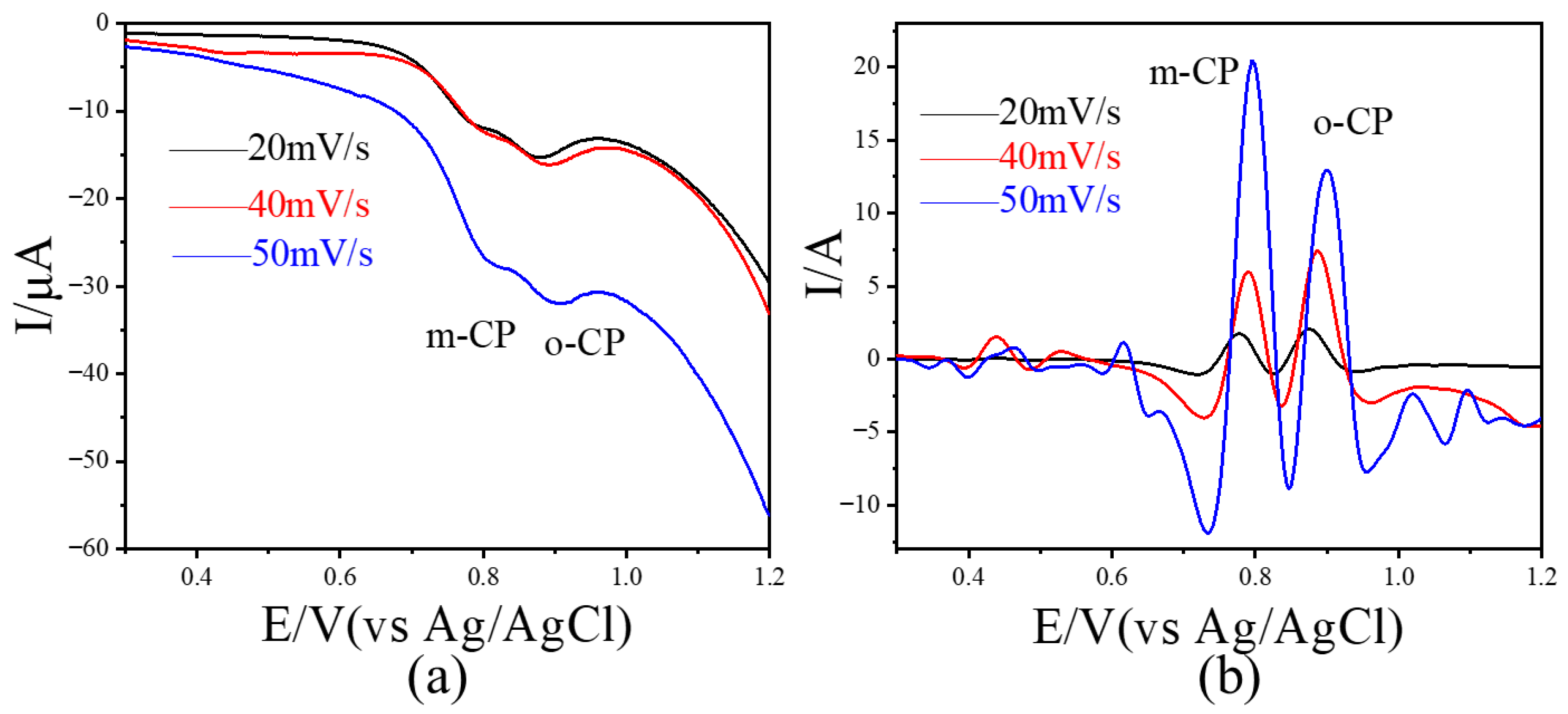
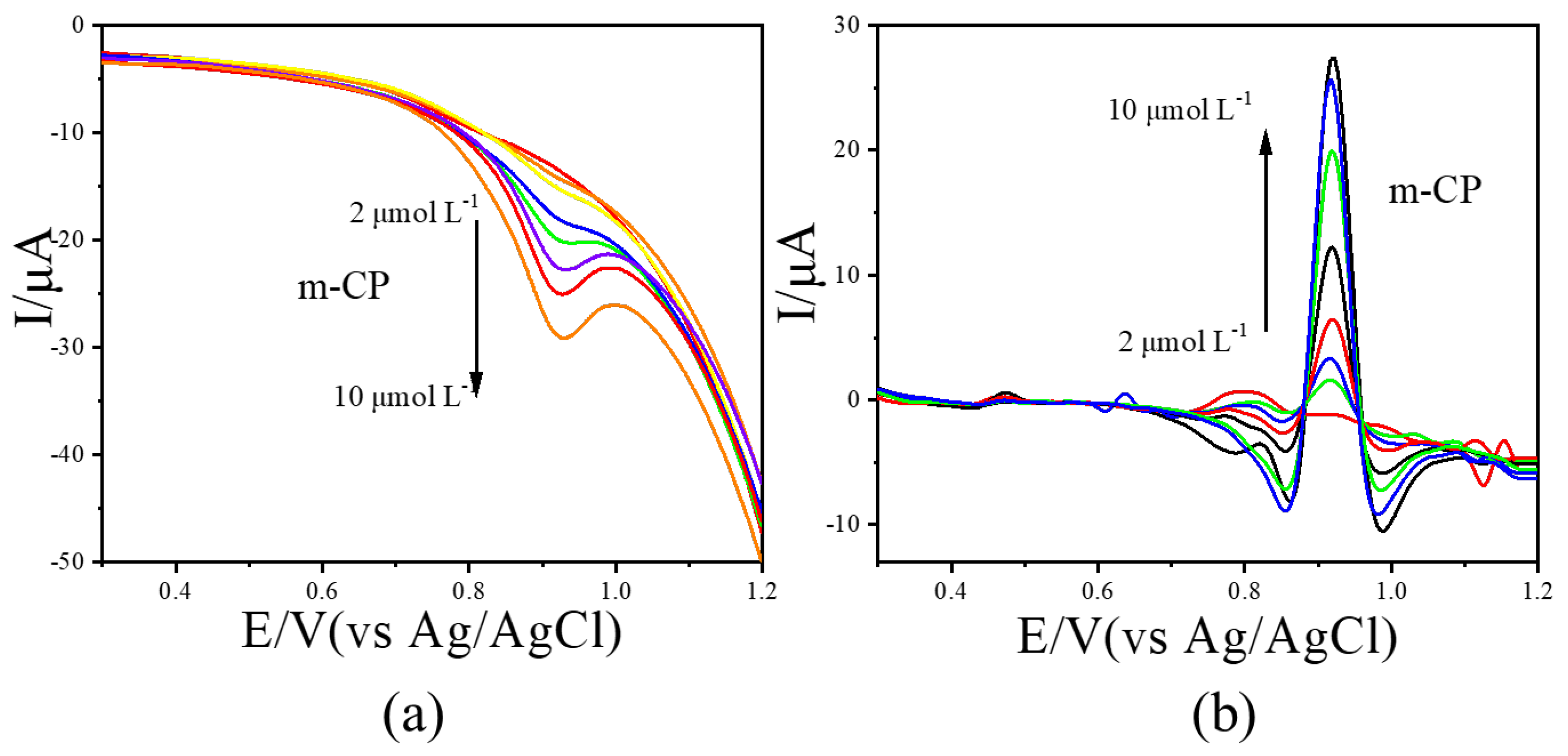
3.2. Electrochemical Testing and Image Sharpening Processing
3.3. Method Verification and Performance Comparison
4. Conclusions
Author Contributions
Funding
Institutional Review Board Statement
Informed Consent Statement
Data Availability Statement
Acknowledgments
Conflicts of Interest
References
- Zhang, Y.N.; Niu, Q.; Gu, X.; Yang, N.; Zhao, G. Recent progress on carbon nanomaterials for the electrochemical detection and removal of environmental pollutants. Nanoscale 2019, 11, 11992–12014. [Google Scholar] [CrossRef]
- Hernández-Rodríguez, J.F.; Rojas, D.; Escarpa, A. Electrochemical sensing directions for next-generation healthcare: Trends, challenges, and frontiers. Anal. Chem. 2020, 93, 167–183. [Google Scholar] [CrossRef] [PubMed]
- Duan, S.; Wu, X.; Shu, Z.; Xiao, A.; Chai, B.; Pi, F.; Wang, J.; Dai, H.; Liu, X. Curcumin-enhanced MOF electrochemical sensor for sensitive detection of methyl parathion in vegetables and fruits. Microchem. J. 2023, 184, 108182. [Google Scholar] [CrossRef]
- Yang, Y.; Huang, Y.; Luo, H.; Zhao, J.; Bi, J.; Wu, G. Ion interference and elimination in electrochemical detection of heavy metals using anodic stripping voltammetry. J. Electrochem. Soc. 2023, 170, 057507. [Google Scholar] [CrossRef]
- Idris, A.O.; Mafa, J.P.; Mabuba, N.; Arotiba, O.A. Dealing with interference challenge in the electrochemical detection of As (III)—A complexometric masking approach. Electrochem. Commun. 2016, 64, 18–20. [Google Scholar] [CrossRef]
- Raposo, F.; Barceló, D. Challenges and strategies of matrix effects using chromatography-mass spectrometry: An overview from research versus regulatory viewpoints. TrAC Trends Anal. Chem. 2021, 134, 116068. [Google Scholar] [CrossRef]
- Ariño, C.; Banks, C.E.; Bobrowski, A.; Crapnell, R.D.; Economou, A.; Królicka, A.; Pérez-Ràfols, C.; Soulis, D.; Wang, J. Electrochemical stripping analysis. Nat. Rev. Methods Primers 2022, 2, 62. [Google Scholar] [CrossRef]
- Puthongkham, P.; Wirojsaengthong, S.; Suea-Ngam, A. Machine learning and chemometrics for electrochemical sensors: Moving forward to the future of analytical chemistry. Analyst 2021, 146, 6351–6364. [Google Scholar] [CrossRef]
- Desagani, D.; Ben-Yoav, H. Chemometrics meets electrochemical sensors for intelligent in vivo bioanalysis. TrAC Trends Anal. Chem. 2023, 164, 117089. [Google Scholar] [CrossRef]
- Tarapoulouzi, M.; Ortone, V.; Cinti, S. Heavy metals detection at chemometrics-powered electrochemical (bio) sensors. Talanta 2022, 244, 123410. [Google Scholar] [CrossRef]
- Hsueh, K.L. A Study of Artificial Neural Networks for Electrochemical Data Analysis. ECS Trans. 2010, 25, 47. [Google Scholar] [CrossRef]
- Okubo, K.; Thik, J.; Yamaguchi, T.; Ling, C. Computer vision enabled high-quality electrochemical experimentation. Digit. Discov. 2024, 3, 2183–2191. [Google Scholar] [CrossRef]
- Shukla, K.N.; Potnis, A.; Dwivedy, P. A review on image enhancement techniques. Int. J. Eng. Appl. Comput. Sci. 2017, 2, 232–235. [Google Scholar] [CrossRef]
- Singh, G.; Mittal, A. Various image enhancement techniques-a critical review. Int. J. Innov. Sci. Res. 2014, 10, 267–274. [Google Scholar]
- Xu, X.; Liu, Z.; Zhang, X.; Duan, S.; Xu, S.; Zhou, C. β-Cyclodextrin functionalized mesoporous silica for electrochemical selective sensor: Simultaneous determination of nitrophenol isomers. Electrochim. Acta 2011, 58, 142–149. [Google Scholar] [CrossRef]
- Duan, S.; Zhang, X.; Xu, S.; Zhou, C. Simultaneous determination of aminophenol isomers based on functionalized SBA-15 mesoporous silica modified carbon paste electrode. Electrochim. Acta 2013, 88, 885–891. [Google Scholar] [CrossRef]
- Duan, S.; Xu, S.; Xu, X.; Zhou, C. Electrochemical behavior of nitrochlorobenzene isomers based on ordered porous silica carbon paste electrode. J. Inorg. Organomet. Polym. Mater. 2011, 21, 886–889. [Google Scholar] [CrossRef]
- Zheng, X.; Duan, S.; Liu, S.; Wei, M.; Xia, F.; Tian, D.; Zhou, C. Sensitive and simultaneous method for the determination of naphthol isomers by an amino-functionalized, SBA-15-modified carbon paste electrode. Anal. Methods 2015, 7, 3063–3071. [Google Scholar] [CrossRef]
- Kummari, S.; Panicker, L.R.; Rao Bommi, J.; Karingula, S.; Sunil Kumar, V.; Mahato, K.; Goud, K.Y. Trends in paper-based sensing devices for clinical and environmental monitoring. Biosensors 2023, 13, 420. [Google Scholar] [CrossRef]
- Alahmad, W.; Cetinkaya, A.; Kaya, S.I.; Varanusupakul, P.; Ozkan, S.A. Electrochemical paper-based analytical devices for environmental analysis: Current trends and perspectives. Trends Environ. Anal. Chem. 2023, 40, e00220. [Google Scholar] [CrossRef]
- Fan, L.; Li, X.; Kan, X. Disposable graphite paper based sensor for sensitive simultaneous determination of hydroquinone and catechol. Electrochim. Acta 2016, 213, 504–511. [Google Scholar] [CrossRef]
- Tian, Q.; Chen, S.; Yu, J.; Zhang, M.; Gao, N.; Yang, X.; Wang, C.; Duan, X.; Zang, L. Tunable construction of electrochemical sensors for chlorophenol detection. J. Mater. Chem. C 2022, 10, 10171–10195. [Google Scholar] [CrossRef]
- Wei, M.; Tian, D.; Liu, S.; Zheng, X.; Duan, S.; Zhou, C. β-Cyclodextrin functionalized graphene material: A novel electrochemical sensor for simultaneous determination of 2-chlorophenol and 3-chlorophenol. Sens. Actuators B Chem. 2014, 195, 452–458. [Google Scholar] [CrossRef]
- Duan, S.; Yue, R.; Huang, Y. Polyethylenimine-carbon nanotubes composite as an electrochemical sensing platform for silver nanoparticles. Talanta 2016, 160, 607–613. [Google Scholar] [CrossRef] [PubMed]
- Porchet, J.P.; Günthard, H.H. Optimum sampling and smoothing conditions for digitally recorded spectra. J. Phys. E Sci. Instrum. 1970, 3, 261. [Google Scholar] [CrossRef]
- Yu, Y.; Feng, S.; Liu, Y.; Yan, Z.; Chen, G.; Yang, J.; Zhang, W. Effect of temperature on the mechanical properties, conductivity, and microstructure of multi-layer graphene/copper composites fabricated by extrusion. J. Mater. Eng. Perform. 2025, 34, 7773–7785. [Google Scholar] [CrossRef]
- Hu, W.; Zhang, S.; Zhang, W.; Wang, M.; Feng, F. Controllable synthesis of gossamer-like Nb2O5-RGO nanocomposite and its application to supercapacitor. J. Nanopart. Res. 2020, 22, 57. [Google Scholar] [CrossRef]
- Hung, W.-S.; Chang, S.-M.; Lecaros, R.L.G.; Ji, Y.-L.; An, Q.-F.; Hu, C.-C.; Lee, K.-R.; Lai, J.-Y. Fabrication of hydrothermally reduced graphene oxide/chitosan composite membranes with a lamellar structure on methanol dehydration. Carbon 2017, 117, 112–119. [Google Scholar] [CrossRef]
- Xia, Y.; Zhang, H.; Huang, P.; Huang, C.; Xu, F.; Zou, Y.; Chu, H.; Yan, E.; Sun, L. Graphene-oxide-induced lamellar structures used to fabricate novel composite solid-solid phase change materials for thermal energy storage. Chem. Eng. J. 2019, 362, 909–920. [Google Scholar] [CrossRef]
- Eigler, S.; Hof, F.; Enzelberger-Heim, M.; Grimm, S.; Müller, P.; Hirsch, A. Statistical Raman microscopy and atomic force microscopy on heterogeneous graphene obtained after reduction of graphene oxide. J. Phys. Chem. C 2014, 118, 7698–7704. [Google Scholar] [CrossRef]
- Ding, Y.-H.; Zhang, P.; Ren, H.-M.; Zhuo, Q.; Yang, Z.-M.; Jiang, X.; Jiang, Y. Surface adhesion properties of graphene and graphene oxide studied by colloid-probe atomic force microscopy. Appl. Surf. Sci. 2011, 258, 1077–1081. [Google Scholar] [CrossRef]
- Luo, S.; Alkhidir, T.; Mohamed, S.; Anwer, S.; Li, B.; Fu, J.; Liao, K.; Chan, V. Investigation of interfacial interaction of graphene oxide and Ti3C2Tx (MXene) via atomic force microscopy. Appl. Surf. Sci. 2023, 609, 155303. [Google Scholar] [CrossRef]
- Chen, D.; Feng, H.; Li, J. Graphene oxide: Preparation, functionalization, and electrochemical applications. Chem. Rev. 2012, 112, 6027–6053. [Google Scholar] [CrossRef]
- Ambrosi, A.; Chua, C.K.; Latiff, N.M.; Loo, A.H.; Wong, C.H.A.; Eng, A.Y.S.; Bonannia, A.; Pumera, M. Graphene and its electrochemistry—An update. Chem. Soc. Rev. 2016, 45, 2458–2493. [Google Scholar] [CrossRef]
- Beitollai, H.; Safaei, M.; Tajik, S. Application of Graphene and Graphene Oxide for modification of electrochemical sensors and biosensors: A review. Int. J. Nano Dimens. 2019, 10, 125–140. [Google Scholar]








| Options | Peak Potential Difference Value (V) | Sensitivity for o-CP (A/mol L−1) | LOD for o-CP (μmol L−1) | Sensitivity for m-CP (A/mol L−1) | LOD for m-CP (μmol L−1) |
|---|---|---|---|---|---|
| Before IS processing | 0.08 | 0.92 | 0.60 | 1.35 | 0.90 |
| After IS processing | 0.12 | 4.11 | 0.12 | 3.71 | 0.31 |
| Samples | Found by Ion HPLC (μmol L−1) | Spiked Concentration (μmol L−1) | Found by the Proposed Method (Mean ± SD) (μmol L−1) | Recovery (%) | RSD (%) |
|---|---|---|---|---|---|
| Simulated sewage sample containing o-CP | 2.97 (for o-CP) | 0 | 2.87 ± 0.22 | 96.63 | 4.56 |
| 5 | 7.52 ± 0.27 | 94.35 | 4.22 | ||
| 10 | 12.77 ± 0.74 | 98.45 | 2.03 | ||
| Simulated sewage sample containing m-CP | 4.31 (for m-CP) | 0 | 4.19 ± 0.08 | 97.21 | 6.51 |
| 5 | 9.14 ± 0.37 | 101.39 | 5.37 | ||
| 10 | 15.03 ± 0.84 | 105.03 | 3.50 |
Disclaimer/Publisher’s Note: The statements, opinions and data contained in all publications are solely those of the individual author(s) and contributor(s) and not of MDPI and/or the editor(s). MDPI and/or the editor(s) disclaim responsibility for any injury to people or property resulting from any ideas, methods, instructions or products referred to in the content. |
© 2025 by the authors. Licensee MDPI, Basel, Switzerland. This article is an open access article distributed under the terms and conditions of the Creative Commons Attribution (CC BY) license (https://creativecommons.org/licenses/by/4.0/).
Share and Cite
Duan, S.; Wen, Y.; Xia, F.; Zhou, C. A Simple Second-Derivative Image-Sharpening Algorithm for Enhancing the Electrochemical Detection of Chlorophenol Isomers. Chemosensors 2025, 13, 372. https://doi.org/10.3390/chemosensors13100372
Duan S, Wen Y, Xia F, Zhou C. A Simple Second-Derivative Image-Sharpening Algorithm for Enhancing the Electrochemical Detection of Chlorophenol Isomers. Chemosensors. 2025; 13(10):372. https://doi.org/10.3390/chemosensors13100372
Chicago/Turabian StyleDuan, Shuo, Yong Wen, Fangquan Xia, and Changli Zhou. 2025. "A Simple Second-Derivative Image-Sharpening Algorithm for Enhancing the Electrochemical Detection of Chlorophenol Isomers" Chemosensors 13, no. 10: 372. https://doi.org/10.3390/chemosensors13100372
APA StyleDuan, S., Wen, Y., Xia, F., & Zhou, C. (2025). A Simple Second-Derivative Image-Sharpening Algorithm for Enhancing the Electrochemical Detection of Chlorophenol Isomers. Chemosensors, 13(10), 372. https://doi.org/10.3390/chemosensors13100372

