Analysis of Outbreak and Global Impacts of the COVID-19
Abstract
1. Introduction
2. Material and Methods
2.1. Material
- Cases confirmed: The total number of corona virus cases that have been confirmed worldwide.
- Cases that resulted in death: The total number of corona virus cases that resulted in the death of the patients worldwide.
- Cases recovered: The total number of corona virus cases that resulted in the recovery of the patients, worldwide.
- Locations (Latitude and Longitude): Number of cases confirmed, recovered, and resulting in death based on locations worldwide.
- Graph Plots: We depict the number of cases confirmed, recovered, and resulting in death over a span of almost two months (22 January 2020–15 March 2020). The graph plots will be beneficial in observing the latest trends of the COVID-19 outbreak.
- World Heat Maps: Based on the number of cases as per the location specified in the dataset a world heat map may be generated to visually show the spread of COVID-19. The heat map depicts the density of the pandemic in different locations of the globe.
- The revenue figures across the globe for the travel and tourism industry were taken from cruises, hotels, package holidays, and vacation rentals. The estimations were based on IATA’s (International Air Transport Association) forecast on the flight industry.
- The decline in the number of seated diners is based on a survey performed by OpenTable (online restaurant-reservation service company) and the data pertain to online reservations, phone reservations, and walk-ins. OpenTable is known to be active in more than 80 countries. Australia, Canada, Germany, Ireland, Italy, Japan, Mexico, The Netherlands, Spain, UK, and the United States are some of the countries where OpenTable is active.
- The estimated revenue loss of the film industry worldwide is based on a survey performed by The Hollywood Reporter (American digital and print magazine and website).
- The flight frequency of global airlines is based on a survey performed by the Official Airline Guide (OAG) schedule analyzer. OAG is the world’s leading provider of digital flight information, intelligence, and analytics for airports and airlines.
- The potential cost of the Tokyo 2020 Olympics is based on a survey performed by RTE (RaidióTeilifísÉireann), which is a national public service media of Ireland.
- The potential loss of revenue for Formula One is based on a survey performed by Forbes, which is a leading global media company.
- The estimated loss of revenue for National Hockey League (NHL) teams is based on a survey performed by The Athletic, which is a sports journalism website.
2.2. Methods
- Data Collection: As mentioned in the previous section, the data were collected from the repository maintained by John Hopkins University. The datasets include the fields Province/State, Country/Region, Last Update, Confirmed, Suspected, Recovered, Deaths, etc. (Table 1).
- Data Preprocessing and Cleaning: The data were compiled to provide information about Province/State, Country/Region, Latitude, Longitude, Date, Confirmed, Death, and Recovered.
- Deriving Additional Columns: Once the above data are preprocessed and cleaned, we obtained an additional data field, i.e., Number of Active cases. The new condensed data incorporate information about the date, confirmed cases, deaths, recovered cases, and active cases (Table 1).
- Additional Derived Data: Similarly, additional data such as top ten countries that have been affected by the COVID-19 outbreak or the number of countries where there are no death cases can be derived accordingly.
3. Results and Discussion
3.1. Results
3.1.1. COVID-19 Spread across the Globe
3.1.2. COVID-19 Spread: Inside China (Cumulative Number of Cases)
3.1.3. COVID-19 Spread: Outside China (Cumulative Number of Cases)
3.1.4. COVID-19 Spread across China
3.1.5. COVID-19 Spread Outside China
3.1.6. COVID-19 Spread across the Globe: Number of Countries Affected
3.1.7. COVID-19 Spread across the Globe: Number of Countries Affected by Cases Confirmed, Cases Recovered, and Death Cases
3.1.8. COVID-19 Spread across the Globe: Cases Confirmed, Cases That Resulted in Death, Cases Recovered, and Cases Active Globally
3.1.9. COVID-19 Spread across the Globe: Number of Deaths per 100 Confirmed Cases
3.2. Findings
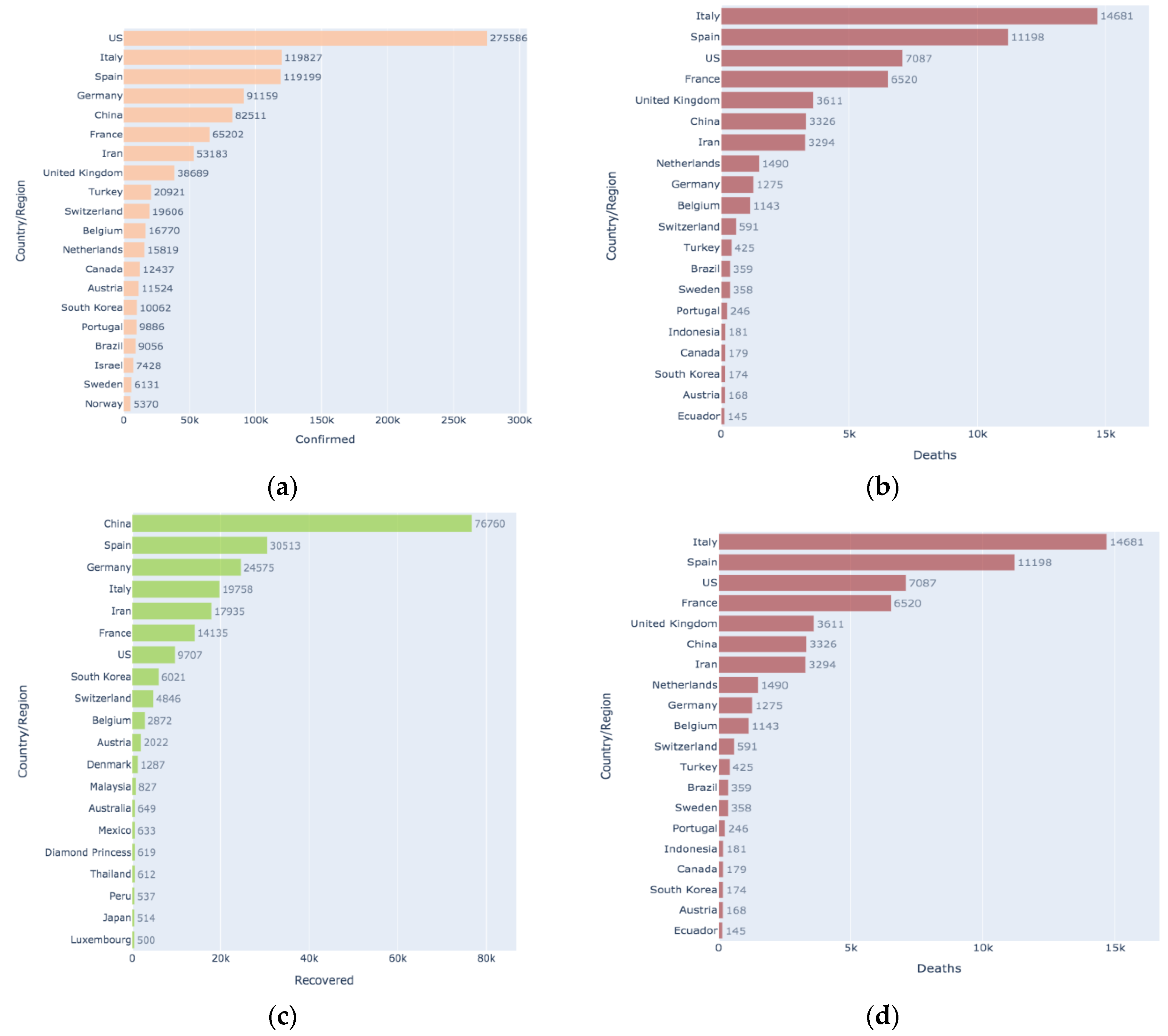
- The number of cases confirmed for COVID-19 globally is higher than the number of cases recovered, followed by the number of cases that resulted in deaths.
- The graphs depict how the number of cases confirmed, recovered, and resulted in death have only increased (it has not been constant).
- The percentage of cases where patients recovered with respect to the number of cases confirmed is calculated to be approximately 20.40%.
- According to [18], the case fatality ratio of COVID-19 is 2–3%. According to our analysis based on recent data, the number of cases where patients died with respect to the number of cases confirmed is found out to be 58,787/1,095,915 = 0.0536, which is 5.36%. The variation depicts how the pandemic outbreak has affected a large number of people in a short period of time.
- The percentage of cases where patients are active with respect to the number of cases confirmed is calculated to be 74.23%.
- The world heat maps generated depict how the cases (confirmed, recovered, death) have spread globally. Darker colors represent higher intensity of the cases reported.
- While COVID-19 was first identified in Wuhan district of China, it has spread across the globe. The graphical representations justify by numbers and regions how the pandemic has an impact over the world population.
3.3. Global Impacts of the COVID-19 Outbreak
3.3.1. Tourism Industry
3.3.2. Restaurants and Leisure
3.3.3. Entertainment Industry
3.3.4. Travel Industry
3.3.5. Sports Industry
4. Conclusions
Author Contributions
Acknowledgments
Conflicts of Interest
References
- World Health Organization. Corona virus Disease 2019 (COVID-19): Situation Report-90; World Health Organization: Geneva, Switzerland, 2020. [Google Scholar]
- Hassan, S.; Sheikh, F.N.; Jamal, S.; Ezeh, J.K.; Akhtar, A. Corona virus (COVID-19): A Review of Clinical Features, Diagnosis, and Treatment. Cureus 2020, 12, 84–92. [Google Scholar]
- Sahin, A.R.; Erdogan, A.; Agaoglu, P.M.; Dineri, Y.; Cakirci, A.Y.; Senel, M.E.; Tasdogan, A.M. 2019 Novel Corona virus (COVID-19) Outbreak: A Review of the Current Literature. EJMO 2020, 4, 1–7. [Google Scholar]
- Chen, N.; Zhou, M.; Dong, X.; Qu, J.; Gong, F.; Han, Y.; Yu, T. Epidemiological and clinical characteristics of 99 cases of 2019 novel corona virus pneumonia in Wuhan, China: A descriptive study. Lancet 2020, 395, 507–513. [Google Scholar] [CrossRef]
- Chowell, G.; Abdirizak, F.; Lee, S.; Lee, J.; Jung, E.; Nishiura, H.; Viboud, C. Transmission characteristics of MERS and SARS in the healthcare setting: A comparative study. BMC Med. 2015, 13, 210. [Google Scholar] [CrossRef] [PubMed]
- Millet, J.K.; Goldstein, M.E.; Labitt, R.N.; Hsu, H.L.; Daniel, S.; Whittaker, G.R. A camel-derived MERS-CoV with a variant spike protein cleavage site and distinct fusion activation properties. Emerg. MicrobesInfect. 2016, 5, 1–9. [Google Scholar] [CrossRef] [PubMed]
- Feng, Y.; Gao, G.F. Towards our understanding of SARS-CoV, an emerging and devastating but quickly conquered virus. Comp. Immunol. Microbiol. Infect. Dis. 2007, 30, 309–327. [Google Scholar] [CrossRef]
- Stadler, K.; Masignani, V.; Eickmann, M.; Becker, S.; Abrignani, S.; Klenk, H.D.; Rappuoli, R. SARS—Beginning to understand a new virus. Nat. Rev. Microbiol. 2003, 1, 209–218. [Google Scholar] [CrossRef]
- Raj, V.S.; Osterhaus, A.D.; Fouchier, R.A.; Haagmans, B.L. MERS: Emergence of a novel human corona virus. Curr. Opin. Virol. 2014, 5, 58–62. [Google Scholar] [CrossRef]
- Tian, S.; Hu, N.; Lou, J.; Chen, K.; Kang, X.; Xiang, Z.; Chen, G. Characteristics of COVID-19 infection in Beijing. J. Infect. 2020, 80, 401–406. [Google Scholar]
- Millán-Oñate, J.; Rodriguez-Morales, A.J.; Camacho-Moreno, G.; Mendoza-Ramírez, H.; Rodríguez-Sabogal, I.A.; Álvarez-Moreno, C. A new emerging zoonotic virus of concern: The 2019 novel Corona virus (COVID-19). Infectio 2020, 24, 1–6. [Google Scholar] [CrossRef]
- MacIntyre, C.R. Global spread of COVID-19 and pandemic potential. Glob. Biosecurity 2020, 1, 74–82. [Google Scholar] [CrossRef]
- Zhou, P.; Fan, H.; Lan, T.; Yang, X.L.; Shi, W.F.; Zhang, W.; Zheng, X.S. Fatal swine acute diarrhoea syndrome caused by an HKU2-related corona virus of bat origin. Nature 2018, 556, 255–258. [Google Scholar] [CrossRef] [PubMed]
- Zhu, N.; Zhang, D.; Wang, W.; Li, X.; Yang, B.; Song, J.; Niu, P. A novel corona virus from patients with pneumonia in China, 2019. N. Engl. J. Med. 2020, 382, 727–733. [Google Scholar] [PubMed]
- Qian, L.; Yu, J.; Shi, H. Severe acute respiratory disease in a Huanan seafood market worker: Images of an early casualty. Radiol. Cardiothorac. Imaging 2020, 2, e200033. [Google Scholar] [CrossRef]
- MacIntyre, C.R. On a knife’s edge of a COVID-19 pandemic: Is containment still possible. Public Health Res. Pract. 2020, 30, 3012000. [Google Scholar]
- Ahmed, S.F.; Quadeer, A.A.; McKay, M.R. Preliminary identification of potential vaccine targets for the COVID-19 corona virus (SARS-CoV-2) based on SARS-CoV immunological studies. Viruses 2020, 12, 254. [Google Scholar] [CrossRef]
- Guarner, J. Three Emerging Corona viruses in Two Decades the Story of SARS, MERS, and Now COVID-19. Am. J. Clin. Pathol. 2020, 5, 54–61. [Google Scholar]
- Zhang, J.J.; Dong, X.; Cao, Y.Y.; Yuan, Y.D.; Yang, Y.B.; Yan, Y.Q.; Gao, Y.D. Clinical characteristics of 140 patients infected by SARS-CoV-2 in Wuhan, China. Allergy 2020, 1–12. [Google Scholar] [CrossRef]
- Zu, Z.Y.; Jiang, M.D.; Xu, P.P.; Chen, W.; Ni, Q.Q.; Lu, G.M.; Zhang, L.J. Corona virus Disease 2019 (COVID-19): A Perspective from China. Radiology 2020, 295, 200490. [Google Scholar]
- Stoecklin, S.B.; Rolland, P.; Silue, Y.; Mailles, A.; Campese, C.; Simondon, A.; Yamani, E. First cases of corona virus disease 2019 (COVID-19) in France: Surveillance, investigations and control measures. Eurosurveillance 2020, 25, 2000094. [Google Scholar]
- Liu, Y.; Gayle, A.A.; Wilder-Smith, A.; Rocklöv, J. The reproductive number of COVID-19 is higher compared to SARS corona virus. J. Travel Med. 2020, 27, 78–82. [Google Scholar]
- Smith, N.; Fraser, M. Straining the System: Novel Corona virus (COVID-19) and Preparedness for Concomitant Disasters. Am. J. Public Health. 2020, 110, 648–649. [Google Scholar] [CrossRef] [PubMed]
- Zhang, S.; Diao, M.; Yu, W.; Pei, L.; Lin, Z.; Chen, D. Estimation of the reproductive number of Novel Corona virus (COVID-19) and the probable outbreak size on the Diamond Princess cruise ship: A data-driven analysis. Int. J. Infect. Dis. 2020, 93, 201–204. [Google Scholar] [CrossRef] [PubMed]
- Huang, W.H.; Teng, L.C.; Yeh, T.K.; Chen, Y.J.; Lo, W.J.; Wu, M.J.; Lin, C.F. 2019 novel corona virus disease (COVID-19) in Taiwan: Reports of two cases from Wuhan, China. J. Microbiol. Immunol. Infect. 2020, 20, 1182–1184. [Google Scholar]
- Imai, N.; Dorigatti, I.; Cori, A.; Donnelly, C.; Riley, S.; Ferguson, N.M. Report 2: Estimating the potential total number of novel Corona virus cases in Wuhan City, China. Imp. Coll. Lond. 2020, 2, 1–6. [Google Scholar]
- Walker, P.G.; Whittaker, C.; Watson, O.; Baguelin, M.; Ainslie, K.E.C.; Bhatia, S.; Cucunuba, Z. On behalf of the imperial college covid-19 response team. In The Global Impact of COVID-19 and Strategies for Mitigation and Suppression; Imperial College of London: London, UK, 2020; pp. 1–19. [Google Scholar]
- Bogoch, I.I.; Watts, A.; Thomas-Bachli, A.; Huber, C.; Kraemer, M.U.; Khan, K. Potential for global spread of a novel corona virus from China. J. Travel Med. 2020, 27, taaa011. [Google Scholar]
- Gaythorpe, K.; Imai, N.; Cuomo-Dannenbur, G.; Baguelin, M.; BHatia, S.; Boonyasiri, A.; Cori, A.; Cucunuba, Z.; Dighe, A.; Dorigatti, I.; et al. Report 8: Symptom Progression of COVID-19. Available online: https://spiral.imperial.ac.uk/handle/10044/1/77344 (accessed on 23 April 2020).
- Dorigatti, I.; Okell, L.; Cori, A.; Imai, N.; Baguelin, M.; Bhatia, S.; Fu, H. Report 4: Severity of 2019-novel corona virus (nCoV). Imp. Coll. Lond. 2020, 4, 1–54. [Google Scholar]
- Shi, H.; Han, X.; Jiang, N.; Cao, Y.; Alwalid, O.; Gu, J.; Zheng, C. Radiological findings from 81 patients with COVID-19 pneumonia in Wuhan, China: A descriptive study. Lancet Infect. Dis. 2020, 20, 425–434. [Google Scholar] [CrossRef]
- Humanitarian Data Exchange. Available online: https://data.humdata.org/ (accessed on 22 January 2020).
- Ivorra, B.; Ramos, A.M. Validation of the Forecasts for the International Spread of the Corona Virus Disease 2019 (COVID-19) Done with the Be-CoDiSMathematical Model; Complutense University of Madrid: Madrid, Spain, 2020. [Google Scholar]
- Ji, Y.; Ma, Z.; Peppelenbosch, M.P.; Pan, Q. Potential association between COVID-19 mortality and health-care resource availability. Lancet Glob. Health 2020, 8, 21–28. [Google Scholar]
- Chinazzi, M.; Davis, J.T.; Ajelli, M.; Gioannini, C.; Litvinova, M.; Merler, S.; Viboud, C. The effect of travel restrictions on the spread of the 2019 novel corona virus (COVID-19) outbreak. Science 2020, 29, 1–14. [Google Scholar] [CrossRef]
- Du, Z.; Wang, L.; Cauchemez, S.; Xu, X.; Wang, X.; Cowling, B.J.; Meyers, L.A. Risk for transportation of 2019 novel corona virus disease from Wuhan to other cities in China. Emerg. Infect. Dis. 2020, 26, 234–239. [Google Scholar]
- Phelan, A.L.; Katz, R.; Gostin, L.O. The novel corona virus originating in Wuhan, China: Challenges for global health governance. JAMA 2020, 323, 709–710. [Google Scholar]
- Lai, C.C.; Shih, T.P.; Ko, W.C.; Tang, H.J.; Hsueh, P.R. Severe acute respiratory syndrome corona virus 2 (SARS-CoV-2) and corona virus disease-2019 (COVID-19): The epidemic and the challenges. Int. J. Antimicrob. Agents 2020, 55, 105924. [Google Scholar] [CrossRef]
- Lock, S. COVID-19: Travel TourismRevenue Forecast Worldwide by Region. 2020. Available online: https://www.statista.com/forecasts/1103431/covid-19-revenue-travel-tourism-industry-region-forecast (accessed on 6 April 2020).
- Lock, S. COVID-19: DailyYear-On-Year Global Restaurant Dining Decline. 2020. Available online: https://www.statista.com/statistics/1103928/coronavirus-restaurant-visitation-impact/ (accessed on 9 April 2020).
- Watson, A. Revenue Impact of the Corona Virus on the Film Industry Worldwide. 2020. Available online: https://www.statista.com/statistics/1104224/film-industry-revenue-loss-coronavirus-worldwide/ (accessed on 18 March 2020).
- Statista Research Department. COVID-19 Impact on Flight Frequency of Global Airlines. 2020. Available online: https://www.statista.com/statistics/1104036/novel-coronavirus-weekly-flights-change-airlines-region/ (accessed on 8 April 2020).
- Gough, C. Tokyo 2020 Cost Due to Corona Virus. 2020. Available online: https://www.statista.com/statistics/1104350/coronavirus-cost-olympics/ (accessed on 25 March 2020).
- Gough, C. Formula One Revenue Loss Due to Corona Virus. 2020. Available online: https://www.statista.com/statistics/1104067/coronavirus-revenue-loss-f1/ (accessed on 18 March 2020).
- Gough, C. NHL Revenue Loss Due to Corona Virus. 2020. Available online: https://www.statista.com/statistics/1104159/coronavirus-revenue-loss-nhl/ (accessed on 18 March 2020).
- Wilder-Smith, A.; Freedman, D.O. Isolation, quarantine, social distancing and community containment: Pivotal role for old-style public health measures in the novel corona virus (2019-nCoV) outbreak. J. Travel Med. 2020, 27, 54–61. [Google Scholar] [CrossRef] [PubMed]
















| Country/ Region | Confirmed | Deaths | Recovered | Active |
|---|---|---|---|---|
| US | 275,586 | 7087 | 9707 | 258,792 |
| Italy | 119,827 | 14,681 | 19,758 | 85,388 |
| Spain | 119,199 | 11,198 | 30,513 | 77,488 |
| Germany | 91,159 | 1275 | 24,575 | 65,309 |
| China | 82,511 | 3326 | 76,760 | 2425 |
| France | 65,202 | 6520 | 14,135 | 44,547 |
| Iran | 53,183 | 3294 | 17,935 | 31,954 |
| UK | 38,689 | 3611 | 208 | 34,870 |
| Turkey | 20,921 | 425 | 484 | 20,012 |
| Switzerland | 19,606 | 591 | 4846 | 14,169 |
| Belgium | 16,770 | 1143 | 2872 | 12,755 |
© 2020 by the authors. Licensee MDPI, Basel, Switzerland. This article is an open access article distributed under the terms and conditions of the Creative Commons Attribution (CC BY) license (http://creativecommons.org/licenses/by/4.0/).
Share and Cite
Priyadarshini, I.; Mohanty, P.; Kumar, R.; Son, L.H.; Chau, H.T.M.; Nhu, V.-H.; Thi Ngo, P.T.; Tien Bui, D. Analysis of Outbreak and Global Impacts of the COVID-19. Healthcare 2020, 8, 148. https://doi.org/10.3390/healthcare8020148
Priyadarshini I, Mohanty P, Kumar R, Son LH, Chau HTM, Nhu V-H, Thi Ngo PT, Tien Bui D. Analysis of Outbreak and Global Impacts of the COVID-19. Healthcare. 2020; 8(2):148. https://doi.org/10.3390/healthcare8020148
Chicago/Turabian StylePriyadarshini, Ishaani, Pinaki Mohanty, Raghvendra Kumar, Le Hoang Son, Hoang Thi Minh Chau, Viet-Ha Nhu, Phuong Thao Thi Ngo, and Dieu Tien Bui. 2020. "Analysis of Outbreak and Global Impacts of the COVID-19" Healthcare 8, no. 2: 148. https://doi.org/10.3390/healthcare8020148
APA StylePriyadarshini, I., Mohanty, P., Kumar, R., Son, L. H., Chau, H. T. M., Nhu, V.-H., Thi Ngo, P. T., & Tien Bui, D. (2020). Analysis of Outbreak and Global Impacts of the COVID-19. Healthcare, 8(2), 148. https://doi.org/10.3390/healthcare8020148

