Selective Detection of Folic Acid Using a Water-Stable Fluorescent CsPbBr3/Cs4PbBr6 Perovskite Nanocrystal Probe
Abstract
1. Introduction
2. Experimental Section
2.1. Materials and Instruments
2.2. Synthesis of the CsPbBr3/Cs4PbBr6 PNCs
2.3. Detection of Folic Acid by CsPbBr3/Cs4PbBr6 PNCs
3. Results and Discussion
3.1. Characterization of CsPbBr3/Cs4PbBr6 PNCs
3.2. Optimization of Synthesis Conditions for CsPbBr3/Cs4PbBr6 PNCs
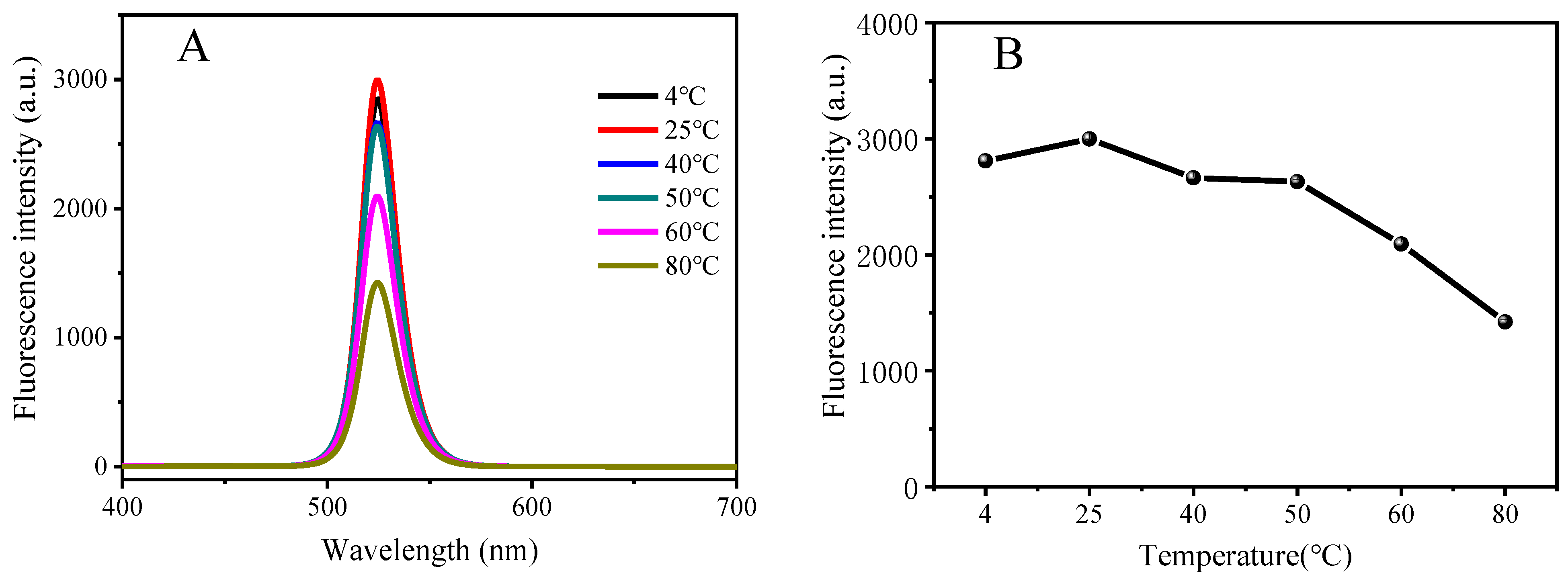
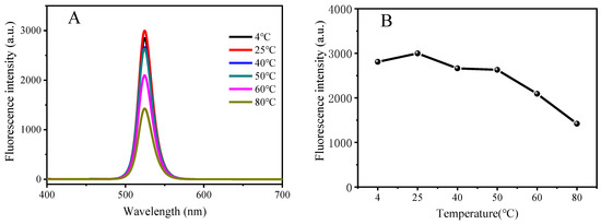
3.3. Stability of CsPbBr3/Cs4PbBr6 PNCs
3.4. Analytical Parameter of FA Detection
3.5. Fluorescence Quenching Mechanism of the CsPbBr3/Cs4PbBr6 PNCs by Folic Acid
3.6. Real Sample Detection
4. Conclusions
Supplementary Materials
Author Contributions
Funding
Institutional Review Board Statement
Informed Consent Statement
Data Availability Statement
Conflicts of Interest
References
- Protesescu, L.; Yakunin, S.; Bodnarchuk, M.I.; Krieg, F.; Caputo, R.; Hendon, C.H.; Yang, R.X.; Walsh, A.; Kovalenko, M.V. Nanocrystals of Cesium Lead Halide Perovskites (CsPbX(3), X = Cl, Br, and I): Novel Optoelectronic Materials Showing Bright Emission with Wide Color Gamut. Nano Lett. 2015, 15, 3692–3696. [Google Scholar] [CrossRef] [PubMed]
- Zhang, B.; Altamura, D.; Caliandro, R.; Giannini, C.; Peng, L.; De Trizio, L.; Manna, L. Stable CsPbBr3 Nanoclusters Feature a Disk-like Shape and a Distorted Orthorhombic Structure. J. Am. Chem. Soc. 2022, 144, 5059–5066. [Google Scholar] [CrossRef] [PubMed]
- Li, Z.; Hu, Q.; Tan, Z.; Yang, Y.; Leng, M.; Liu, X.; Ge, C.; Niu, G.; Tang, J. Aqueous Synthesis of Lead Halide Perovskite Nanocrystals with High Water Stability and Bright Photoluminescence. ACS Appl. Mater. Interfaces 2018, 10, 43915–43922. [Google Scholar] [CrossRef] [PubMed]
- Akkerman, Q.A.; D’Innocenzo, V.; Accornero, S.; Scarpellini, A.; Petrozza, A.; Prato, M.; Manna, L. Tuning the Optical Properties of Cesium Lead Halide Perovskite Nanocrystals by Anion Exchange Reactions. J. Am. Chem. Soc. 2015, 137, 10276–10281. [Google Scholar] [CrossRef]
- Bai, Z.; Zhong, H. Halide perovskite quantum dots: Potential candidates for display technology. Sci. Bull. 2015, 60, 1622–1624. [Google Scholar] [CrossRef][Green Version]
- Bekenstein, Y.; Koscher, B.A.; Eaton, S.W.; Yang, P.; Alivisatos, A.P. Highly Luminescent Colloidal Nanoplates of Perovskite Cesium Lead Halide and Their Oriented Assemblies. J. Am. Chem. Soc. 2015, 137, 16008–16011. [Google Scholar] [CrossRef]
- Sheng, X.; Liu, Y.; Wang, Y.; Li, Y.; Wang, X.; Wang, X.; Dai, Z.; Bao, J.; Xu, X. Cesium Lead Halide Perovskite Quantum Dots as a Photoluminescence Probe for Metal Ions. Adv. Mater. 2017, 29, 1700150. [Google Scholar] [CrossRef]
- Rosales, B.A.; Mundt, L.E.; Schelhas, L.T.; Wheeler, L.M. Reversible Methanolation of Metal Halide Perovskites. J. Am. Chem. Soc. 2022, 144, 667–672. [Google Scholar]
- Huang, S.; Li, Z.; Wang, B.; Zhu, N.; Zhang, C.; Kong, L.; Zhang, Q.; Shan, A.; Li, L. Morphology Evolution and Degradation of CsPbBr3 Nanocrystals under Blue Light-Emitting Diode Illumination. ACS Appl. Mater. Interfaces 2017, 9, 7249–7258. [Google Scholar] [CrossRef]
- Park, B.; Kang, S.-M.; Lee, G.-W.; Kwak, C.H.; Rethinasabapathy, M.; Huh, Y.S. Fabrication of CsPbBr3 Perovskite Quantum Dots/Cellulose-Based Colorimetric Sensor: Dual-Responsive On-Site Detection of Chloride and Iodide Ions. Ind. Eng. Chem. Res. 2019, 59, 793–801. [Google Scholar] [CrossRef]
- Roda, C.; Abdelhady, A.L.; Shamsi, J.; Lorenzon, M.; Pinchetti, V.; Gandini, M.; Meinardi, F.; Manna, L.; Brovelli, S. O2 as a molecular probe for nonradiative surface defects in CsPbBr3 perovskite nanostructures and single crystals. Nanoscale 2019, 11, 7613–7623. [Google Scholar] [CrossRef] [PubMed]
- Zhang, L.; Zhu, Y.; Li, F.; Zhang, L.; You, L.; Guo, Z.; Huang, Y.; Zhao, L.; Chen, X. Colorimetric Sensing of Benzoyl Peroxide Based on the Emission Wavelength-Shift of CsPbBr3 Perovskite Nanocrystals. Chemosensors 2021, 9, 319. [Google Scholar] [CrossRef]
- Fu, Y.-B.; Wen, Q.-L.; Ding, H.-T.; Yang, N.; Chai, X.-Y.; Zhang, Y.; Ling, J.; Shi, Y.-G.; Cao, Q. Green and simple synthesis of NH2-functionalized CsPbBr3 perovskite nanocrystals for detection of iodide ion. Microchem. J. 2022, 182, 107892. [Google Scholar] [CrossRef]
- Wang, Z.; Fu, R.; Li, F.; Xie, H.; He, P.; Sha, Q.; Tang, Z.; Wang, N.; Zhong, H. One-Step Polymeric Melt Encapsulation Method to Prepare CsPbBr3 Perovskite Quantum Dots/Polymethyl Methacrylate Composite with High Performance. Adv. Funct. Mater. 2021, 31, 2010009. [Google Scholar] [CrossRef]
- Wu, H.; Wang, S.; Cao, F.; Zhou, J.; Wu, Q.; Wang, H.; Li, X.; Yin, L.; Yang, X. Ultrastable Inorganic Perovskite Nanocrystals Coated with a Thick Long-Chain Polymer for Efficient White Light-Emitting Diodes. Chem. Mater. 2019, 31, 1936–1940. [Google Scholar] [CrossRef]
- Xin, Y.; Zhao, H.; Zhang, J. Highly Stable and Luminescent Perovskite-Polymer Composites from a Convenient and Universal Strategy. ACS Appl. Mater. Interfaces 2018, 10, 4971–4980. [Google Scholar] [CrossRef]
- Loiudice, A.; Saris, S.; Oveisi, E.; Alexander, D.T.L.; Buonsanti, R. CsPbBr3 QD/AlOx Inorganic Nanocomposites with Exceptional Stability in Water, Light, and Heat. Angew. Chem. Int. Ed. Engl. 2017, 56, 10696–10701. [Google Scholar] [CrossRef]
- Wang, H.C.; Lin, S.Y.; Tang, A.C.; Singh, B.P.; Tong, H.C.; Chen, C.Y.; Lee, Y.C.; Tsai, T.L.; Liu, R.S. Mesoporous Silica Particles Integrated with All-Inorganic CsPbBr3 Perovskite Quantum-Dot Nanocomposites (MP-PQDs) with High Stability and Wide Color Gamut Used for Backlight Display. Angew. Chem. Int. Ed. Engl. 2016, 55, 7924–7929. [Google Scholar] [CrossRef]
- Li, H.; Li, F.; Huang, Y.; Zhang, L.; Ye, M.; Jin, J.; Chen, X. Photoluminescence Sensing of Chloride Ions in Sea Sand Using Alcohol-Dispersed CsPbBr3@SiO2 Perovskite Nanocrystal Composites. Chemosensors 2022, 10, 170. [Google Scholar] [CrossRef]
- Ren, J.J.; Li, T.R.; Zhou, X.P.; Dong, X.; Shorokhov, A.V.; Semenov, M.B.; Krevchik, V.D.; Wang, Y.H. Encapsulating all-inorganic perovskite quantum dots into mesoporous metal organic frameworks with significantly enhanced stability for optoelectronic applications. Chem. Eng. J. 2019, 358, 30–39. [Google Scholar] [CrossRef]
- Rungtaweevoranit, B.; Zhao, Y.; Choi, K.M.; Yaghi, O.M. Cooperative effects at the interface of nanocrystalline metal–organic frameworks. Nano Res. 2016, 9, 47–58. [Google Scholar] [CrossRef]
- Zhang, C.; Li, W.; Li, L. Metal Halide Perovskite Nanocrystals in Metal-Organic Framework Host: Not Merely Enhanced Stability. Angew. Chem. Int. Ed. Engl. 2021, 60, 7488–7501. [Google Scholar] [CrossRef] [PubMed]
- Xu, Y.F.; Yang, M.Z.; Chen, B.X.; Wang, X.D.; Chen, H.Y.; Kuang, D.B.; Su, C.Y. A CsPbBr3 Perovskite Quantum Dot/Graphene Oxide Composite for Photocatalytic CO2 Reduction. J. Am. Chem. Soc. 2017, 139, 5660–5663. [Google Scholar] [CrossRef]
- Ma, Z.; Xu, Y.; Li, P.; Cheng, D.; Zhu, X.; Liu, M.; Zhang, Y.; Liu, Y.; Yao, S. Self-Catalyzed Surface Reaction-Induced Fluorescence Resonance Energy Transfer on Cysteine-Stabilized MnO2 Quantum Dots for Selective Detection of Dopamine. Anal. Chem. 2021, 93, 3586–3593. [Google Scholar] [CrossRef]
- Hu, Y.-L.; Yang, N.; Zhao, R.-X.; Fu, Y.-B.; Ling, J.; Xie, X.-G.; Cao, Q. A water-soluble luminescent cesium-lead perovskite nanocrystal probe for sensitive detection of penicillamine. Dye. Pigment. 2022, 205, 110537–110545. [Google Scholar] [CrossRef]
- Hu, Y.L.; Wen, Q.L.; Pu, Z.F.; Liu, A.Y.; Wang, J.; Ling, J.; Xie, X.G.; Cao, Q.E. Rapid synthesis of cesium lead halide perovskite nanocrystals by l-lysine assisted solid-phase reaction at room temperature. RSC Adv. 2020, 10, 34215–34224. [Google Scholar] [CrossRef] [PubMed]
- Paulino, L.S.; Angeles-Agdeppa, I.; Etorma, U.M.; Ramos, A.C.; Cavalli-Sforza, T. Weekly iron-folic acid supplementation to improve iron status and prevent pregnancy anemia in Filipino women of reproductive age: The Philippine experience through government and private partnership. Nutr. Rev. 2005, 63 Pt 2, S109–S115. [Google Scholar] [CrossRef]
- Rosenquist, T.H.; Finnell, R.H. Genes, folate and homocysteine in embryonic development. Proc. Nutr. Soc. 2007, 60, 53–61. [Google Scholar] [CrossRef]
- Tsolaki, M.; Kartali, N. Folic acid and Alzheimer’s disease. Int. J. Geriatr. Psychiatry 2003, 18, 187–188. [Google Scholar] [CrossRef]
- Hau Fung Cheung, R.; Hughes, J.G.; Marriott, P.J.; Small, D.M. Investigation of folic acid stability in fortified instant Asian noodles by use of capillary electrophoresis. Food Chem. 2009, 112, 507–514. [Google Scholar] [CrossRef]
- Zhao, T.; Lin, H.; Li, N.; Shi, H.; Kang, W.; Xu, X. Determination of folic acid by capillary zone electrophoresis with indirect chemiluminescence detection. RSC Adv. 2021, 11, 20063–20069. [Google Scholar] [CrossRef] [PubMed]
- Aurora-Prado, M.S.; Silva, C.A.; Tavares, M.F.M.; Altria, K.D. Determination of folic acid in tablets by microemulsion electrokinetic chromatography. J. Chromatogr. A 2004, 1051, 291–296. [Google Scholar] [CrossRef] [PubMed]
- Kang, L.; Lin, C.; Ning, F.; Sun, X.; Zhang, M.; Zhang, H.; Wang, Y.; Hu, P. Rapid determination of folic acid and riboflavin in urine by polypyrrole magnetic solid-phase extractant combined ultra-performance liquid chromatography. J. Chromatogr. A 2021, 1648, 462192. [Google Scholar] [CrossRef] [PubMed]
- Martín Tornero, E.; Espinosa-Mansilla, A.; Durán Merás, I. High-performance liquid chromatography with fast-scanning fluorescence detection and post-column on-line photoderivatization for the analysis of folic acid and its metabolites in vegetables. Microchem. J. 2017, 133, 333–345. [Google Scholar] [CrossRef]
- Ganesh, P.-S.; Kim, S.-Y.; Kaya, S.; Salim, R.; Shimoga, G.; Lee, S.-H. Quantum Chemical Studies and Electrochemical Investigations of Polymerized Brilliant Blue-Modified Carbon Paste Electrode for In Vitro Sensing of Pharmaceutical Samples. Chemosensors 2021, 9, 135. [Google Scholar] [CrossRef]
- Han, S.; Chen, X. Copper nanoclusters-enhanced chemiluminescence for folic acid and nitrite detection. Spectrochim. Acta A Mol Biomol. Spectrosc. 2019, 210, 315–320. [Google Scholar] [CrossRef]
- Zhang, B.T.; Zhao, L.; Lin, J.M. Determination of folic acid by chemiluminescence based on peroxomonosulfate-cobalt(II) system. Talanta 2008, 74, 1154–1159. [Google Scholar] [CrossRef]
- Zhou, C.; Chen, Y.; Shang, P.; Chi, Y. Strong electrochemiluminescent interactions between carbon nitride nanosheet-reduced graphene oxide nanohybrids and folic acid, and ultrasensitive sensing for folic acid. Analyst 2016, 141, 3379–3388. [Google Scholar] [CrossRef]
- Liu, Z.-G.; Xiao, M.; Yang, R.-Z.; Zhou, Q.-Q.; Ye, H.-F.; Yi, C.-Q. Multiplexed Detection of Fe3+, Cobalamin and Folate Using Fluorescent Nanoprobe-Based Microarrays and a Smartphone. J. Anal. Test. 2021, 5, 19–29. [Google Scholar] [CrossRef]
- Liu, B.; Wei, S.; Liu, E.; Zhang, H.; Lu, P.; Wang, J.; Sun, G. Nitrogen-doped carbon dots as a fluorescent probe for folic acid detection and live cell imaging. Spectrochim. Acta Part A Mol. Biomol. Spectrosc. 2022, 268, 120661. [Google Scholar] [CrossRef]
- Wen, Q.-L.; Pu, Z.-F.; Yang, Y.-J.; Wang, J.; Wu, B.-C.; Hu, Y.-L.; Liu, P.; Ling, J.; Cao, Q. Hyaluronic acid as a material for the synthesis of fluorescent carbon dots and its application for selective detection of Fe3+ ion and folic acid. Microchem. J. 2020, 159, 105364–105372. [Google Scholar] [CrossRef]
- Hao, Y.; Yu, L.; Li, T.; Chen, L.; Han, X.; Chai, F. The synthesis of carbon dots by folic acid and utilized as sustainable probe and paper sensor for Hg2+ sensing and cellular imaging. Spectrochim. Acta Part A Mol. Biomol. Spectrosc. 2023, 285, 121865. [Google Scholar] [CrossRef] [PubMed]
- Chen, D.; Li, J.; Chen, X.; Chen, J.; Zhong, J. Grinding Synthesis of APbX3 (A = MA, FA, Cs; X = Cl, Br, I) Perovskite Nanocrystals. ACS Appl. Mater. Interfaces 2019, 11, 10059–10067. [Google Scholar] [CrossRef]
- Chen, X.M.; Zhang, F.; Ge, Y.; Shi, L.F.; Huang, S.; Tang, J.L.; Lv, Z.; Zhang, L.; Zou, B.S.; Zhong, H.Z. Centimeter-Sized Cs4PbBr6 Crystals with Embedded CsPbBr3 Nanocrystals Showing Superior Photoluminescence: Nonstoichiometry Induced Transformation and Light-Emitting Applications. Adv. Funct. Mater. 2018, 28, 1706567. [Google Scholar] [CrossRef]
- Wang, C.; Zhang, C.; Wang, F.; Chen, J.; Ren, E.; Kong, J.; Li, L.; Xu, J.; Zhang, Y. Synthesis of highly luminescent CsPbBr3@Cs4PbBr6 nanocrystals via ligand-assisted reaction. Opt. Mater. 2022, 128, 112444–112452. [Google Scholar] [CrossRef]
- Peng, X.; Chen, J.; Wang, F.; Zhang, C.; Yang, B. One-pot synthesis of CsPbBr3/Cs4PbBr6 perovskite composite. Optik 2020, 208, 164579. [Google Scholar] [CrossRef]
- Gültekin, A.; Karanfil Celep, G.; Say, R. Gadolinium chelate monomer based memories onto QCM electrodes for folic acid detection in commercial follow-on baby milk. J. Food Meas. Charact. 2018, 12, 2892–2898. [Google Scholar] [CrossRef]
- Sun, Y.; Wang, X.; Zhang, H. Sensitive and Stable Electrochemical Sensor for Folic Acid Determination Using a ZIF-67/AgNWs Nanocomposite. Biosensors 2022, 12, 382. [Google Scholar] [CrossRef]
- Kayani, K.F.; Omer, K.M. A red luminescent europium metal organic framework (Eu-MOF) integrated with a paper strip using smartphone visual detection for determination of folic acid in pharmaceutical formulations. New J. Chem. 2022, 46, 8152–8161. [Google Scholar] [CrossRef]
- Li, X.F.; Qiao, J.; Sun, Y.J.; Li, Z.W.; Qi, L. Ligand-modulated synthesis of gold nanoclusters for sensitive and selective detection of folic acid. J. Anal. Sci. Technol. 2021, 12, 12–17. [Google Scholar] [CrossRef]
- Nghia, N.N.; Huy, B.T.; Lee, Y.I. Paper-based colorimetric probe for highly sensitive detection of folic acid based on open-ring form amplification of rhodamine B derivative. J. Ind. Eng. Chem. 2020, 81, 352–359. [Google Scholar] [CrossRef]
- Vaishanav, S.K.; Korram, J.; Nagwanshi, R.; Karbhal, I.; Dewangan, L.; Ghosh, K.K.; Satnami, M.L. Interaction of Folic Acid with Mn(2+) Doped CdTe/ZnS Quantum Dots: In Situ Detection of Folic Acid. J. Fluoresc. 2021, 31, 951–960. [Google Scholar] [CrossRef] [PubMed]
- Yang, M.; Wang, C.J.; Yan, Y.J.; Liu, E.Z.; Hu, X.Y.; Hao, H.; Fan, J. Visual detection of folic acid based on silica coated CdTeS quantum dots in serum samples. Mater. Res. Bull. 2021, 144, 111509. [Google Scholar] [CrossRef]
- Li, X.; Chen, L. Fluorescence Probe Based on an Amino-Functionalized Fluorescent Magnetic Nanocomposite for Detection of Folic Acid in Serum. ACS Appl. Mater. Interfaces 2016, 8, 31832–31840. [Google Scholar] [CrossRef]











| Method | System | Linear Range (µM) | LOD (µM) | Ref. |
|---|---|---|---|---|
| HPLC | Pterin-6-carboxylic acid | 0.11~2.3 | 0.017 | [33] |
| Electrochemical analysis | MAAP–Gd(III)@EDMA | 0~100 | 0.0080 | [36] |
| Electrochemical analysis | ZIF-67/AgNWs@SPCE | 0.10~10 | 0.030 | [37] |
| Fluorescence | Eu-MOF | 1.0~12.5 | 0.30 | [38] |
| Fluorescence | D-Trp@AuNCs | 6.3~100 | 5.8 | [39] |
| Fluorescence | Mn2+ − doped CdTe/ZnS QDs | 0.10~50 | 0.20 | [41] |
| Fluorescence | CsPbBr3/Cs4PbBr6 PNCs | 10~800 | 1.695 | This work |
| τ1 (ns) | τ2 (ns) | τaverage (ns) | |
|---|---|---|---|
| CsPbBr3/Cs4PbBr6 PNCs | 2.81 | 17.55 | 8.28 |
| CsPbBr3/Cs4PbBr6 PNCs + FA | 18.19 | 3.43 | 3.97 |
| Samples | Added (μL) | Found (µM) | Recovery (%) | RSD (n = 3, %) |
|---|---|---|---|---|
| 1 | 0 | N.Db | -- | -- |
| 2 | 100.0 | 99.04 | 99.04 | 0.2520 |
| 3 | 350.0 | 339.4 | 96.98 | 0.1220 |
| 4 | 450.0 | 411.7 | 91.48 | 0.1960 |
| 5 | 600.0 | 657.1 | 109.5 | 0.2000 |
Disclaimer/Publisher’s Note: The statements, opinions and data contained in all publications are solely those of the individual author(s) and contributor(s) and not of MDPI and/or the editor(s). MDPI and/or the editor(s) disclaim responsibility for any injury to people or property resulting from any ideas, methods, instructions or products referred to in the content. |
© 2022 by the authors. Licensee MDPI, Basel, Switzerland. This article is an open access article distributed under the terms and conditions of the Creative Commons Attribution (CC BY) license (https://creativecommons.org/licenses/by/4.0/).
Share and Cite
She, W.-Z.; Zhao, R.-X.; Liu, J.-Z.; Zhang, H.-C.; Li, R.S.; Liu, M.-T.; Zhou, C.-H.; Ling, J.; Cao, Q. Selective Detection of Folic Acid Using a Water-Stable Fluorescent CsPbBr3/Cs4PbBr6 Perovskite Nanocrystal Probe. Chemosensors 2023, 11, 19. https://doi.org/10.3390/chemosensors11010019
She W-Z, Zhao R-X, Liu J-Z, Zhang H-C, Li RS, Liu M-T, Zhou C-H, Ling J, Cao Q. Selective Detection of Folic Acid Using a Water-Stable Fluorescent CsPbBr3/Cs4PbBr6 Perovskite Nanocrystal Probe. Chemosensors. 2023; 11(1):19. https://doi.org/10.3390/chemosensors11010019
Chicago/Turabian StyleShe, Wen-Zhi, Rui-Xian Zhao, Jin-Zhou Liu, Hai-Chi Zhang, Rong Sheng Li, Meng-Ting Liu, Chuan-Hua Zhou, Jian Ling, and Qiue Cao. 2023. "Selective Detection of Folic Acid Using a Water-Stable Fluorescent CsPbBr3/Cs4PbBr6 Perovskite Nanocrystal Probe" Chemosensors 11, no. 1: 19. https://doi.org/10.3390/chemosensors11010019
APA StyleShe, W.-Z., Zhao, R.-X., Liu, J.-Z., Zhang, H.-C., Li, R. S., Liu, M.-T., Zhou, C.-H., Ling, J., & Cao, Q. (2023). Selective Detection of Folic Acid Using a Water-Stable Fluorescent CsPbBr3/Cs4PbBr6 Perovskite Nanocrystal Probe. Chemosensors, 11(1), 19. https://doi.org/10.3390/chemosensors11010019

