Next Article in Journal
First Direct Gravimetric Detection of Perfluorooctane Sulfonic Acid (PFOS) Water Contaminants, Combination with Electrical Measurements on the Same Device—Proof of Concepts
Next Article in Special Issue
Circular Dichroism Reflectance Anisotropy of Chiral Atomically Thin Films
Previous Article in Journal
Photoluminescence Sensing of Lead Halide Perovskite Nanocrystals and Their Two-Dimensional Structural Materials
Previous Article in Special Issue
A Flow-Through Biosensor System Based on Pillar[3]Arene[2]Quinone and Ferrocene for Determination of Hydrogen Peroxide and Uric Acid
 
 
Font Type:
Arial Georgia Verdana
Font Size:
Aa Aa Aa
Line Spacing:
Column Width:
Background:
Article

Sensor Selection for an Electronic Tongue for the Rapid Detection of Paralytic Shellfish Toxins: A Case Study

by
Mariana Raposo
1,
Maria Teresa S. R. Gomes
1,
Sara T. Costa
2,3,4,
Maria João Botelho
2,3 and
Alisa Rudnitskaya
1,*
1
CESAM and Chemistry Department, University of Aveiro, 3810-193 Aveiro, Portugal
2
IPMA, Portuguese Institute for the Sea and Atmosphere, 1449-006 Lisbon, Portugal
3
CIIMAR, Interdisciplinary Centre of Marine and Environmental Research, University of Porto, 4050-123 Porto, Portugal
4
ICBAS, Abel Salazar Biomedical Sciences Institute, University of Porto, Largo Prof. Abel Salazar, 2, 4099-003 Porto, Portugal
*
Author to whom correspondence should be addressed.
Chemosensors 2024, 12(6), 115; https://doi.org/10.3390/chemosensors12060115
Submission received: 30 April 2024 / Revised: 8 June 2024 / Accepted: 12 June 2024 / Published: 19 June 2024

Abstract

The performance of an electronic tongue can be optimized by varying the number and types of sensors in the array and by employing data-processing methods. Sensor selection is typically performed empirically, with sensors picked up either by analyzing their characteristics or through trial and error, which does not guarantee an optimized sensor array composition. This study focuses on developing a method for sensor selection for an electronic tongue using simulated sensor data and Lasso regularization. Simulated sensor responses were calculated using sensor parameters such as sensitivity and selectivity, which were determined in the individual analyte solutions. Sensor selection was carried out using Lasso regularization, which removes redundant or highly correlated variables without much loss of information. The objective of the optimization of the sensor array was twofold, aiming to minimize both quantification errors and the number of sensors in the array. The quantification of toxins belonging to one of the groups of marine toxins—paralytic shellfish toxins (PSTs)—using arrays of potentiometric chemical sensors was used as a case study. Eight PSTs corresponding to the toxin profiles in bivalves due to the two common toxin-producing phytoplankton species, G. catenatum (dcSTX, GTX5, GTX6, and C1+2) and A. minitum (STX, GTX2+3), as well as total sample toxicity, were included in the study. Experimental validation with mixed solutions of two groups of toxins confirmed the suitability of the proposed method of sensor array optimization with better performance obtained for the a priori optimized sensor arrays. The results indicate that the use of simulated sensor responses and Lasso regularization is a rapid and efficient method for the selection of an optimized sensor array.

1. Introduction

The new concept of using an array of ion-selective electrodes instead of individual ones in combination with multivariate data-processing techniques emerged for the first time in the 1980s [1,2]. This approach allows the simultaneous quantification of several compounds in multicomponent media even when the selectivity of the available sensors is not sufficient. Furthermore, for sensors to be usable in the arrays, they do not need to be highly selective. The main requirements are sensitivity to the analytes of interest and cross-sensitivity [1,3]. Later on these multisensor systems have been named taste sensors or electronic tongues (ET) since their functioning principle mimics the sensory system of mammals, primarily olfaction and gustation [4,5,6,7]. Though several types of chemical sensors, such as voltametric, mass and optical ones, were used for the development of the electronic tongue, potentiometric chemical sensors remain the most common [6].
The performance of the ET can be tuned by varying the number and types of sensors in the array and by data-processing methods [8]. Thus, the composition of the sensor array gains particular importance, and sensors should be carefully selected depending on the analytical task. In the first studies on the multisensor systems, sensor arrays were constructed by including one or two sensors that were selective towards each of the analytes plus one or more generic (non-selective or cross-sensitive) ones. Another approach consists of the characterization of several sensors in a set of multicomponent solutions containing all analytes of interest at different concentration levels, followed by the calculation of the multivariate calibration model and variable selection [9]. This approach is not always feasible in practice as it would result in measuring the responses of dozens of sensors in dozens or hundreds of complex mixtures, depending on the number of analytes. Thus, sensor selection is usually performed empirically by analyzing sensor responses in the individual solutions of analytes or, in the case of classification tasks, by trial and error, with neither method ensuring optimized sensor array composition.
To address this question, several attempts to formalize sensor selection for the electronic tongue have been proposed recently. Several works propose the use of Principal Component Analysis (PCA) for the simultaneous assessment of sensitivity and the reproducibility of sensors, permitting the selection of the most suitable ones for particular analytical tasks [10,11,12]. Measurements with several sensors are carried out in the individual solutions of analytes with varying or equal concentrations, and the PCA model is calculated using sensor responses. In 2020, Sarma et al. [10] proposed a visual examination of the PCA scores and loading plots for selecting sensors discriminating between samples. In other studies [11,12,13], PCA was employed in combination with different clustering indices calculated using PCA scores, such as F factor, Dunn, Davies–Bouldin, Silhouette, and Calinski–Harabasz. This approach has the undisputable advantage of simplicity as it is based on a small number of measurements, relatively simple data-processing procedures, and a straightforward criterion for sensor selection. Though it does not always ensure the selection of the optimum sensor array, it is useful for indicating the most discriminating and cross-sensitive sensors. While this approach has proved to be useful for impedimetric [10] and voltametric sensors [11,13], its applicability to potentiometric sensors is questionable, as estimating the cross-sensitivity of the latter without measurements in mixed solutions is not possible.
A sensor selection method developed specifically for potentiometric sensors consisting of the calculation of simulated sensor responses in mixed solutions and selection of the optimum sensor array configuration using a genetic algorithm and/or Fisher information criterion was proposed by Sibug-Torres et al. in 2019 [14,15]. Simulated sensor responses were calculated using the general equation for mixed-ion response involving monovalent and divalent ions for ion exchange and ionophore-based potentiometric sensor membranes [16]. These works rely on extensive libraries of potentiometric sensor characteristics, including sensitivities and selectivity coefficients, which are available in the literature. The advantage of using a simulated dataset is the possibility of generating sensor responses in a large number of mixed solutions using sensor parameters, including sensitivity and selectivity coefficients that are determined in the course of sensor characterization. The approach proposed in [14,15] afforded optimum sensor array configurations with simulated data; however, its efficiency was not confirmed using experimental data.
The present study aims to develop a method for sensor selection for the electronic tongue using a simulated dataset. As a case study, the quantification of paralytic shellfish toxins (PSTs) using potentiometric chemical sensors was chosen. PSTs are a group of phytotoxins produced by some species of marine and freshwater phytoplankton that provoke paralytic shellfish poisoning in humans [17]. The accumulation of PSTs in filter-feeding bivalves can occur during the proliferation of toxic phytoplankton or harmful algal blooms (HABs) [18]. PSTs comprise more than 60 compounds sharing a tetrahydropurine ring (Table 1) [19] but with different substitutions at positions N1 (R1 side chain), C11 (R2 and R3 side chains), and C13 (R4 side chain). Structures of three PST groups (carbamoyl, decarbamoyl, and N-sulfocarbamoyl), classified according to their R4 side chain, are shown in Table 1 [20].
Specific toxin profiles observed in bivalves depend primarily on the toxin-producing phytoplankton but also on the bivalve species. The dinoflagellate Gymnodinium catenatum, which is prevalent along the Atlantic coast of Portugal and Spain, the Gulf of Mexico, Venezuela, Chile, and Argentina, produces a toxin profile essentially characterized by N-sulfocarbamoyl group PSTs [21]. In contrast, the dinoflagellate Alexandrium minutum, common in Northern Europe, including the UK, Norway and Iceland, mainly produces carbamoyl PSTs [22]. A similar carbamoyl profile is observed in Alexandrium catenella [23,24]. Additionally, certain bivalve species, such as Spisula solida, produce enzymes capable of hydrolyzing PSTs transforming carbamoyl and N-sulfocarbamoyl toxins into decarbamoyl analogs [20,25].
In our previous work, a series of potentiometric chemical sensors with solid inner contact and plasticized polyvinylchloride (PVC) membranes containing different ionophores were developed for the detection of three PSTs commonly found in Portuguese waters: dcSTX, GTX5 and C1+2 [26]. However, developed sensors displayed cross-sensitivity to all three toxins and low selectivity, making simultaneous quantification of individual PSTs challenging. Taking advantage of sensor cross-sensitivity, our group developed, for the first time, an electronic tongue based on six potentiometric sensors for simultaneous quantification of four PSTs in model solutions and bivalve extracts [27]. However, the reduced accuracy of quantitation of N-sulfocarbamoyl toxins (GTX5 and C1+2) remained an issue as the sensors exhibited low selectivity to these toxins in the presence of dcSTX. Moreover, the electronic tongue was developed for only the three most prevalent toxins of the Portuguese coast. In the present study, a range of potentiometric chemical sensors including those developed earlier plus new compositions were characterized in the solutions of eight PSTs representative of G. catenatum and A. minutum toxin profiles. The first group of toxins included dcSTX, GTX5, GTX6, C1+2, dcGTX2+3 and dcNEO, while the second included STX and GTX2+3. Sensor parameters, sensitivity and selectivity coefficients, were used for calculating simulated sensor responses in mixed toxin solutions. By applying Lasso regularization to the simulated data set, sensor selection for quantifying two groups of toxins was carried out aiming to minimize the quantification error and the number of sensors in the array. The optimization results were validated using experimental data, i.e., sensor responses measured in the mixed solutions of STX and GTX2+3, and dcSTX, GTX5, GTX6, and C1+2.

2. Materials and Methods

2.1. Reagents

Aniline, tris(hydroxymethyl) aminomethane (BioPerformance Certified), multi-walled carbon nanotubes (MWCNT), and sodium dodecyl sulfate (SDS) were obtained from Sigma Aldrich. Hydrochloric acid, sulfuric acid and iron(III) chloride hexahydrate were obtained from Panreac and tetrahydrofuran (Chromasolv) was from Fisher. All reagents were p.a. (for analysis) unless stated otherwise. High molecular weight polyvinyl chloride (PVC), dibutyl phthalate (DBP), potassium tetrakis(4-chlorophenyl)borate (KTPB), and ionophores (as listed in Table 2) were acquired from Fluka. Screen-printed electrodes (SPEs) with eight carbon working electrodes, a carbon auxiliary electrode and a silver reference electrode were obtained from DropSens (Oviedo, Spain). Sensor washing and solution preparation were carried out using ultrapure water produced by the Merck Millipore Water System (18 MΩcm−1). Certified reference solutions of PSTs were purchased from CIFGA S.A laboratory (Lugo, Spain). These included three toxins from of the decarbamoyl group, decarbamoyl saxitoxin (dcSTX), decarbamoyl neosaxitoxin (dcNEO), and decarbamoylgonyautoxins-2 and -3 (dcGTX2+3), three from the N-sulfocarbamoyl group, gonyautoxin 5 (GTX5), gonyautoxin 6 (GTX6), and N-sulfocarbamoyl gonyautoxins 2 & 3 (C1&2), and two from the carbamoyl group, saxitoxin (STX) and gonyautoxins-2 and -3 (GTX2+3).

2.2. Fabrication of a Potentiometric Electronic Tongue

SPEs with eight working electrodes were used to fabricate a potentiometric electronic tongue with polyaniline as a solid inner contact following the procedure described in [26] with some modifications. Firstly, a drop of 0.5 mmol L−1 iron chloride was carefully placed on the surface of the reference electrode of the SPE and left to react for 2 min. Next, the SPE electrode was rinsed with ultrapure water and the working electrodes were cleaned by cycling the potential for 3 cycles between −0.2 and +1 V at 50 mV/s in 50 mmol L−1 sulfuric acid. A solid contact layer was prepared by electropolymerization of aniline in the presence of MWCNT in a deaerated aqueous solution containing 50 mmol L−1 aniline, 1 mol L−1 hydrochloric acid, 0.1 mol L−1 SDS, and 0.17 mg mL−1 MWCNT. The potential was cycled for 40 cycles between −0.23 and +0.85 V at 50 mV s−1. The sensors were washed with ultrapure water, conditioned for 2 h in 0.1 mol L−1 hydrochloric acid and dried. Electrochemical experiments were conducted using an EZstat-Pro EIS instrument (NuVant Systems Inc., Crown Point, IN, USA), with an Ag/AgCl reference electrode (KCl 3 mol L−1) and platinum wire as a counter electrode.
Membrane mixtures were prepared by dissolving PVC (33% w/w), DBP (plasticizer, 65% w/w), KTPB (lipophilic salt, 0.5% w/w), and the ionophores (1.5% w/w) in tetrahydrofuran. For constructing the potentiometric electronic tongue, eight different ionophores (as listed in Table 2) were used. Each membrane was drop-cast onto the solid contact of the working electrode of SPE and left to dry overnight at room temperature.

2.3. Solution Preparation for Sensor Measurements

Calibration solutions of dcSTX, dcNEO, dcGTX2+3, GTX5, C1+2, GTX6, STX, and GTX2+3 were prepared by diluting each toxin standard in 0.25 mmol L−1 Tris-HCl buffer (pH 7) to the final concentrations ranging from 0.2 to 6.8 μmol L−1.
Selectivity was determined using the two solutions’ method as described in [28]. STX and dcSTX were considered primary ions for all sensors and for the two toxin groups. Concentrations of both primary and interfering ions were 2 μmol L−1. Mixed solutions were prepared by diluting the respective standards in the 0.25 mmol L−1 Tris-HCl buffer with pH 7 to the final concentrations indicated in Table 3 and Table 4.
The compositions of the mixed solutions were selected using the Sobol sequence, which produces a highly uniform and random point distribution [29]. The toxin concentration range comprises concentrations typically observed in contaminated bivalve extracts with toxicities close to or above the regulatory limit for PSTs.

2.4. Potentiometric Measurements

Potentiometric measurements were carried out using a custom-made high-input impedance digital voltmeter (Sensor Systems LLC., St. Petersburg, Russia) connected to a PC for data acquisition. Sensor potentials were measured vs. the SPE’s own pseudo-reference electrode. Sensor potentials were recorded after 5 min. The mean of the last five measurements was used. Between measurements, sensors were washed with ultrapure water until stable potential readings were reached. When not in use, sensors were kept dry at room temperature and were soaked for 1.5 h in a buffer solution prior to measurements.

2.5. Data Processing

Parameters of the sensor responses to PSTs, such as the slope of the electrode function and standard potential, were calculated using the Nernst equation. Detection limits (LODs) were estimated using formalisms proposed for nonlinear sensors based on the Nikolsky–Eisenmann equation consistent with general IUPAC recommendations [30]:
E = E 0 + β 1 log a + β 2 + ε
where E is the measured sensor potential; E0 is the standard potential; β1 is the slope of the electrode function, a is the activity of the primary ion, β2 relates to the activity, selectivity, and charge of the interfering ions, and ε are the errors (assumed to follow a normal distribution with a constant standard deviation, σ).
L O D α , β = β 2 10 k σ β 1 1
where α and β are the false positive and negative rates, respectively (both were considered 0.05), k is the number of standard deviations of the blank used for LOD calculation (set to 3.3 for the values of α = β = 0.05) and σ is the standard deviation of the potential measurement (set to 1 mV).
The LODα,β values were calculated using parameters β1 and β2 estimated by fitting the sensor response in individual toxin solutions to Equation (1). Means and standard deviations of three replicated determinations were calculated for all sensor parameters.
Selectivity coefficients were calculated according to the following formula as described in [28]:
K A , B p o t = a A e E z A F R T 1 a B z A z B ,   E = E A + B E A
where EA is the sensor potential in the solution of the primary ion, EA+B is the sensor potential in the mixed solution containing both the primary, A, and the interfering, B, ions; aA and zA, are the activity and charge of the primary ion, and aB and zB are the activity and charge of the interfering ion, respectively.
A priori sensor selection of the sensors for constructing the electronic tongue was carried out using simulated sensor data and Lasso regularization. Two groups of PSTs were considered: toxins commonly observed after G. catenatum blooms (dcSTX, GTX5, C1&2 and GTX6) and after Alexandrium spp. blooms (STX and GTX2+3). Toxin concentration ranges typical for bivalves with toxicity levels close to the regulatory limits were selected (see Table 5). Toxins dcGTX2+3 and dcNEO were excluded as their concentrations in bivalve extracts are tyoically below the detection limits of the sensors. For the toxin profile of G. catenatum blooms, the solution composition was defined using a full factorial design with 4 levels for each toxin, resulting in 256 mixtures in total. Similarly, solution compositions for the toxin profile of Alexandrium spp. blooms were defined using full factorial design with 6 levels for each toxin, yielding 36 mixtures in total.
Simulated sensor responses in mixed PSTs solutions were calculated using sensor characteristics (selectivity and sensitivity) and a general equation for mixed ion response involving monovalent and divalent ions for ion-exchange for polymeric membranes [16].
Variable selection was carried out using the least absolute shrinkage and selection operator (LASSO) regularization [31,32]. LASSO, proposed by Tibshirani in 1996 [31], simultaneously estimates parameters and selects relevant variables in regression analysis. LASSO is a penalized least squares regression with an L1-penalty function that eliminates redundant or highly correlated variables without significant loss of information.
The LASSO estimate is defined as:
min β , β 0 1 2 N i = 1 N y i β 0 x i β 2 + λ j = 1 p β j
where N is the number of observations, yi is the analyte concentration in sample i, xi is the sensor array response, a vector of length p for the sample i, λ is a nonnegative regularization parameter corresponding to a specific value of Lambda, β and β0 are regression coefficients and the intercept, a vector of length p and a scalar, respectively. The Lasso performs regularization using a geometric sequence of Lambda values: as λ increases, the number of nonzero regression coefficients decreases.
LASSO regularization with cross-validation was applied for calibration model calculation and feature selection for each toxin and total toxicity using simulated sensor responses in mixed solutions. Decimal logarithms of toxin concentrations were used for calculations. Mean Square Errors (MSE) and Root Mean Square Errors (RMSE) were used as quality of fit parameters.
The performance of the sensor array optimized using the described procedure was evaluated using sensor measurements in two sets of mixed solutions of STX and GTX2+3 (Table 3) and dcSTX, GTX5, C1+2 and GTX6 (Table 4). The compositions of the mixed solutions were defined using a Sobol sequence generator, which provides a low discrepancy quasi-random sequence, filling space more uniformly than completely random sampling.
All algorithms were implemented in Matlab® R2023b (Mathworks, Inc., Natick, MA, USA).

3. Results and Discussion

3.1. Sensor Characterization in the Individual PST Solutions

The selection of ionophores for the potentiometric sensors for the detection of PSTs was based on our previous results and the literature data. Seven sensors with plasticized PVC membranes were previously characterized in the solutions of four PSTs: STX, dcSTX, GTX5 and C1+2 [26]. In the present work, an additional sensor composition (ionophore 6 from Table 2) was included, and the procedure for preparing the solid inner contact was optimized (see procedure in Section 2.2). Sensor characteristics were evaluated in the solutions of eight toxins (four more in addition to the ones studied previously). As the objective of sensor array development and optimization was to detect and quantify the most abundant PSTs associated with two toxin-producing algae, G. catenatum and A. minutum, the results are grouped according to these toxin profiles.
The slopes of the electrode function of the studied sensors in the individual solutions of eight PSTs are shown in Figure 1. All sensors responded to dcSTX, C1+2, dcNEO and STX. The sensor based on octadecyl 4-formylbenzoate (number 7) showed the highest sensitivity for dcSTX, dcNEO and STX, while for C1+2, the sensor based on aza crown ether (number 4) exhibited higher sensitivity. Sensor 8 did not respond to GTX5, and sensor 3 did not respond to dcGTX2+3 and GTX2+3. Nevertheless, several sensors displayed high sensitivity to these toxins: sensor 5 to GTX5 and sensor 1 to both GTX2+3 and dcGTX2+3. The lowest sensitivity was observed toward GTX6, with only four sensors (2, 3, 4, and 5) showing sub-Nernstian slopes.
In order to be applicable to toxin determination in bivalves, sensors should be capable of detecting PSTs at concentration levels close to the regulatory limits. The toxicity of individual PST analogs differs due to side-chain variability that affects their properties (Table 1). To account for these differences, total sample toxicity is calculated as the sum of the concentration of each detected analog multiplied by its specific toxicity equivalence factor (TEF) [31]. In the case of isomeric pairs (e.g., dcGTX2+3), the highest TEF of the pair is used. Total sample toxicity is then expressed in µg STX.dihydrochloride equivalents (STX.diHCl-eq) per kg as per the advice of the European Food Safety Authority (EFSA) [33]. Given the high toxicity of PSTs, their regulatory limits are very low: 800 µg STX.diHCl-eq/kg of shellfish meat.
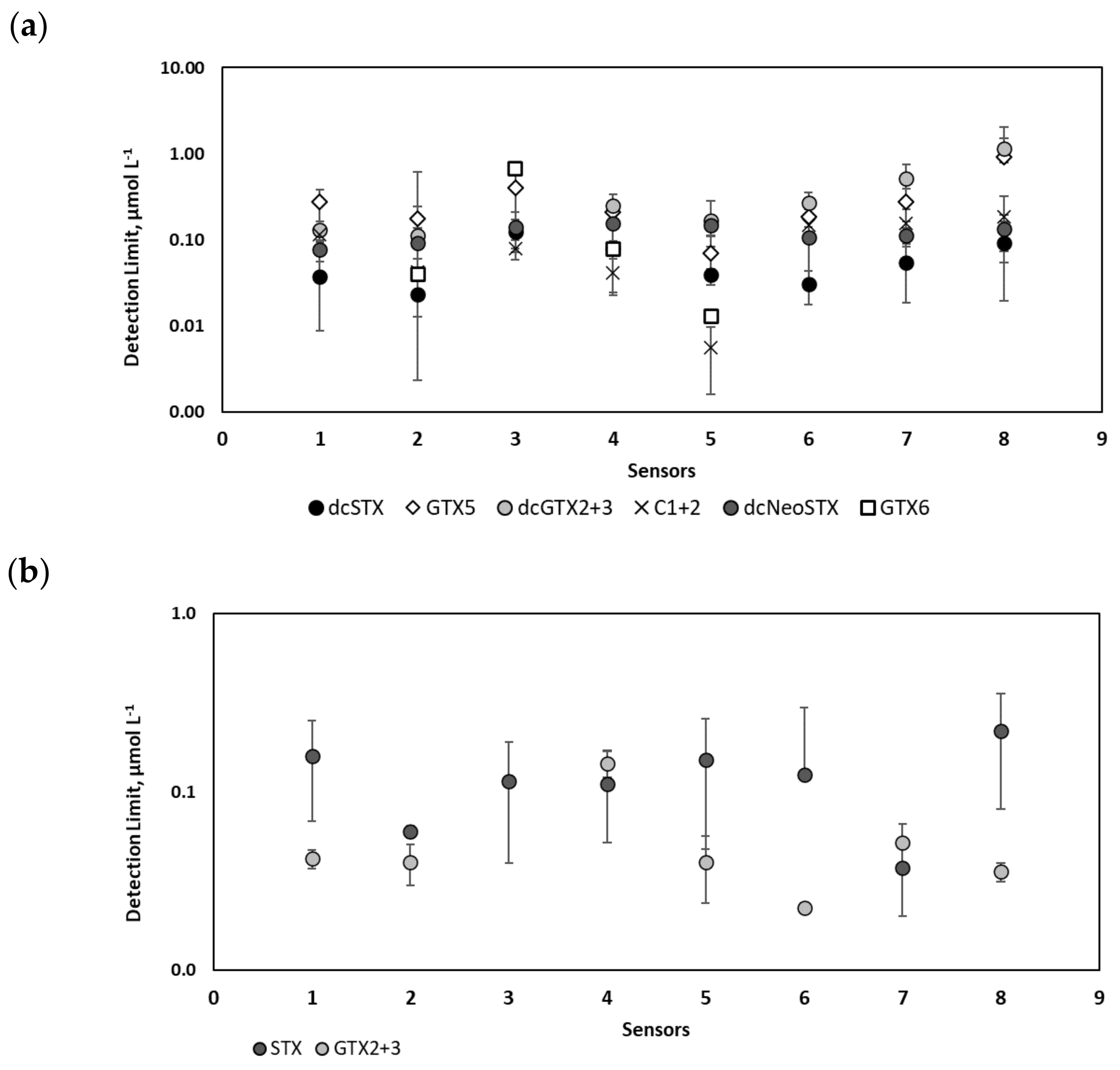
Taking into account the TEFs, PST concentrations in bivalve meat extract corresponding to the regulatory limit are approximately 0.27 μM for dcSTX and STX, 2.7 μM for N-sulfocarbamoyl toxins, 0.67 μM for dcNEO and dcGTX2+3, and 0.45 μM for GTX2+3. Since several toxins occur simultaneously, sensors need to achieve detection limits of at least 0.1 μM to be applicable.
Detection limits for all studied sensors to PSTs calculated using Equation (2) [30] are shown in Figure 2. All sensors achieved detection limits below the legal limits for all toxins. The lowest detection limit for dcSTX toxin was observed for sensors 1 and 2. Sensors 3, 4 and 5 displayed the lowest detection limits for C1+2 toxin; sensors 6 and 8 for GTX2+3, and sensor 7 for STX. Sensors 4 and 7 displayed the high sensitivity and low detection limits for C1+2 and STX, respectively. The highest detection limits were obtained for GTX5 and dcGTX2+3 toxins. Nevertheless, for all toxins, at least some sensors displayed detection limits below 0.1 μM, confirming their applicability for the PST quantification in bivalve meat extracts.
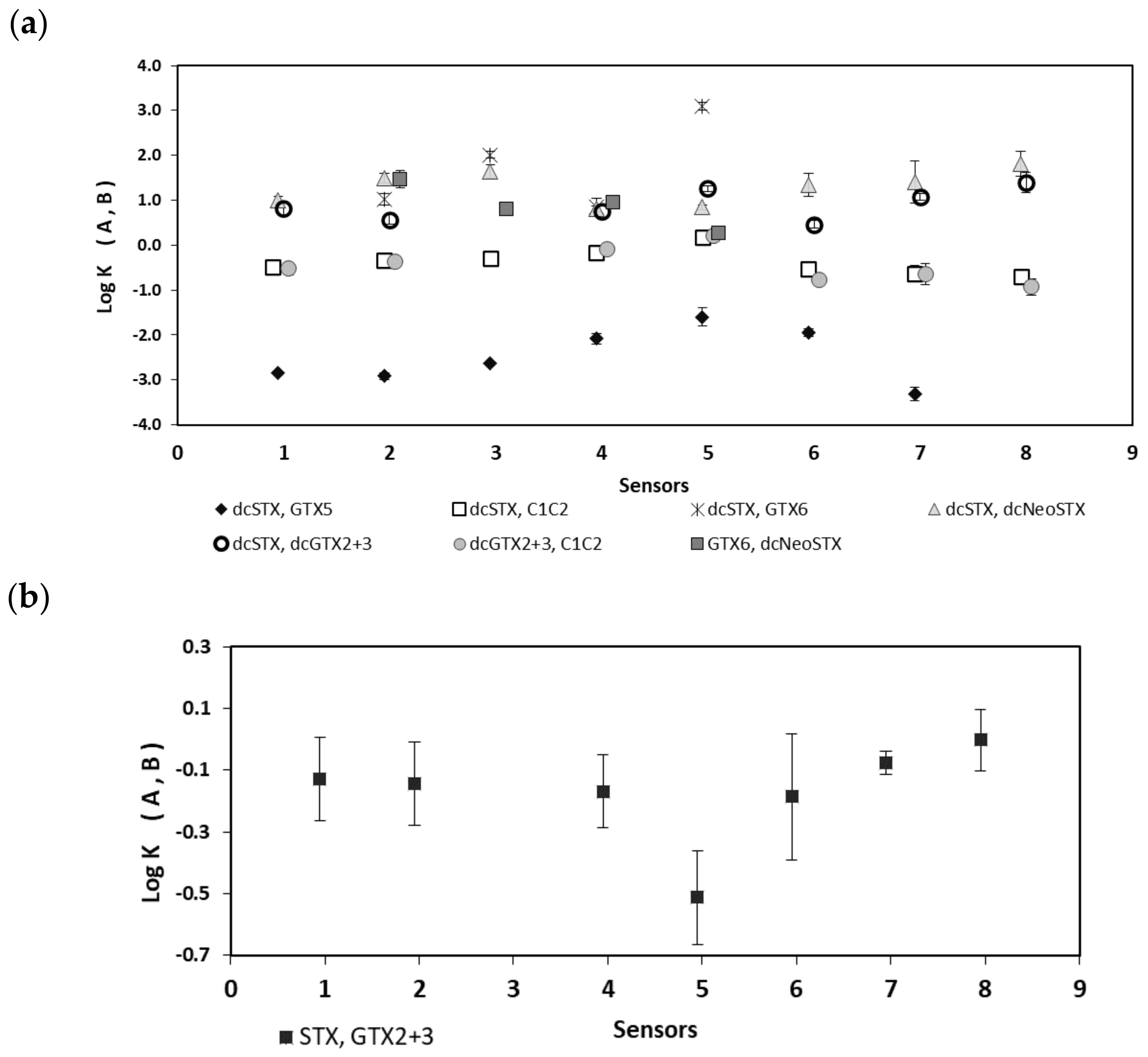
The selectivity coefficients of the sensors for the toxins under study are shown in Figure 3. All studied sensors displayed higher selectivity towards dcSTX in the presence of GTX5. However, higher selectivity was obtained towards dcNEO in the presence of dcSTX for all studied sensors. Most of the sensors did not show a preference for either dcSTX or C1+2 toxin, with selectivity coefficients close to 1 for both of them. Similar results were obtained for C1+2 and its decarbamoylated analog dcGTX2+3. Sensors 2, 3, and 4 were more selective for dcNEO than for its N-sulfocarbamoylated form GTX6. Regarding the two toxins characteristic of bivalves after exposure to an A. minutum bloom (STX and GTX2+3), sensors displayed low selectivity being somewhat more selective for STX. An exception was sensor 5, which was selective for STX, and sensor 8, which was not selective for any of the toxins. In general, all sensors displayed higher selectivity for the toxins of the decarbamoyl group.
All the studied sensors displayed cross-sensitivity towards PSTs as they exhibited sensitivity to almost all the studied PSTs with variable selectivity. Therefore, selective detection of PSTs cannot be performed by any of these sensors alone. Nevertheless, due to the cross-sensitivity characteristics and different sensitivity and selectivity patterns, these sensors are suitable for the construction of an electronic tongue multisensor system. For electronic tongue construction, an array of non-specific or low-selective sensors that possess cross-sensitivity to the different species of interest should be selected and coupled with an appropriate method of data processing. In addition to having the same advantages as chemical sensors, electronic tongues also compensate for the insufficient selectivity that some sensorsexhibit in multicomponent media.

3.2. Optimization of the Sensor Array for PST Detection Using Simulated Data Set

The a priori selection of sensors for the detection of individual PSTs and total toxicity was carried out using simulated sensor responses in mixed solutions. Simulated data based on measurements in individual analyte solutions have the limitation of not always truthfully reflecting real sensor behavior. This discrepancy arises because determining unbiased selectivity coefficients for potentiometric sensors is challenging as the selectivity coefficients determined using recommended procedures correspond to their upper limits rather than unbiased (thermodynamic) values [34]. Despite the aforementioned constraints, using simulated data for sensor selection allows a significant saving of time and resources, as measurements of a large number of mixed solutions can be avoided, which is particularly relevant when dealing with toxins. Simulated sensor responses can be calculated using sensor parameters, which must be determined beforehand to assess the sensors’ suitability for the detection of the analytes.
Lasso regularization calculates a range of regression models for varying values of the regularization parameter Lambda. For small values of Lambda, models include all or almost all variables and the regression coefficient values are close to the least-squares estimate. Larger values of Lambda result in more regularization, leading to fewer nonzero regression coefficients. The results of Lasso regularization can be presented as a double plot of the mean squared error (MSE) of cross-validated models and the number of non-zero regression coefficients (i.e., variables retained in the model) vs. the Lambda value. Alternatively, a heatmap of the regression coefficients and cross-validated MSE can be used. Both types of graphs for the STX, GTX2+3 and total toxicity calibration models are shown in Figure 4a–f. Graphs of cross-validated MSE and the number of non-zero regression coefficients vs. the Lambda value for the dcSTX, GTX5, GTX6, C1+2 and total toxicity are shown in Figure S1a–e in the Supplementary Material.
The main objective of the optimization of sensor array composition was to remove non-relevant or redundant sensors that do not contribute to the detection of specific toxins, thereby, improving sensor array performance. Another consequence of sensor array optimization is a reduction in the number of sensors in the array, which is also important for the practical application of multisensor systems. Fabrication of the potentiometric chemical sensors, particularly the deposition of the sensitive membranes, is a manual process limiting sensor miniaturization. An increase in the number of chemical sensors leads to higher device costs and a larger system size, hindering sensor array integration into portable analyzers. For practical applications, a smaller robust sensor array is obviously preferable to bulkier and more expensive ones. The best sensor configuration corresponds to the sensor array producing the lowest cross-validated error plus one standard deviation (indicated by the blue dot on the MSE vs. Lambda graphs, i.e., Figure 4a).
The results of the sensor selection for the detection of two groups of toxins related to the A. minutum and G. catenatum profiles are presented in Table 6 and Table 7, respectively. The number of sensors included in the optimized sensor array and the cross-validated RMSECV reflect sensor selectivity for both toxin groups. Toxins, for which sensors displayed higher selectivity, such as dcSTX, can be reliably detected with low RMSECV using a small sensor array comprising 2 sensors. Toxins, for which sensors displayed intermediate selectivity and which were present in the mixture at higher concentrations compared to other toxins (e.g., STX and GTX6), could be determined using sensor arrays comprising 5 sensors. A larger sensor arrays comprising 6 and 7 sensors, were required for the quantification of GTX2+3, and GTX5 and C1+2, respectively, due to the lower selectivity of all studied sensors. The RMSECV for these toxins was also higher compared to the others. Nevertheless, quantification of GTX5 and C1+2 was still possible due to the sensor cross-sensitivity and the relatively high concentrations at which these toxins are typically observed in the toxin profile.
Total toxicity determination in the binary STX and GTX2+3 mixtures was possible using only one sensor. This result can be attributed to the fact that STX, for which the selected sensor displays the highest selectivity among all eight sensors, also has higher toxicity (higher TEF). In the case of the G. catenatum profile, a larger array of seven sensors was necessary for the quantification of total toxicity to account for the contributions of four compounds. It is important to note that detection of the total toxicity of the sample is most relevant for practical applications, as this parameter is regulated, rather than concentrations of individual toxins [35].

3.3. Validation of Sensor Selection for the Electronic Tongue Using Experimental Data

Sensor selection results obtained using simulated sensor response data were validated using measurements with all eight sensors in two sets of mixed solutions: 6 mixtures of STX and GTX2+3, and 10 mixtures of dcSTX, GTX5, C1+2, and GTX6. The RMSEs for cross-validation data obtained for the sensor arrays optimized a piori using simulated data and using measurements with eight sensors in mixed solutions, as well as the RMSECV range for all models with eight sensors calculated using Lasso regression are shown in Table 8 and Table 9 for the two sets of toxins, respectively.
Sensor arrays optimized a priori afforded quantification of almost all toxins and total toxicity in mixed solutions with lower errors compared to the models calculated using all eight sensors. Exceptions were GTX5, for which a slightly higher error was obtained using an a priori optimized sensor array and GTX6, for which the same error was obtained using both a priori optimization and optimization using mixed solutions.
The use of simulated sensor responses has certain limitations primarily due to the difficulties in determining unbiased selectivity coefficients as discussed above. However, the efficiency of the simulated data in sensor selection can be attributed to the large number of simulated responses used compared to the very small number of real measurements in mixed solutions. Discrepancies between sensor parameters estimated in individual or binary solutions and real parameters in mixed solutions were outweighed by the large number of simulated responses. Nevertheless, additional efforts are required to improve the accuracy of the modeling of the sensor responses in multicomponent media. Sensor selection employing simulated sensor responses and Lasso regularization has been proven to be rapid and efficient in identifying acceptable sensor array configurations.

4. Conclusions

A simple and rapid methodology for a priori selection of the optimized array of potentiometric chemical sensors has been described. The proposed method employs simulated sensor responses in multicomponent solutions and utilizes Lasso regularization. Simulated sensor responses were calculated using sensor parameters, slopes of the electrode function and selectivity coefficients, determined in individual analyte solutions. The use of simulated data allows to streamline the optimization process eliminating the labor, time and resource-consuming step of making measurements with the sensor array in a large number of mixed solutions.
Quantification of PSTs corresponding to two widespread toxin profiles in bivalves has been selected as a case study. From the initial array of eight sensors, reduced sensor arrays for the quantification of four and two toxins representative of the two profiles, respectively, and total sample toxicity were selected. The sensor selection sought to minimize errors in the toxin concentration quantification while simultaneously reducing the number of sensors in the array. Since Lasso regularization produces a range of models with different numbers of non-zero regression coefficients, it was possible to select a sensor array configuration that represents a compromise between quantification errors and the number of sensors.
The potential of the proposed methodology was evaluated using experimental data measured in mixed solutions of two groups of toxins. Improved performance of the a priori optimized sensor array was observed for almost all studied toxins and total toxicity, with the exception of GTX5 and GTX6. Overall, the proposed methodology was demonstrated to be simple and efficient in selecting sensors for the electronic tongue.

Supplementary Materials

The following supporting information can be downloaded at: https://www.mdpi.com/article/10.3390/chemosensors12060115/s1, Figure S1: Results of the Lasso regularization for the dcSTX (a), GTX5 (b), C1+2 (c), GTX6 (d) and total toxicity (e) calibration models: cross-validated MSE and number of non-zero regression coefficients in the model vs. Lambda value.

Author Contributions

Conceptualization, A.R.; methodology, A.R., M.J.B. and M.T.S.R.G.; software—A.R.; validation, A.R., M.J.B., M.T.S.R.G., S.T.C. and M.R.; formal analysis, A.R.; investigation, M.R.; resources, A.R.; data curation, M.R.; writing—original draft preparation, M.R.; writing—review and editing, A.R., M.J.B., M.T.S.R.G., S.T.C.; visualization, M.R. and A.R.; supervision, A.R., M.J.B. and M.T.S.R.G.; project administration, A.R.; funding acquisition, A.R. and M.J.B. All authors have read and agreed to the published version of the manuscript.

Funding

The authors acknowledge the financial support from Iceland, Liechtenstein and Norway through the EEA and Norway Grants, Blue Growth Program, project PT-INNOVATION-0078–COASTAL, and to CESAM by FCT/MCTES (UIDP/50017/2020; UIDB/50017/2020; LA/P/0094/2020), through national funds. M.R. thanks support by FCT through doctoral fellowship SFRH/BD/120326/2016.

Institutional Review Board Statement

Not applicable.

Informed Consent Statement

Not applicable.

Data Availability Statement

Data are contained within the article and Supplementary Materials.

Conflicts of Interest

The authors declare no conflicts of interest.

References

  1. Otto, M.; Thomas, J.D.R. Model Studies on Multiple Channel Analysis of Free Magnesium, Calcium, Sodium, and Potassium at Physiological Concentration Levels with Ion-Selective Electrodes. Anal. Chem. 1985, 57, 2647–2651. [Google Scholar] [CrossRef]
  2. Beebe, K.R.; Kowalski, B.R. Nonlinear Calibration Using Projection Pursuit Regression: Application to an Array of Ion-Selective Electrodes. Anal. Chem. 1988, 60, 2273–2278. [Google Scholar] [CrossRef]
  3. Forster, R.J.; Regan, F.; Diamond, D. Modeling of Potentiometric Electrode Arrays for Multlcomponent Analysis. Anal. Chem. 1991, 63, 876–8821. [Google Scholar] [CrossRef]
  4. Persaud, K.; Dodd, G. Analysis of discrimination mechanisms in the mammalian olfactory system using a model nose. Nature 1982, 299, 352–355. [Google Scholar] [CrossRef]
  5. Vlasov, Y.; Legin, A.; Rudnitskaya, A.; Di Natale, C.; D’Amico, A. Nonspecific Sensor Arrays (“electronic Tongue”) for Chemical Analysis of Liquids: (IUPAC Technical Report). Pure Appl. Chem. 2005, 77, 1965–1983. [Google Scholar] [CrossRef]
  6. Rudnitskaya, A. Sensors | Biomimetic Sensor Arrays. In Encyclopedia of Analytical Science, 3rd ed.; Worsfold, P., Poole, C., Townshend, A., Miró, M., Eds.; Academic Press: Oxford, UK, 2019; pp. 154–160. [Google Scholar] [CrossRef]
  7. Wu, X.; Toko, K. Taste Sensor with Multiarray Lipid/Polymer Membranes. TrAC Trends Anal. Chem. 2023, 158, 116874. [Google Scholar] [CrossRef]
  8. del Valle, M. Electronic Tongues Employing Electrochemical Sensors. Electroanalysis 2010, 22, 1539–1555. [Google Scholar] [CrossRef]
  9. Mimendia, A.; Legin, A.; Merkoçi, A.; del Valle, M. Use of Sequential Injection Analysis to Construct a Potentiometric Electronic Tongue: Application to the Multidetermination of Heavy Metals. Sens. Actuators B Chem. 2010, 146, 420–426. [Google Scholar] [CrossRef]
  10. Sarma, M.; Romero, N.; Cetó, X.; Valle, M. del. Optimization of Sensors to Be Used in a Voltammetric Electronic Tongue Based on Clustering Metrics. Sensors 2020, 20, 4798. [Google Scholar] [CrossRef]
  11. Giacometti, J.A.; Shimizu, F.M.; Carr, O.; Oliveira, O.N. A Guiding Method to Select and Reduce the Number of Sensing Units in Electronic Tongues. In 2016 IEEE SENSORS; IEEE: Piscataway, NJ, USA, 2016; pp. 1–3. [Google Scholar]
  12. Cetó, X.; Sarma, M.; Del Valle, M. A Priori Tailored Selection of Sensor Arrays for Electronic Tongues. Talanta 2023, 254, 124155. [Google Scholar] [CrossRef]
  13. Ciosek, P.; Brzózka, Z.; Wróblewski, W. Classification of Beverages Using a Reduced Sensor Array. Sens. Actuators B Chem. 2004, 103, 76–83. [Google Scholar] [CrossRef]
  14. Sibug-Torres, S.M.; Enriquez, E.P. Information Theoretic Analysis of Potentiometric Sensor Array Configurations. In Proceedings of the 2019 IEEE 9th International Conference on System Engineering and Technology, ICSET 2019–Proceeding, Shah Alam, Malaysia, 7 October 2019; pp. 465–470. [Google Scholar] [CrossRef]
  15. Sibug-Torres, S.M.; Enriquez, E.P. Design of Potentiometric Sensor Arrays Using Fisher Information and Genetic Algorithm. In Proceedings of the 2019 1st International Conference on Electrical, Control and Instrumentation Engineering (ICECIE), Kuala Lumpur, Malaysia, 25 November 2019; IEEE: Piscataway, NJ, USA, 2019; pp. 1–8. [Google Scholar]
  16. Nägele, M.; Bakker, E. General Description of the Simultaneous Response of Potentiometric Ionophore-Based Sensors to Ions of Different Charge. Anal. Chem. 1999, 71, 1041–1048. [Google Scholar] [CrossRef]
  17. Anderson, D.M. Approaches to Monitoring, Control and Management of Harmful Algal Blooms (HABs). Ocean. Coast. Manag. 2009, 52, 342–347. [Google Scholar] [CrossRef]
  18. Botana, L.M.; Louzao, M.C.; Alfonso, A.; Botana, A.M.; Vieytes, M.R.; Viñariño, N.; Vale, C. Measurement of Algal Toxins in the Environment. In Encyclopedia of Analytical Chemistry; John Wiley & Sons, Ltd.: Hoboken, NJ, USA, 2009. [Google Scholar] [CrossRef]
  19. Sommer, H.; Meyers, K.F. Paralytic Shellfish Poisoning. Arch Pathol. 1937, 24, 560–598. [Google Scholar]
  20. Raposo, M.I.C.; Gomes, M.T.S.R.; Botelho, M.J.; Rudnitskaya, A. Paralytic Shellfish Toxins (PST)-Transforming Enzymes: A Review. Toxins 2020, 12, 344. [Google Scholar] [CrossRef]
  21. Leal, J.F.; Bombo, G.; Pereira, H.; Vicente, B.; Amorim, A.; Cristiano, M.L.S. Toxin Profile of Two Gymnodinium Catenatum Strains from Iberian Coastal Waters. Toxins 2022, 14, 762. [Google Scholar] [CrossRef]
  22. Yang, I.; John, U.; Beszteri, S.; Glöckner, G.; Krock, B.; Goesmann, A.; Cembella, A.D. Comparative Gene Expression in Toxic versus Non-Toxic Strains of the Marine Dinoflagellate Alexandrium Minutum. BMC Genom. 2010, 11, 248. [Google Scholar] [CrossRef]
  23. Lewis, A.M.; Coates, L.N.; Turner, A.D.; Percy, L.; Lewis, J. A Review of the Global Distribution of Alexandrium Minutum (Dinophyceae) and Comments on Ecology and Associated Paralytic Shellfish Toxin Profiles, with a Focus on Northern Europe. J. Phycol. 2018, 54, 581–598. [Google Scholar] [CrossRef]
  24. Lewis, A.M.; Dean, K.J.; Hartnell, D.M.; Percy, L.; Turner, A.D.; Lewis, J.M. The Value of Toxin Profiles in the Chemotaxonomic Analysis of Paralytic Shellfish Toxins in Determining the Relationship between British Alexandrium spp. and Experimentally Contaminated mytilus sp. Harmful Algae 2022, 111, 102131. [Google Scholar] [CrossRef]
  25. Botelho, M.J.; Marques, F.; Freitas, R.; Pires, A.; Pereira, E.; Vale, C. Paralytic Shellfish Toxin Profiles in Mussel, Cockle and Razor Shell under Post-Bloom Natural Conditions: Evidence of Higher Biotransformation in Razor Shells and Cockles. Mar. Environ. Res. 2020, 154, 104839. [Google Scholar] [CrossRef]
  26. Ferreira, N.S.; Cruz, M.G.N.; Gomes, M.T.S.R.; Rudnitskaya, A. Potentiometric Chemical Sensors for the Detection of Paralytic Shellfish Toxins. Talanta 2018, 181, 380–384. [Google Scholar] [CrossRef]
  27. Cruz, M.G.N.; Ferreira, N.S.; Gomes, M.T.S.R.; Botelho, M.J.; Costa, S.T.; Vale, C.; Rudnitskaya, A. Determination of Paralytic Shellfish Toxins Using Potentiometric Electronic Tongue. Sens. Actuators B Chem. 2018, 263, 550–556. [Google Scholar] [CrossRef]
  28. Umezawa, Y.; Bühlmann, P.; Umezawa, K.; Tohda, K.; Amemiya, S. Potentiometric Selectivity Coefficients of Ion-Selective Electrodes. Part I. Inorganic Cations (Technical Report). Pure Appl. Chem. 2000, 72, 1851–2082. [Google Scholar] [CrossRef]
  29. Kailkhura, B.; Thiagarajan, J.J.; Rastogi, C.; Varshney, P.K.; Bremer, P.-T. A Spectral Approach for the Design of Experiments: Design, Analysis and Algorithms. J. Mach. Learn. Res. 2018, 19, 1214–1259. [Google Scholar]
  30. Dillingham, P.W.; Alsaedi, B.S.O.; Granados-Focil, S.; Radu, A.; McGraw, C.M. Establishing Meaningful Limits of Detection for Ion-Selective Electrodes and Other Nonlinear Sensors. ACS Sens. 2020, 5, 250–257. [Google Scholar] [CrossRef]
  31. Tibshirani, R. Regression Shrinkage and Selection via the Lasso. J. R. Stat. Soc. Series B Stat. Methodol. 1996, 58, 267–288. [Google Scholar] [CrossRef]
  32. Muthukrishnan, R.; Rohini, R. LASSO: A Feature Selection Technique in Predictive Modeling for Machine Learning. In Proceedings of the 2016 IEEE International Conference on Advances in Computer Applications (ICACA), Coimbatore, India, 24 October 2016; IEEE: Piscataway, NJ, USA, 2016; pp. 18–20. [Google Scholar]
  33. EFSA. Scientific Opinion of the Panel on Contaminants in the Food Chain on a Request from the European Commission on Marine Biotoxins in Shellfish-Saxitoxin Group. Eur. Food Saf. Auth. J. 2009, 1019, 1–76. [Google Scholar]
  34. Lindner, E.; Gyurcsányi, R.E.; Buck, R.P. Tailored Transport through Ion-selective Membranes for Improved Detection Limits and Selectivity Coefficients. Electroanal. An. Int. J. Devoted Fundam. Pract. Asp. Electroanal. 1999, 11, 695–702. [Google Scholar] [CrossRef]
  35. Alexander, J.; Benford, D.; Cockburn, A.; Cravedi, J.; Dogliotti, E.; Domenico, A.D.; Fernández-Cruz, M.L.; Fink-gremmels, J.; Fürst, P.; Galli, C.; et al. Marine Biotoxins in Shellfish—Saxitoxin Group; Scientific Opinion of the Panel on Contaminants in the Food Chain. (Adopted on 25 March 2009). EFSA J. 2009, 1019, 1–76. [Google Scholar] [CrossRef]
Figure 1. Sensitivity (slopes of the electrode function, mV/logC) of 8 sensors in solutions of PSTs characteristic of the profile of bivalves after exposure to (a) a G. catenatum bloom and (b) an A. minutum bloom. The mean values of three measurements carried out in 0.25 mmol L−1 Tris-HCl pH 7 are shown.
Figure 1. Sensitivity (slopes of the electrode function, mV/logC) of 8 sensors in solutions of PSTs characteristic of the profile of bivalves after exposure to (a) a G. catenatum bloom and (b) an A. minutum bloom. The mean values of three measurements carried out in 0.25 mmol L−1 Tris-HCl pH 7 are shown.
Chemosensors 12 00115 g001
Figure 2. Limits of detection for 8 sensors in the solutions of PSTs characteristic of the profile of bivalves after exposure to (a) a G. catenatum bloom and (b) an A. minutum bloom. The mean values of three measurements carried out in individual PST solutions prepared in 0.25 mmol L−1 Tris-HCl (pH 7) are shown.
Figure 2. Limits of detection for 8 sensors in the solutions of PSTs characteristic of the profile of bivalves after exposure to (a) a G. catenatum bloom and (b) an A. minutum bloom. The mean values of three measurements carried out in individual PST solutions prepared in 0.25 mmol L−1 Tris-HCl (pH 7) are shown.
Chemosensors 12 00115 g002
Figure 3. Logarithms of selectivity coefficients (log K (A,B)) for 8 sensors for PSTs characteristic of the toxin profile in bivalves after exposure to (a) a G. catenatum bloom and (b) an A. minutum bloom. The mean values of 3 measurements carried out in 0.25 mmol L−1 Tris-HCl (pH 7) are shown.
Figure 3. Logarithms of selectivity coefficients (log K (A,B)) for 8 sensors for PSTs characteristic of the toxin profile in bivalves after exposure to (a) a G. catenatum bloom and (b) an A. minutum bloom. The mean values of 3 measurements carried out in 0.25 mmol L−1 Tris-HCl (pH 7) are shown.
Chemosensors 12 00115 g003
Figure 4. The results of Lasso regularization for the STX (a,b), GTX2+3 (c,d) and total toxicity (e,f) calibration models. (a,c,e): cross-validated MSE and the number of non-zero regression coefficients in the model vs. the Lambda value. The green dot with green dashed vertical line represents the Lambda value with minimal MSE, and the blue dot with blue dashed vertical line represents the Lambda value with minimal MSE plus one standard deviation. The latter value is a recommended setting for Lambda. (b,d,f): heatmaps of the regression coefficients, with coefficients set to 0 shown in white. Red line shows the optimum sensor array configuration corresponding to the blue dot in the graphs (a,c,e).
Figure 4. The results of Lasso regularization for the STX (a,b), GTX2+3 (c,d) and total toxicity (e,f) calibration models. (a,c,e): cross-validated MSE and the number of non-zero regression coefficients in the model vs. the Lambda value. The green dot with green dashed vertical line represents the Lambda value with minimal MSE, and the blue dot with blue dashed vertical line represents the Lambda value with minimal MSE plus one standard deviation. The latter value is a recommended setting for Lambda. (b,d,f): heatmaps of the regression coefficients, with coefficients set to 0 shown in white. Red line shows the optimum sensor array configuration corresponding to the blue dot in the graphs (a,c,e).
Chemosensors 12 00115 g004
Table 1. Structure of some paralytic shellfish toxins. STX—saxitoxin; GTX—gonyautoxin.
Table 1. Structure of some paralytic shellfish toxins. STX—saxitoxin; GTX—gonyautoxin.
Basic StructureGroupToxinR1R2R3R4
Chemosensors 12 00115 i001Decarbamoyl
(dc)
dcSTXHHHChemosensors 12 00115 i002
dcGTX2HHOSO3
dcGTX3HOSO3H
dcNeoOHHH
N-sulfocarbamoylGTX5HHHChemosensors 12 00115 i003
GTX6OHHH
C1HHOSO3
C2HOSO3H
CarbamoylSTXHHHChemosensors 12 00115 i004
GTX2HHOSO3
GTX3HOSO3H
Table 2. Ionophores used in the sensing membranes.
Table 2. Ionophores used in the sensing membranes.
SensorIonophore
1Calix[6]arene
2Calix[4]arene−25,26,27,28–tetrol
31,4,10,13–tetraoxa−7,16–diazacyclo–octadecane
41,4,7,10,13-Pentaoxa-16-azacyclooctadecane
5Calix[6]arene–hexaacetic acid hexaethylester
65,10,15,20–tetrakis(pentafluorophenyl)–21H,23H–porphyrin
7Octadecyl 4–formylbenzoate
84,6,11,12-tetrahydro-3-methyl-1-phenyl-1H-pyrazolo[3′,4′:4,5]pyrimido[1,2-b]quinazolin-5-ium tetrafluoroborate
Table 3. Concentrations of STX and GTX2+3 toxins in mixed solutions.
Table 3. Concentrations of STX and GTX2+3 toxins in mixed solutions.
Mixed Solution No.Conc., μmol L−1Total Toxicity *, µg STX eq/kg
STXGTX2+3
10.100.10476
20.820.613531
30.460.872924
40.641.003692
50.280.742155
61.000.223370
* Total toxicity = sum of each toxin concentration multiplied by the corresponding TEF (toxicity equivalence factor).
Table 4. Concentrations of dcSTX, GTX5, C1+2 and GTX6 toxins in mixed solutions.
Table 4. Concentrations of dcSTX, GTX5, C1+2 and GTX6 toxins in mixed solutions.
Mixed Solution No.Conc., μmol L−1Total Toxicity *, STX.diHCl-eq/kg
dcSTXGTX5C1+2GTX6
10.100.400.100.40554
20.260.700.470.501272
30.180.650.290.971099
40.220.630.181.201252
50.140.780.600.741038
60.300.480.380.631341
70.160.740.160.65949
80.241.200.100.591280
90.120.620.460.88950
100.280.510.240.981348
* Total toxicity = sum of each toxin concentration multiplied by the corresponding TEF.
Table 5. Concentration ranges of PSTs used for simulation.
Table 5. Concentration ranges of PSTs used for simulation.
Toxin ProfileToxinConcentrations
MinMax
G. catenatum bloomsdcSTX, μM0.100.30
GTX5, μM0.401.20
C1+2, μM0.100.60
GTX6, μM0.401.20
Tot. toxicity, µg STX.diHCl-eq /kg6252948
Alexandrium spp. bloomsSTX, μM0.100.50
GTX2+3, μM0.100.50
Alexandrium spp. bloomsTot. toxicity, µg STX.diHCl-eq /kg4763811
Table 6. The RMSEs for cross-validation data for STX and GTX2+3 and total toxicity for the optimized sensor array and all models calculated using simulated sensor responses and Lasso regularization, along with the optimized sensor array composition.
Table 6. The RMSEs for cross-validation data for STX and GTX2+3 and total toxicity for the optimized sensor array and all models calculated using simulated sensor responses and Lasso regularization, along with the optimized sensor array composition.
ToxinsOptimized ConfigurationRMSECV Range for All LASSO Models
(Min–Mix)
RMSECVSensors
STX, μM0.0405,70.030–0.363
GTX2+3, μM0.1092,3,4,5,6,80.079–0.384
Tot. toxicity, µg STX.diHCl-eq/kg4625450–1252
Table 7. The RMSEs for cross-validation data for dcSTX, GTX5, GTX6 and C1+2, and total toxicity for the optimized sensor array and all models calculated using simulated sensor responses and Lasso regularization, along with the optimized sensor array composition.
Table 7. The RMSEs for cross-validation data for dcSTX, GTX5, GTX6 and C1+2, and total toxicity for the optimized sensor array and all models calculated using simulated sensor responses and Lasso regularization, along with the optimized sensor array composition.
ToxinsOptimized ConfigurationRMSECV Range for All LASSO Models (Min–Mix)
RMSECVSensors
dcSTX, μM0.0163,4,5,7,80.016–0.180
GTX5, μM0.0801,3,4,5,6,7,80.076–0.196
C1+2, μM0.0501,2,3,4,5,6,7,80.047–0.294
GTX6, μM0.0063,4,5,6,70.006–0.194
Tot. toxicity, µg STX.diHCl-eq/kg431,3,4,5,6,7,841–267
Table 8. The RMSEs for cross-validation data for STX and GTX2+3, and total toxicity using the sensor array optimized a priori using simulated data and using measurements with 8 sensors in 6 mixed solutions and error ranges for models calculated sensor measurements in mixed solutions. All models were calculated using Lasso regularization.
Table 8. The RMSEs for cross-validation data for STX and GTX2+3, and total toxicity using the sensor array optimized a priori using simulated data and using measurements with 8 sensors in 6 mixed solutions and error ranges for models calculated sensor measurements in mixed solutions. All models were calculated using Lasso regularization.
ToxinsOptimized Sensor ArrayRMSECV Range for All LASSO Models (Min–Max)
A prioriIn Mixed Solutions
STX, μM0.0640.0660.058–0.36
GTX2+3, μM0.310.330.32–0.58
Tot. toxicity, µg STX.diHCl-eq/kg243291251–1213
Table 9. The RMSEs for cross-validation data for dcSTX, GTX5, C1+2, GTX6, and total toxicity using the sensor array optimized a priori using simulated data and using measurements with 8 sensors in 6 mixed solutions and error ranges for models calculated sensor measurements in mixed solutions. All models were calculated using Lasso regularization.
Table 9. The RMSEs for cross-validation data for dcSTX, GTX5, C1+2, GTX6, and total toxicity using the sensor array optimized a priori using simulated data and using measurements with 8 sensors in 6 mixed solutions and error ranges for models calculated sensor measurements in mixed solutions. All models were calculated using Lasso regularization.
ToxinsOptimized Sensor ArrayRMSECV Range for All LASSO Models (Min–Max)
A prioriIn Mixed Solutions
dcSTX, μM0.0730.1030.103–0.184
GTX5, μM0.1120.1070.107–0.171
C1+2, μM0.1360.2200.220–0.283
GTX6, μM0.1270.1270.127–0.170
Tot. toxicity, µg STX.diHCl-eq/kg227233233–451
Disclaimer/Publisher’s Note: The statements, opinions and data contained in all publications are solely those of the individual author(s) and contributor(s) and not of MDPI and/or the editor(s). MDPI and/or the editor(s) disclaim responsibility for any injury to people or property resulting from any ideas, methods, instructions or products referred to in the content.

Share and Cite

MDPI and ACS Style

Raposo, M.; Gomes, M.T.S.R.; Costa, S.T.; Botelho, M.J.; Rudnitskaya, A. Sensor Selection for an Electronic Tongue for the Rapid Detection of Paralytic Shellfish Toxins: A Case Study. Chemosensors 2024, 12, 115. https://doi.org/10.3390/chemosensors12060115

AMA Style

Raposo M, Gomes MTSR, Costa ST, Botelho MJ, Rudnitskaya A. Sensor Selection for an Electronic Tongue for the Rapid Detection of Paralytic Shellfish Toxins: A Case Study. Chemosensors. 2024; 12(6):115. https://doi.org/10.3390/chemosensors12060115

Chicago/Turabian Style

Raposo, Mariana, Maria Teresa S. R. Gomes, Sara T. Costa, Maria João Botelho, and Alisa Rudnitskaya. 2024. "Sensor Selection for an Electronic Tongue for the Rapid Detection of Paralytic Shellfish Toxins: A Case Study" Chemosensors 12, no. 6: 115. https://doi.org/10.3390/chemosensors12060115

APA Style

Raposo, M., Gomes, M. T. S. R., Costa, S. T., Botelho, M. J., & Rudnitskaya, A. (2024). Sensor Selection for an Electronic Tongue for the Rapid Detection of Paralytic Shellfish Toxins: A Case Study. Chemosensors, 12(6), 115. https://doi.org/10.3390/chemosensors12060115

Note that from the first issue of 2016, this journal uses article numbers instead of page numbers. See further details here.

Article Metrics

Back to TopTop