Humidity and Temperature Sensing of Mixed Nickel–Magnesium Spinel Ferrites
Abstract
1. Introduction
2. Materials and Methods
3. Results and Discussion
3.1. Structural Characterization
3.2. Morphology
3.3. Elemental Composition and Surface Analysis
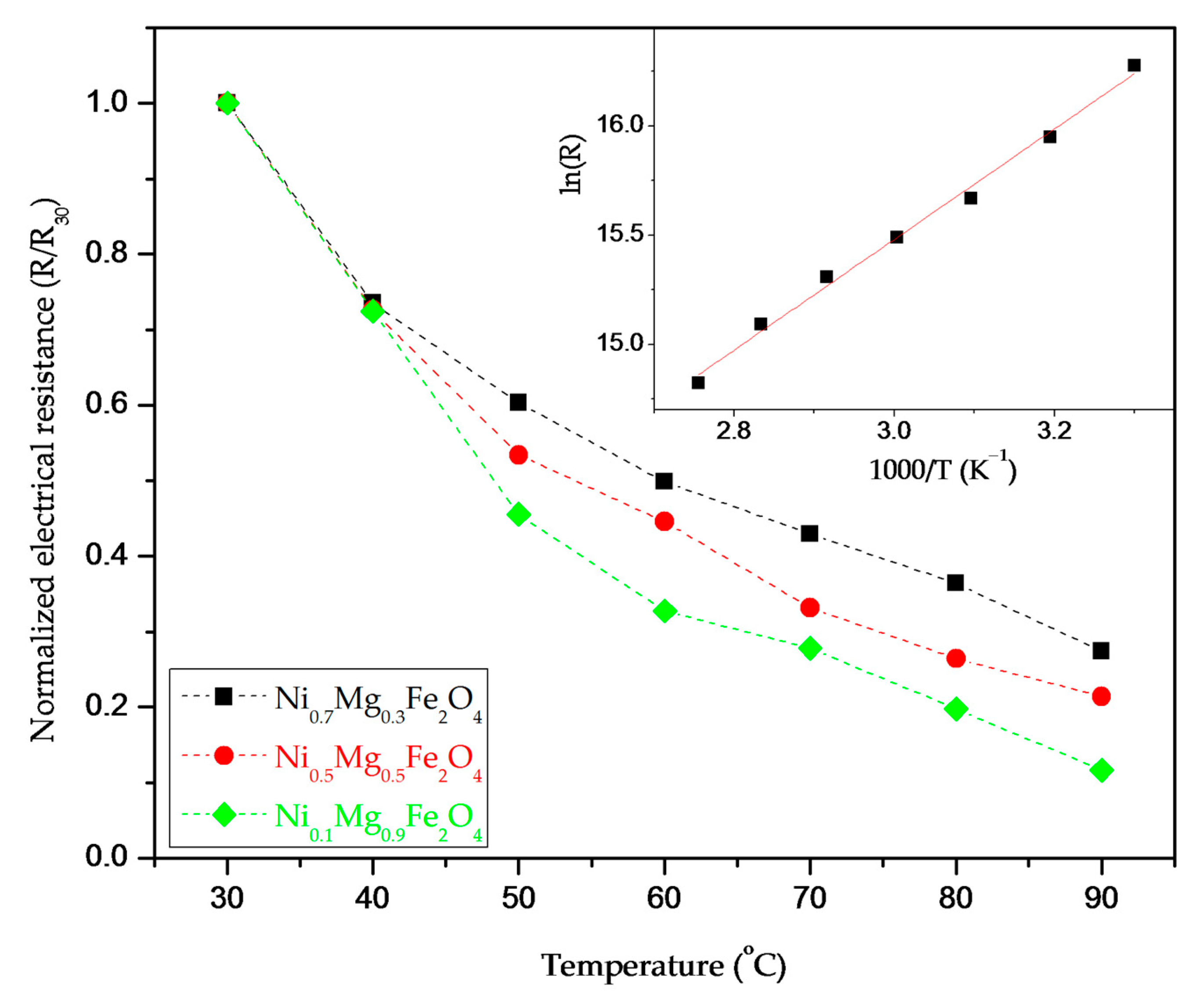
3.4. Temperature Sensing
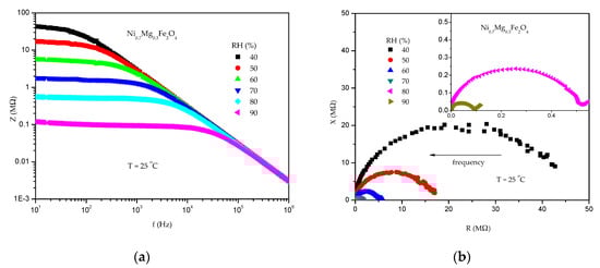
3.5. Humidity Sensing
4. Conclusions
Supplementary Materials
Author Contributions
Funding
Institutional Review Board Statement
Informed Consent Statement
Data Availability Statement
Acknowledgments
Conflicts of Interest
References
- Zhao, Q.; Yan, Z.; Chen, C.; Chen, J. Spinels: Controlled Preparation, Oxygen Reduction/Evolution Reaction Application, and Beyond. Chem. Rev. 2017, 117, 10121–10211. [Google Scholar] [CrossRef]
- Šutka, A.; Gross, K.A. Spinel ferrite oxide semiconductor gas sensors. Sens. Actuators B Chem. 2016, 222, 95–105. [Google Scholar] [CrossRef]
- Kefeni, K.K.; Mamba, B.B.; Msagati, T.A. Application of spinel ferrite nanoparticles in water and wastewater treatment: A review. Sep. Purif. Technol. 2017, 188, 399–422. [Google Scholar] [CrossRef]
- Li, Y.; Wang, T.; Zhang, S.; Zhang, Y.; Yu, L.; Liu, R. Adsorption and electrochemical behavior investigation of methyl blue onto magnetic nickel-magnesium ferrites prepared via the rapid combustion process. J. Alloys Compd. 2021, 885, 160969. [Google Scholar] [CrossRef]
- Qin, H.; He, Y.; Xu, P.; Huang, D.; Wang, Z.; Wang, H.; Wang, Z.; Zhao, Y.; Tian, Q.; Wang, C. Spinel ferrites (MFe2O4): Synthesis, improvement and catalytic application in environment and energy field. Adv. Colloid Interface Sci. 2021, 294, 102486. [Google Scholar] [CrossRef] [PubMed]
- Kefeni, K.K.; Mamba, B.B. Photocatalytic application of spinel ferrite nanoparticles and nanocomposites in wastewater treatment: Review. Sustain. Mater. Technol. 2019, 23, e00140. [Google Scholar] [CrossRef]
- Amiri, M.; Salavati-Niasari, M.; Akbari, A. Magnetic nanocarriers: Evolution of spinel ferrites for medical applications. Adv. Colloid Interface Sci. 2019, 265, 29–44. [Google Scholar] [CrossRef] [PubMed]
- Malaie, K.; Ganjali, M.R. Spinel nano-ferrites for aqueous supercapacitors; linking abundant resources and low-cost processes for sustainable energy storage. J. Energy Storage 2020, 33, 102097. [Google Scholar] [CrossRef]
- Mittal, V.; Bera, S.; Nithya, R.; Srinivasan, M.; Velmurugan, S.; Narasimhan, S. Solid state synthesis of Mg–Ni ferrite and characterization by XRD and XPS. J. Nucl. Mater. 2004, 335, 302–310. [Google Scholar] [CrossRef]
- Anumol, C.N.; Chithra, M.; Rout, S.; Sahoo, S.C. Effect of Magnesium Substitution on Structural and Magnetic Properties of Nickel Ferrite Nanoparticles. J. Supercond. Nov. Magn. 2019, 33, 1611–1617. [Google Scholar] [CrossRef]
- Varshney, D.; Verma, K. Substitutional effect on structural and dielectric properties of Ni1−xAxFe2O4 (A = Mg, Zn) mixed spinel ferrites. Mater. Chem. Phys. 2013, 140, 412–418. [Google Scholar] [CrossRef]
- Almessiere, M.A.; Slimani, Y.A.; Hassan, M.; Gondal, M.A.; Cevik, E.; Baykal, A. Investigation of hard/soft CoFe2O4/NiSc0.03Fe1.97O4 nanocomposite for energy storage applications. Int. J. Energy Res. 2021, 45, 16691–16708. [Google Scholar] [CrossRef]
- Nair, V.; Jose, R.; Raju, K.; Wariar, P. Optimization of citrate complex combustion for synthesis of transition metal oxide nanostructures. J. Alloys Compd. 2013, 552, 180–185. [Google Scholar] [CrossRef]
- Farahani, H.; Wagiran, R.; Hamidon, M.N. Humidity Sensors Principle, Mechanism, and Fabrication Technologies: A Comprehensive Review. Sensors 2014, 14, 7881–7939. [Google Scholar] [CrossRef] [PubMed]
- Feteira, A. Negative Temperature Coefficient Resistance (NTCR) Ceramic Thermistors: An Industrial Perspective. J. Am. Ceram. Soc. 2009, 92, 967–983. [Google Scholar] [CrossRef]
- Priya, R.S.; Chaudhary, P.; Kumar, E.R.; Balamurugan, A.; Srinivas, C.; Prasad, G.; Yadav, B.; Sastry, D. Evaluation of structural, dielectric and electrical humidity sensor behaviour of MgFe2O4 ferrite nanoparticles. Ceram. Int. 2021, 47, 15995–16008. [Google Scholar] [CrossRef]
- Dumitrescu, A.; Lisa, G.; Iordan, A.; Tudorache, F.; Petrila, I.; Borhan, A.; Palamaru, M.; Mihailescu, C.; Leontie, L.; Munteanu, C. Ni ferrite highly organized as humidity sensors. Mater. Chem. Phys. 2015, 156, 170–179. [Google Scholar] [CrossRef]
- Nandan, B.; Bhatnagar, M.; Kashyap, S.C. Cation distribution in nanocrystalline cobalt substituted nickel ferrites: X-ray diffraction and Raman spectroscopic investigations. J. Phys. Chem. Solids 2019, 129, 298–306. [Google Scholar] [CrossRef]
- Henderson, C.M.B.; Charnock, J.M.; Plant, D.A. Cation occupancies in Mg, Co, Ni, Zn, Al ferrite spinels: A multi-element EXAFS study. J. Physics Condens. Matter 2007, 19, 076214. [Google Scholar] [CrossRef]
- Akbari, S.; Masoudpanah, S.; Mirkazemi, S.; Aliyan, N. PVA assisted coprecipitation synthesis and characterization of MgFe2O4 nanoparticles. Ceram. Int. 2017, 43, 6263–6267. [Google Scholar] [CrossRef]
- Gateshki, M.; Petkov, V.; Pradhan, S.K.; Vogt, T. Structure of nanocrystalline MgFe2O4from X-ray diffraction, Rietveld and atomic pair distribution function analysis. J. Appl. Crystallogr. 2005, 38, 772–779. [Google Scholar] [CrossRef]
- Dojcinovic, M.P.; Vasiljevic, Z.Z.; Pavlovic, V.P.; Barisic, D.; Pajic, D.; Tadic, N.B.; Nikolic, M.V. Mixed Mg–Co spinel ferrites: Structure, morphology, magnetic and photocatalytic properties. J. Alloys Compd. 2021, 855, 157429. [Google Scholar] [CrossRef]
- Deraz, N. Effects of magnesia addition on structural, morphological and magnetic properties of nano-crystalline nickel ferrite system. Ceram. Int. 2012, 38, 511–516. [Google Scholar] [CrossRef]
- Joshi, H.; Gowreesan, S.; Kumar, A.R. Influences of Ni2+ on magnetic property and dielectric property in spinel structure of Mg ferrite (Mg1−xNixFe2O4). J. Mater. Sci. Mater. Electron. 2017, 29, 3449–3457. [Google Scholar] [CrossRef]
- Ahlawat, A.; Sathe, V.G. Raman study of NiFe2 O4 nanoparticles, bulk and films: Effect of laser power. J. Raman Spectrosc. 2010, 42, 1087–1094. [Google Scholar] [CrossRef]
- Moradmard, H.; Shayesteh, S.F.; Tohidi, P.; Abbas, Z.; Khaleghi, M. Structural, magnetic and dielectric properties of magnesium doped nickel ferrite nanoparticles. J. Alloys Compd. 2015, 650, 116–122. [Google Scholar] [CrossRef]
- Chavan, P.; Naik, L.R. Investigation of energy band gap and conduction mechanism of magnesium substituted nickel ferrite nanoparticles. Phys. Status Solidi (A) 2017, 214, 1700077. [Google Scholar] [CrossRef]
- Shobana, M.; Kim, K.; Kim, J.-H. Impact of magnesium substitution in nickel ferrite: Optical and electrochemical studies. Phys. E Low-Dimens. Syst. Nanostructures 2018, 108, 100–104. [Google Scholar] [CrossRef]
- Chavan, P.; Naik, L.R.; Belavi, P.B.; Chavan, G.; Ramesha, C.K.; Kotnala, R.K. Studies on Electrical and Magnetic Properties of Mg-Substituted Nickel Ferrites. J. Electron. Mater. 2016, 46, 188–198. [Google Scholar] [CrossRef]
- Ugendar, K.; Samanta, S.; Rayaprol, S.; Siruguri, V.; Markandeyulu, G.; Nanda, B.R.K. Effect of frustrated exchange interactions and spin-half-impurity on the electronic structure of strongly correlated NiFe2O4. Phys. Rev. B 2017, 96, 035138. [Google Scholar] [CrossRef]
- Ortiz-Quiñonez, J.L.; Pal, U.; Villanueva, M.S. Structural, Magnetic, and Catalytic Evaluation of Spinel Co, Ni, and Co–Ni Ferrite Nanoparticles Fabricated by Low-Temperature Solution Combustion Process. ACS Omega 2018, 3, 14986–15001. [Google Scholar] [CrossRef] [PubMed]
- Yan, Z.; Gao, J.; Li, Y.; Zhang, M.; Guo, M. Hydrothermal synthesis and structure evolution of metal-doped magnesium ferrite from saprolite laterite. RSC Adv. 2015, 5, 92778–92787. [Google Scholar] [CrossRef]
- Mund, H.; Ahuja, B. Structural and magnetic properties of Mg doped cobalt ferrite nano particles prepared by sol-gel method. Mater. Res. Bull. 2016, 85, 228–233. [Google Scholar] [CrossRef]
- Yu, T.; Shen, Z.X.; Shi, Y.; Ding, J. Cation migration and magnetic ordering in spinel CoFe2O4powder: Micro-Raman scattering study. J. Physics Condens. Matter 2002, 14, L613–L618. [Google Scholar] [CrossRef]
- Singh, J.P.; Srivastava, R.C.; Agrawal, H.M.; Kumar, R. Micro-Raman investigation of nanosized zinc ferrite: Effect of crystallite size and fluence of irradiation. J. Raman Spectrosc. 2011, 42, 1510–1517. [Google Scholar] [CrossRef]
- Yadav, R.S.; Kuřitka, I.; Vilcakova, J.; Havlica, J.; Masilko, J.; Kalina, L.; Tkacz, J.; Enev, V.; Hajdúchová, M. Structural, magnetic, dielectric, and electrical properties of NiFe2O4 spinel ferrite nanoparticles prepared by honey-mediated sol-gel combustion. J. Phys. Chem. Solids 2017, 107, 150–161. [Google Scholar] [CrossRef]
- Lazarević, Z.Ž; Jovalekić, Č.; Milutinović, A.; Sekulić, D.; Ivanovski, V.N.; Rečnik, A.; Cekić, B.; Romčević, N. Nanodimensional spinel NiFe2O4 and ZnFe2O4 ferrites prepared by soft mechanochemical synthesis. J. Appl. Phys. 2013, 113, 187221. [Google Scholar] [CrossRef]
- Wang, T.; Zhu, T.; Brunet, M.; Deshayes, C.; Sciau, P. Raman study of Yuan Qinghua porcelain: The highlighting of dendritic CoFe2O4crystals in blue decorations. J. Raman Spectrosc. 2016, 48, 267–270. [Google Scholar] [CrossRef]
- Kumar, K.A.; Bhowmik, R. Micro-structural characterization and magnetic study of Ni1.5Fe1.5O4 ferrite synthesized through coprecipitation route at different pH values. Mater. Chem. Phys. 2014, 146, 159–169. [Google Scholar] [CrossRef]
- Gao, Y.; Yin, P. Origin of asymmetric broadening of Raman peak profiles in Si nanocrystals. Sci. Rep. 2017, 7, srep43602. [Google Scholar] [CrossRef]
- Tanwar, M.; Yogi, P.; Lambora, S.; Mishra, S.; Saxena, S.K.; Sagdeo, P.R.; Krylov, A.S.; Kumar, R. Generalisation of phonon confinement model for interpretation of Raman line-shape from nano-silicon. Adv. Mater. Process. Technol. 2018, 4, 227–233. [Google Scholar] [CrossRef]
- Himcinschi, C.; Vrejoiu, I.; Salvan, G.; Fronk, M.; Talkenberger, A.; Zahn, D.R.T.; Rafaja, D.; Kortus, J. Optical and magneto-optical study of nickel and cobalt ferrite epitaxial thin films and submicron structures. J. Appl. Phys. 2013, 113, 084101. [Google Scholar] [CrossRef]
- Ivanov, V.G.; Abrashev, M.V.; Iliev, M.N.; Gospodinov, M.M.; Meen, J.; Aroyo, M.I. Short-rangeB-site ordering in the inverse spinel ferriteNiFe2O4. Phys. Rev. B 2010, 82, 024104. [Google Scholar] [CrossRef]
- Iliev, M.N.; Mazumdar, D.; Ma, J.X.; Gupta, A.; Rigato, F.; Fontcuberta, J. MonitoringB-site ordering and strain relaxation in NiFe2O4epitaxial films by polarized Raman spectroscopy. Phys. Rev. B 2011, 83, 014108. [Google Scholar] [CrossRef]
- Fritsch, D.; Ederer, C. Effect of epitaxial strain on the cation distribution in spinel ferrites CoFe2O4 and NiFe2O4: A density functional theory study. Appl. Phys. Lett. 2011, 99, 081916. [Google Scholar] [CrossRef]
- Kirchberg, K.; Becker, A.; Bloesser, A.; Weller, T.; Timm, J.; Suchomski, C.; Marschall, R. Stabilization of Monodisperse, Phase-Pure MgFe2O4 Nanoparticles in Aqueous and Nonaqueous Media and Their Photocatalytic Behavior. J. Phys. Chem. C 2017, 121, 27126–27138. [Google Scholar] [CrossRef]
- Puli, V.S.; Adireddy, S.; Ramana, C. Chemical bonding and magnetic properties of gadolinium (Gd) substituted cobalt ferrite. J. Alloys Compd. 2015, 644, 470–475. [Google Scholar] [CrossRef]
- Da Silva, S.W.; Nakagomi, F.; Silva, M.S.; Franco, A.; Garg, V.K.; Oliveira, A.C.; Morais, P.C.; Jr., A.F. Raman study of cations’ distribution in Zn x Mg1−x Fe2O4 nanoparticles. J. Nanoparticle Res. 2012, 14, 798. [Google Scholar] [CrossRef]
- Wang, Z.; Lazor, P.; Saxena, S.; O’Neill, H.S. High pressure Raman spectroscopy of ferrite MgFe2O4. Mater. Res. Bull. 2002, 37, 1589–1602. [Google Scholar] [CrossRef]
- Gawas, S.G.; Meena, S.S.; Bhatt, P.; Verenkar, V.M.S. Nanoscale-driven structural changes and associated superparamagnetism in magnetically diluted Ni–Zn ferrites. Mater. Chem. Front. 2018, 2, 300–312. [Google Scholar] [CrossRef]
- Surya, R.M.; Yulizar, Y.; Cahyana, A.H.; Apriandanu, D.O.B. One-pot Cajanus cajan (L.) Millsp. leaf extract-mediated preparation of MgFe2O4 nanoparticles: Optical, structural, morphological and particle size analyses. Solid State Commun. 2020, 326, 114170. [Google Scholar] [CrossRef]
- Varma, A.; Mukasyan, A.S.; Rogachev, A.S.; Manukyan, K.V. Solution Combustion Synthesis of Nanoscale Materials. Chem. Rev. 2016, 116, 14493–14586. [Google Scholar] [CrossRef] [PubMed]
- Prabhakaran, T.; Hemalatha, J. Combustion synthesis and characterization of cobalt ferrite nanoparticles. Ceram. Int. 2016, 42, 14113–14120. [Google Scholar] [CrossRef]
- Nadargi, D.; Umar, A.; Nadargi, J.; Patil, J.; Mulla, I.; Akbar, S.; Suryavanshi, S. Spinel Magnesium Ferrite (MgFe2O4): A Glycine-Assisted Colloidal Combustion and Its Potentiality in Gas-Sensing Application. Chemosensors 2022, 10, 361. [Google Scholar] [CrossRef]
- He, Y.; Zhang, L.; Xiong, H.-W.; Kang, X. Evolution of lattice defects in nickel ferrite spinel: Oxygen vacancy and cation substitution. J. Alloys Compd. 2022, 917, 165494. [Google Scholar] [CrossRef]
- Dhanyaprabha, K.C.; Jacob, B.; Mohan, M.; Al-Omari, I.A.; Al-Harthi, S.H.; Myint, M.T.; Thomas, H. Structural, Magnetic, and Optical Studies of Ni–Mg Ferrites Synthesized by Polyol Method. Phys. Status Solidi (A) 2021, 218, 2100193. [Google Scholar] [CrossRef]
- Thota, S.; Kashyap, S.C.; Sharma, S.K.; Reddy, V. Cation distribution in Ni-substituted Mn0.5Zn0.5Fe2O4 nanoparticles: A Raman, Mössbauer, X-ray diffraction and electron spectroscopy study. Mater. Sci. Eng. B 2016, 206, 69–78. [Google Scholar] [CrossRef]
- Li, F.; Liu, X.; Yang, Q.; Liu, J.; Evans, D.G.; Duan, X. Synthesis and characterization of Ni1−xZnxFe2O4 spinel ferrites from tailored layered double hydroxide precursors. Mater. Res. Bull. 2005, 40, 1244–1255. [Google Scholar] [CrossRef]
- Arillo, M.; López, M.; Pico, C.; Veiga, M.; Jiménez-López, A.; Rodríguez-Castellón, E. Surface characterisation of spinels with Ti(IV) distributed in tetrahedral and octahedral sites. J. Alloys Compd. 2001, 317–318, 160–163. [Google Scholar] [CrossRef]
- Mittal, V.K.; Chandramohan, P.; Bera, S.; Srinivasan, M.P.; Velmurugan, S.; Narasimhan, S.V. Cation distribution in NixMg1−xFe2O4 studied by XPS and Mössbauer spectroscopy. Solid State Commun. 2006, 137, 6–10. [Google Scholar] [CrossRef]
- Li, W.; Li, F.; Yang, H.; Wu, X.; Zhang, P.; Shan, Y.; Sun, L. A bio-inspired coordination polymer as outstanding water oxidation catalyst via second coordination sphere engineering. Nat. Commun. 2019, 10, 5074. [Google Scholar] [CrossRef] [PubMed]
- Töpfer, J.; Feltz, A.; Gräf, D.; Hackl, B.; Raupach, L.; Weissbrodt, P. Cation Valencies and Distribution in the Spinels NiMn2O4 and MzNiMn2−zO4 (M = Li, Cu) Studied by XPS. Phys. Status Solidi (A) 1992, 134, 405–415. [Google Scholar] [CrossRef]
- Šutka, A.; Pärna, R.; Käämbre, T.; Kisand, V. Synthesis of p-type and n-type nickel ferrites and associated electrical properties. Phys. B Condens. Matter 2015, 456, 232–236. [Google Scholar] [CrossRef]
- Shin, J.; Jeong, B.; Kim, J.; Nam, V.B.; Yoon, Y.; Jung, J.; Hong, S.; Lee, H.; Eom, H.; Yeo, J.; et al. Sensitive Wearable Temperature Sensor with Seamless Monolithic Integration. Adv. Mater. 2020, 32, e1905527. [Google Scholar] [CrossRef] [PubMed]
- Liu, T.; Zhang, H.; Ma, P.; Chang, A.; Jiang, H. Core–shell NTC materials with low thermal constant and high resistivity for wide-temperature thermistor ceramics. J. Am. Ceram. Soc. 2019, 102, 4393–4398. [Google Scholar] [CrossRef]
- Dojcinovic, M.P.; Vasiljevic, Z.Z.; Krstic, J.B.; Vujancevic, J.D.; Markovic, S.; Tadic, N.B.; Nikolic, M.V. Electrospun Nickel Manganite (NiMn2O4) Nanocrystalline Fibers for Humidity and Temperature Sensing. Sensors 2021, 21, 4357. [Google Scholar] [CrossRef]
- Nikolic, M.V.; Labus, N.J.; Pavlovic, V.P.; Markovic, S.; Lukovic, M.D.; Tadic, N.B.; Vujancevic, J.D.; Vlahovic, B.; Pavlovic, V.B. Nanocrystalline Zn2SnO4/SnO2: Crystal structure and humidity influence on complex impedance. J. Electroceramics 2020, 45, 135–147. [Google Scholar] [CrossRef]
- Nikolic, M.V.; Sekulic, D.L.; Vasiljevic, Z.Z.; Lukovic, M.D.; Pavlović, V.B.; Aleksic, O.S. Dielectric properties, complex impedance and electrical conductivity of Fe2TiO5 nanopowder compacts and bulk samples at elevated temperatures. J. Mater. Sci. Mater. Electron. 2016, 28, 4796–4806. [Google Scholar] [CrossRef]
- Nikolic, M.V.; Lukovic, M.D.; Vasiljevic, Z.Z.; Labus, N.J.; Aleksic, O.S. Humidity sensing potential of Fe2TiO5—Pseudobrookite. J. Mater. Sci. Mater. Electron. 2018, 29, 9227–9238. [Google Scholar] [CrossRef]
- Jeseentharani, V.; George, M.; Jeyaraj, B.; Dayalan, A.; Nagaraja, K.S. Synthesis of metal ferrite (MFe2O4, M = Co, Cu, Mg, Ni, Zn) nanoparticles as humidity sensor materials. J. Exp. Nanosci. 2013, 8, 358–370. [Google Scholar] [CrossRef]
- Nikolic, M.V.; Dojcinovic, M.P.; Vasiljevic, Z.Z.; Lukovic, M.D.; Labus, N.J. Nanocomposite Zn2SnO4/SnO2 Thick Films as a Humidity Sensing Material. IEEE Sensors J. 2020, 20, 7509–7516. [Google Scholar] [CrossRef]
- Selmi, M.; Smida, A.; El Kossi, S. Effect of Polaron formation in conduction and dielectric behavior in La0.7Sr0.25K0.05MnO3 oxide. J. Mater. Sci. Mater. Electron. 2021, 32, 6014–6027. [Google Scholar] [CrossRef]
- Mocanu, Z.V.; Airimioaei, M.; Ciomaga, C.E.; Curecheriu, L.; Tudorache, F.; Tascu, S.; Iordan, A.R.; Palamaru, N.M.; Mitoseriu, L. Investigation of the functional properties of Mg x Ni1−x Fe2O4 ceramics. J. Mater. Sci. 2014, 49, 3276–3286. [Google Scholar] [CrossRef]
- Sutka, A. The Role of Stoichiometry on Gas Response of Nanostructured Sol–Gel Auto Combustion Derived Nickel Ferrite. Sens. Lett. 2013, 11, 2010–2013. [Google Scholar] [CrossRef]
- Kotnala, R.K.; Shah, J.; Mathpal, M.C.; Verma, K.C.; Singh, S.; Lovkush. Influence of annealing on humidity response of RF sputtered nanocrystalline MgFe2O4 thin films. Thin Solid Film. 2011, 519, 6135–6139. [Google Scholar] [CrossRef]
- Sekulic, D.L.; Lazarevic, Z.Z.; Romcevic, N.Z. Nanocrystalline Porous Nickel Ferrite Ceramics for Humidity Sensing Applications. In Proceedings of the IEEE 31st International Conference on Microelectronics (MIEL), Nis, Serbia, 16–18 September 2019; pp. 95–98. [Google Scholar] [CrossRef]
- Nikolic, M.V.; Lukovic, M.D. Influence of SnO2 Content on the Humidity Dependent Impedance of the MgFe2O4-Fe2O3-SnO2 Compound. Chemosensors 2020, 8, 39. [Google Scholar] [CrossRef]
- Arshaka, K.; Twomey, K.; Egan, D. A Ceramic Thick Film Humidity Sensor Based on MnZn Ferrite. Sensors 2002, 2, 50–61. [Google Scholar] [CrossRef]
- Patil, S.; Pawar, A.; Tilekar, S.; Ladgaonkar, B. Investigation of magnesium substituted nano particle zinc ferrites for relative humidity sensors. Sensors Actuators A Phys. 2016, 244, 35–43. [Google Scholar] [CrossRef]













| Sample | Lattice Constant (Å) | Inversion Degree | Crystallite Size (nm) | Hematite (wt.%) |
|---|---|---|---|---|
| MgFe2O4 | 8.37854(10) | 0.8 | 37 | 17.7 |
| Ni0.1Mg0.9Fe2O4 | 8.36136(2) | 0.8 | 30 | 0 |
| Ni0.3Mg0.7Fe2O4 | 8.36820(8) | 0.8 | 38 | 6.2 |
| Ni0.5Mg0.5Fe2O4 | 8.34918(11) | 0.8 | 37 | 6.9 |
| Ni0.7Mg0.3Fe2O4 | 8.34304(10) | 1 | 34 | 6.9 |
| Ni0.9Mg0.1Fe2O4 | 8.33014(10) | 1 | 39 | 4.2 |
| NiFe2O4 | 8.33677(10) | 1 | 39 | 0.4 |
| El. | MgFe2O4 (%) | Ni0.5 Mg0.5Fe2O4 (%) | NiFe2O4 (%) |
|---|---|---|---|
| Mg | 23.4 | 9.9 | / |
| Ni | / | 1.3 | 13.1 |
| Fe | 10.9 | 72.4 | 22.3 |
| C | 3.3 | / | 8.9 |
| O | 62.4 | 16.4 | 55.7 |
| Sample | B30/90 (K) | α (%/K) | Ea (eV) | Er (eV) |
|---|---|---|---|---|
| MgFe2O4 | 3426 | −3.73 | 0.343 | 0.306 |
| Ni0.1Mg0.9Fe2O4 | 3747 | −4.08 | 0.347 | 0.319 |
| Ni0.3Mg0.7Fe2O4 | 3177 | −3.46 | 0.308 | 0.286 |
| Ni0.5Mg0.5Fe2O4 | 2849 | −3.10 | 0.294 | 0.263 |
| Ni0.7Mg0.3Fe2O4 | 2218 | −2.41 | 0.246 | 0.211 |
| Ni0.9Mg0.1Fe2O4 | 1348 | −1.47 | 0.119 | 0.039 |
| NiFe2O4 | / | / | / | / |
| ΔRH (%) | ΔZ/ΔRH (kΩ/%RH) | |||||
|---|---|---|---|---|---|---|
| Ni0.9Mg0.1Fe2O4 | Ni0.7Mg0.3Fe2O4 | Ni0.5Mg0.5Fe2O4 | Ni0.5Mg0.5Fe2O4 | Ni0.1Mg0.9Fe2O4 | MgFe2O4 | |
| 10 | 925 | 980 | 1083 | 1163 | 1530 | 958 |
| 20 | 908 | 910 | 1078 | 870 | 1131 | 1038 |
| 30 | 541 | 712 | 860 | 630 | 820 | 905 |
| 40 | 568 | 562 | 682 | 483 | 627 | 719 |
| 50 | 465 | 457 | 560 | 389 | 505 | 583 |
| average | 681.4 | 724.2 | 852.6 | 707 | 922.6 | 840.6 |
| Sensing Material | Impedance/Resistance Change | Sensitivity | Ref. |
|---|---|---|---|
| ZnFe2O4, solid-state synthesis, pellets | 43935 MΩ (RH 5%)–15 MΩ (RH 98%), R | 2895 (R5%/R98%) | [70] |
| CuFe2O4 solid-state synthesis, pellets | 1930.9 MΩ (RH 5%)–7.22 MΩ (RH 98%), R | 267 (R5%/R98%) | [70] |
| CoFe2O4 solid-state synthesis, pellets | 1506.8 MΩ (RH 5%)–5.8 MΩ (RH 98%), R | 260 (R5%/R98%) | [70] |
| NiFe2O4 solid-state synthesis, pellets | 2907.5 MΩ (RH 5%)–11.6 MΩ (RH 98%), R | 249 (R5%/R98%) | [70] |
| MgFe2O4 solid-state synthesis, pellets | 26452 MΩ (RH 5%)–114.8 MΩ (RH 98%), R | 230 (R5%/R98%) | [70] |
| MgFe2O4, RF sputtered thin film, calcined at 800 °C | 1012 Ω (RH 10%)–109 Ω (RH 90%), R | 20.888 (R10%/R90%) | [75] |
| NiFe2O4, solid-state synthesis, pellets | 4.07 MΩ (RH 15%)–32.5 kΩ (RH 85%) Z at 2.5 kHz | 57.6 kΩ/% RH | [76] |
| MgFe2O4-Fe2O3-SnO2 composite, solid-state synthesis, pellet | 26.1 MΩ (RH 30%)–1.77 MΩ (RH 90%), Z at 105 Hz | 391 kΩ/% RH (RH 30–90%) | [77] |
| MnZn ferrite, thin film | −83 kOm RH (30%)–53 kOm (RH 90%), R | 1.54%/% RH | [78] |
| Mg0.2Zn0.8Fe2O4, coprecipitation synthesis, thick film | 3100 MΩ (RH 30%)–600 MΩ (RH 95%), R | 60 MΩ/% RH (RH 30–90%) | [79] |
| NiMn2O4 synthesized by electrospinning, thick film | 31 MΩ (40% RH)–8.8 MΩ (90% RH), R | 327.36 kΩ/% RH (RH 40–90%) | [66] |
| MgFe2O4, sol-gel synthesis, thick film | 29.3 MΩ (RH 40%)–110 kΩ (RH 90%), Z at 100 Hz | 840.6 kΩ/% RH (RH 40–90%) | This work |
| Ni0.1Mg0.9Fe2O4, sol-gel synthesis, thick film | 25.3 MΩ (RH 40%)–40 kΩ (RH 90%) Z at 100 Hz | 922.6 kΩ/% RH (RH 40–90%) | This work |
Disclaimer/Publisher’s Note: The statements, opinions and data contained in all publications are solely those of the individual author(s) and contributor(s) and not of MDPI and/or the editor(s). MDPI and/or the editor(s) disclaim responsibility for any injury to people or property resulting from any ideas, methods, instructions or products referred to in the content. |
© 2023 by the authors. Licensee MDPI, Basel, Switzerland. This article is an open access article distributed under the terms and conditions of the Creative Commons Attribution (CC BY) license (https://creativecommons.org/licenses/by/4.0/).
Share and Cite
Dojcinovic, M.P.; Vasiljevic, Z.Z.; Rakocevic, L.; Pavlovic, V.P.; Ammar-Merah, S.; Vujancevic, J.D.; Nikolic, M.V. Humidity and Temperature Sensing of Mixed Nickel–Magnesium Spinel Ferrites. Chemosensors 2023, 11, 34. https://doi.org/10.3390/chemosensors11010034
Dojcinovic MP, Vasiljevic ZZ, Rakocevic L, Pavlovic VP, Ammar-Merah S, Vujancevic JD, Nikolic MV. Humidity and Temperature Sensing of Mixed Nickel–Magnesium Spinel Ferrites. Chemosensors. 2023; 11(1):34. https://doi.org/10.3390/chemosensors11010034
Chicago/Turabian StyleDojcinovic, Milena P., Zorka Z. Vasiljevic, Lazar Rakocevic, Vera P. Pavlovic, Souad Ammar-Merah, Jelena D. Vujancevic, and Maria Vesna Nikolic. 2023. "Humidity and Temperature Sensing of Mixed Nickel–Magnesium Spinel Ferrites" Chemosensors 11, no. 1: 34. https://doi.org/10.3390/chemosensors11010034
APA StyleDojcinovic, M. P., Vasiljevic, Z. Z., Rakocevic, L., Pavlovic, V. P., Ammar-Merah, S., Vujancevic, J. D., & Nikolic, M. V. (2023). Humidity and Temperature Sensing of Mixed Nickel–Magnesium Spinel Ferrites. Chemosensors, 11(1), 34. https://doi.org/10.3390/chemosensors11010034

