Tai Chi Training Evokes Significant Changes in Brain White Matter Network in Older Women
Abstract
1. Introduction
2. Materials and Methods
2.1. Participants
2.2. MRI Data Acquisition
2.3. Statistical Analysis
2.3.1. Image Preprocessing
2.3.2. Construction of Deterministic Fiber Tracking Network
2.3.3. Characteristic Analysis of Topological Attributes of Complex Brain Networks
2.3.4. Statistical Calculation
3. Results
3.1. Demographic Data
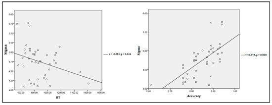
3.2. fMRI Results
4. Discussion
5. Conclusions
Author Contributions
Funding
Conflicts of Interest
References
- Salthouse, T.A. When does age-related cognitive decline begin? Neurobiol. Aging 2009, 30, 507–514. [Google Scholar] [CrossRef]
- Yoshiura, T.; Mihara, F.; Ogomori, K.; Tanaka, A.; Kaneko, K.; Masuda, K. Diffusion tensor in posterior cingulate gyrus: Correlation with cognitive decline in Alzheimer’s dise ase. Neuroreport 2002, 13, 2299–2302. [Google Scholar] [CrossRef] [PubMed]
- Lai, M.K.; Tsang, S.W.; Francis, P.T.; Keene, J.; Hope, T.; Esiri, M.M.; Spence, I.; Chen, C.P. Postmortem serotoninergic correlates of cognitive decline in Alzheimer’s disease. Neuroreport 2002, 13, 1175–1178. [Google Scholar] [CrossRef]
- Meyer, J.S.; Rauch, G.M.; Crawford, K.; Rauch, R.A.; Konno, S.; Akiyama, H.; Terayama, Y.; Haque, A. Risk factors accelerating cerebral degenerative changes, cognitive decline and dementia. Int. J. Geriatr. Psychiatry 1999, 14, 1050–1061. [Google Scholar] [CrossRef]
- Luo, N.; Sui, J.; Abrol, A.; Lin, D.; Chen, J.; Vergara, V.M.; Fu, Z.; Du, Y.; Damaraju, E.; Xu, Y.; et al. Age-related structural and functional variations in 5,967 individuals across the adult lifespan. Hum. Brain Mapp. 2019. [Google Scholar] [CrossRef] [PubMed]
- Niu, H.; Zhu, J.; Wang, C.; Zhu, L.; Wu, J. Changes in white-matter functional network efficiency across the adult lifespan. Neuroreport 2019, 30, 600–604. [Google Scholar] [CrossRef]
- Taubert, M.; Roggenhofer, E.; Melie-Garcia, L.; Muller, S.; Lehmann, N.M.P. Converging patterns of ageing-associated brain volume loss and tissue microstructure differences. Neurobiol. Aging 2020. [Google Scholar] [CrossRef]
- Filley, C.M.; Fields, R.D. White matter and cognition: Making the connection. J. Neurophysiol. 2016, 116, 2093–2104. [Google Scholar] [CrossRef]
- Charlton, R.A.; Barrick, T.R.; McIntyre, D.J.; Shen, Y.; O’Sullivan, M.; Howe, F.A.; Clark, C.A.; Morris, R.G.; Markus, H.S. White matter damage on diffusion tensor imaging correlates with age-related cognitive decline. Neurology 2006, 66, 217–222. [Google Scholar] [CrossRef]
- Gunning-Dixon, F.M.; Brickman, A.M.; Cheng, J.C.; Alexopoulos, G.S. Aging of cerebral white matter: A review of MRI findings. Int. J. Geriatr. Psychiatry 2009, 24, 109–117. [Google Scholar] [CrossRef]
- Fjell, A.M.; Westlye, L.T.; Amlien, I.K.; Walhovd, K.B. Reduced white matter integrity is related to cognitive instability. J. Neurosci. 2011, 31, 18060–18072. [Google Scholar] [CrossRef] [PubMed]
- Cabeza, R.; Anderson, N.D.; Locantore, J.K.; McIntosh, A.R. Aging gracefully: Compensatory brain activity in high-performing older adults. Neuroimage 2002, 17, 1394–1402. [Google Scholar] [CrossRef] [PubMed]
- Voss, M.W.; Heo, S.; Prakash, R.S.; Erickson, K.I.; Alves, H.; Chaddock, L.; Szabo, A.N.; Mailey, E.L.; Wajcicki, T.R.; White, S.M.; et al. The influence of aerobic fitness on cerebral white matter integrity and cognitive function in older adults: Results of a one-year exercise intervention. Hum. Brain Mapp. 2013, 34, 2972–2985. [Google Scholar] [CrossRef] [PubMed]
- Rehfeld, K.; Luders, A.; Hokelmann, A.; Lessmann, V.; Kaufmann, J.; Brigadski, T.; Muller, P.; Muller, N.G. Dance training is superior to repetitive physical exercise in inducing brain plasticity in the elderly. PLoS ONE 2018, 13, e0196636. [Google Scholar] [CrossRef]
- Tseng, B.Y.; Gundapuneedi, T.; Khan, M.A.; Diaz-Arrastia, R.; Levine, B.D.; Lu, H.; Huang, H.; Zhang, R. White matter integrity in physically fit older adults. Neuroimage 2013, 82, 510–516. [Google Scholar] [CrossRef]
- Oberlin, L.E.; Verstynen, T.D.; Burzynska, A.Z.; Voss, M.W.; Prakash, R.S.; Chaddock-Heyman, L.; Wong, C.; Fanning, J.; Awick, E.; Gothe, N.; et al. White matter microstructure mediates the relationship between cardiorespiratory fitness and spatial working memory in older adults. Neuroimage 2016, 131, 91–101. [Google Scholar] [CrossRef]
- Muller, P.; Schmicker, M.; Muller, N.G. Preventive strategies for dementia. Z. Gerontol. Geriatr. 2017, 50, 89–95. [Google Scholar]
- Muller, P.; Rehfeld, K.; Schmicker, M.; Hokelmann, A.; Dordevic, M.; Lessmann, V.; Brigadski, T.; Kaufmann, J.; Muller, N.G. Evolution of neuroplasticity in response to physical activity in old age: The case for dancing. Front. Aging Neurosci. 2017, 9, 56. [Google Scholar] [CrossRef]
- Rehfeld, K.; Muller, P.; Aye, N.; Schmicker, M.; Dordevic, M.; Kaufmann, J.; Hokelmann, A.; Muller, N.G. Dancing or fitness sport? The effects of two training programs on hippocampal plasticity and balance abilities in healthy seniors. Front. Hum. Neurosci. 2017, 11, 305. [Google Scholar] [CrossRef]
- Liu, J.; Xie, H.; Liu, M.; Wang, Z.; Zou, L.; Yeung, A.S.; Hui, S.S.; Yang, Q. The effects of Tai Chi on heart rate variability in older chinese individuals with depression. Int. J. Environ. Res. Public Health 2018, 15, 2771. [Google Scholar] [CrossRef]
- Zhou, S.; Zhang, Y.; Kong, Z.; Loprinzi, P.D.; Hu, Y.; Ye, J.; Liu, S.; Yu, J.J.; Zou, L. The effects of Tai Chi on markers of atherosclerosis, lower-limb physical function, and cognitive ability in adults aged over 60: A randomized controlled trial. Int. J. Environ. Res. Public Health 2019, 16, 753. [Google Scholar] [CrossRef]
- Zou, L.; Sasaki, J.E.; Wei, G.X.; Huang, T.; Yeung, A.S.; Neto, O.B.; Chen, K.W.; Hui, S.S. Effects of mind-body exercises (Tai Chi/Yoga) on heart rate variability parameters and perceived stre ss: A systematic review with meta-analysis of randomized controlled trials. J. Clin. Med. 2018, 7, 404. [Google Scholar] [CrossRef] [PubMed]
- Zou, L.; Yeung, A.; Li, C.; Wei, G.X.; Chen, K.W.; Kinser, P.A.; Chan, J.S.M.; Ren, Z. Effects of meditative movements on major depressive disorder: A systematic review and meta-analysis of randomized controlled trials. J. Clin. Med. 2018, 7, 195. [Google Scholar] [CrossRef] [PubMed]
- Li, F. The effects of Tai Ji Quan training on limits of stability in older adults. Clin. Interv. Aging 2014, 9, 1261–1268. [Google Scholar] [CrossRef] [PubMed]
- Li, F.; Harmer, P.; Eckstrom, E.; Fitzgerald, K.; Chou, L.S.; Liu, Y. Effectiveness of Tai Ji Quan vs multimodal and stretching exercise interventions for reducing injurio us falls in older adults at high risk of falling: Follow-up analysis of a randomized clinical trial. JAMA 2019, 2, e188280. [Google Scholar]
- Zou, L.; Wang, H.; Xiao, Z.; Fang, Q.; Zhang, M.; Li, T.; Du, G.; Liu, Y. Tai chi for health benefits in patients with multiple sclerosis: A systematic review. PLoS ONE 2017, 12, e0170212. [Google Scholar] [CrossRef]
- Zou, L.; Han, J.; Li, C.; Yeung, A.S.; Hui, S.S.; Tsang, W.W.N.; Ren, Z.; Wang, L. Effects of Tai Chi on lower limb proprioception in adults aged over 55: A systematic review and meta- analysis. Arch. Phys. Med. Rehabil. 2019, 100, 1102–1113. [Google Scholar] [CrossRef]
- Luo, L.; Zou, L.; Fang, Q.; Wang, H.; Liu, Y.; Tian, Z.; Han, Y. Effect of Taichi softball on function-related outcomes in older adults: A randomized control trial. Evid. Based Complement. Alternat Med. 2017, 2017, 4585424. [Google Scholar] [CrossRef]
- Zou, L.; Zhang, Y.; Yang, L.; Loprinzi, P.D.; Yeung, A.S.; Kong, J.; Chen, K.W.; Song, W.; Xiao, T.; Li, H. Are mindful exercises safe and beneficial for treating chronic lower back pain? a systematic review and meta-analysis of randomized controlled trials. J. Clin. Med. 2019, 8, 628. [Google Scholar] [CrossRef]
- Yu, A.P.; Tam, B.T.; Lai, C.W.; Yu, D.S.; Woo, J.; Chung, K.F.; Hui, S.S.; Liu, J.Y.; Wei, G.X.; Siu, P.M. Revealing the neural mechanisms underlying the beneficial effects of Tai Chi: A neuroimaging perspective. Am. J. Chin. Med. 2018, 46, 231–259. [Google Scholar] [CrossRef]
- Zhang, Y.; Li, C.; Zou, L.; Liu, X.; Song, W. The effects of mind-body exercise on cognitive performance in elderly: A systematic review and meta-a nalysis. Int. J. Environ. Res. Public Health 2018, 15, 2791. [Google Scholar] [CrossRef] [PubMed]
- Zou, L.; Loprinzi, P.D.; Yeung, A.S.; Zeng, N.; Huang, T. The beneficial effects of mind-body exercises for people with mild cognitive impairment: A systematic review with meta-analysis. Arch. Phys. Med. Rehabil. 2019, 100, 1556–1573. [Google Scholar] [CrossRef] [PubMed]
- Reid-Arndt, S.A.; Matsuda, S.; Cox, C.R. Tai Chi effects on neuropsychological, emotional, and physical functioning following cancer treatment: A pilot study. Complement. Ther. Clin. Pract. 2012, 18, 26–30. [Google Scholar] [CrossRef]
- Wei, G.X.; Dong, H.M.; Yang, Z.; Luo, J.; Zuo, X.N. Tai Chi Chuan optimizes the functional organization of the intrinsic human brain architecture in older adults. Front. Aging Neurosci. 2014, 6, 74. [Google Scholar] [CrossRef] [PubMed]
- Tao, J.; Chen, X.; Liu, J.; Egorova, N.; Xue, X.; Liu, W.; Zheng, G.; Li, M.; Wu, J.; Hu, K.; et al. Tai Chi Chuan and Baduanjin mind-body training changes resting-state low-frequency fluctuations in th e frontal lobe of older adults: A resting-state fMRI study. Front. Hum. Neurosci. 2017, 11, 514. [Google Scholar] [CrossRef] [PubMed]
- Wu, M.T.; Tang, P.F.; Goh, J.O.S.; Chou, T.L.; Chang, Y.K.; Hsu, Y.C.; Chen, Y.J.; Chen, N.C.; Tseng, W.I.; Gau, S.S.; et al. Task-switching performance improvements after Tai Chi Chuan training are associated with greater pref rontal activation in older adults. Front. Aging Neurosci. 2018, 10, 280. [Google Scholar] [CrossRef] [PubMed]
- Shu, N.; Wang, X.; Bi, Q.; Zhao, T.; Han, Y. Disrupted topologic efficiency of white matter structural connectome in individuals with subjective cognitive decline. Radiology 2018, 286, 229–238. [Google Scholar] [CrossRef]
- Wang, C.; Bannuru, R.; Ramel, J.; Kupelnick, B.; Scott, T.; Schmid, C.H. Tai Chi on psychological well-being: Systematic review and meta-analysis. BMC Complement. Altern. Med. 2010, 10, 23. [Google Scholar] [CrossRef]
- Mortimer, J.A.; Ding, D.; Borenstein, A.R.; DeCarli, C.; Guo, Q.; Wu, Y.; Zhao, Q.; Chu, S. Changes in brain volume and cognition in a randomized trial of exercise and social interaction in a c ommunity-based sample of non-demented Chinese elders. J. Alzheimers Dis. 2012, 30, 757–766. [Google Scholar] [CrossRef]
- Watts, D.J.; Strogatz, S.H. Collective dynamics of ‘small-world’ networks. Nature 1998, 393, 440–442. [Google Scholar] [CrossRef]
- Owen, A.M.; McMillan, K.M.; Laird, A.R.; Bullmore, E. N-back working memory paradigm: A meta-analysis of normative functional neuroimaging studies. Hum. Brain Mapp. 2005, 25, 46–59. [Google Scholar] [CrossRef] [PubMed]
- Friedman, N.P.; Miyake, A.; Corley, R.P.; Young, S.E.; Defries, J.C.; Hewitt, J.K. Not all executive functions are related to intelligence. Psychol. Sci. 2006, 17, 172–179. [Google Scholar] [CrossRef] [PubMed]
- Ji, Z.; Li, A.; Feng, T.; Liu, X.; You, Y.; Meng, F.; Wang, R.; Lu, J.; Zhang, C. The benefits of Tai Chi and brisk walking for cognitive function and fitness in older adults. PeerJ 2017, 5, e3943. [Google Scholar] [CrossRef] [PubMed]
- Wang, C.; Schmid, C.H.; Rones, R.; Kalish, R.; Yinh, J.; Goldenberg, D.L.; Lee, Y.; McAlindon, T. A randomized trial of tai chi for fibromyalgia. N. Engl. J. Med. 2010, 363, 743–754. [Google Scholar] [CrossRef] [PubMed]
- Reijmer, Y.D.; Leemans, A.; Caeyenberghs, K.; Heringa, S.M.; Koek, H.L.; Biessels, G.J. Disruption of cerebral networks and cognitive impairment in Alzheimer disease. Neurology 2013, 80, 1370–1377. [Google Scholar] [CrossRef] [PubMed]
- Wayne, P.M.; Walsh, J.N.; Taylor-Piliae, R.E.; Wells, R.E.; Papp, K.V.; Donovan, N.J.; Yeh, G.Y. Effect of tai chi on cognitive performance in older adults: Systematic review and meta-analysis. J. Am. Geriatr. Soc. 2014, 62, 25–39. [Google Scholar] [CrossRef]
- Sungkarat, S.; Boripuntakul, S.; Chattipakorn, N.; Watcharasaksilp, K.; Lord, S.R. Effects of Tai Chi on cognition and fall risk in older adults with mild cognitive impairment: A randomized controlled trial. J. Am. Geriatr. Soc. 2017, 65, 721–727. [Google Scholar] [CrossRef]
- Sbardella, E.; Petsas, N.; Tona, F.; Prosperini, L.; Raz, E.; Pace, G.; Pozzilli, C.; Pantano, P. Assessing the correlation between grey and white matter damage with motor and cognitive impairment in multiple sclerosis patients. PLoS ONE 2013, 8, e63250. [Google Scholar] [CrossRef]
- Meijer, K.A.; Muhlert, N.; Cercignani, M.; Sethi, V.; Ron, M.A.; Thompson, A.J.; Miller, D.H.; Chard, D.; Geurts, J.J.; Ciccarelli, O. White matter tract abnormalities are associated with cognitive dysfunction in secondary progressive m ultiple sclerosis. Mult. Scler. 2016, 22, 1429–1437. [Google Scholar] [CrossRef]
- Azimzadeh, E.; Hosseini, M.A.; Nourozi, K.; Davidson, P.M. Effect of Tai Chi Chuan on balance in women with multiple sclerosis. Complement. Ther. Clin. Pract. 2015, 21, 57–60. [Google Scholar] [CrossRef]



| Tai Chi | Walking | t | p | Cohen’s d | |
|---|---|---|---|---|---|
| (n = 20) | (n = 22) | ||||
| Age, years | 62.9 ± 2.4 | 63.27 ± 3.6 | −0.393 | 0.193 a | −0.121 |
| Education, years | 9.05 ± 1.8 | 8.86 ± 2.74 | 0.188 | 0.074 b | 0.082 |
| Handedness (left/right) | 0/20 | 0/22 | |||
| MMSE | 28.5 ± 1.1 | 28.14 ± 1.0 | 1.1 | 0.636 b | 0.342 |
| Moca | 28.4 ± 1.5 | 27.5 ± 1.5 | 1.94 | 0.83 b | 0.6 |
| RT(1-back)ms | 629.26 ± 185.58 | 685.06 ± 111.94 | 0.133 | 0.196 a | −0.364 |
| RT(2-back)ms | 761.03 ± 146.61 | 855.73 ± 138.39 | 2.198 | 0.037 a | −0.664 |
| Accuracy(1-back) | 0.95 ± 0.03 | 0.93 ± 0.08 | 1.078 | 0.30 a | 0.331 |
| Accuracy(2-back) | 0.91 ± 0.04 | 0.87 ± 0.06 | 2.522 | 0.016 a | 0.784 |
| Network Properties | Characters | Descriptions |
|---|---|---|
| Small-world properties | Cp | The clustering coefficient of a network that is the average of the clustering coefficient, Cp-nodal, over all nodes. It measures the extent of local cluster or cliquishness of the network. |
| Lp | The characteristic path length of a network that is the average minimum number of connections linking any two nodes of the network. It measures the extent of overall routing efficiency of the network. | |
| Eloc | The local efficiency of a network that is the average of the local efficiency, Eloc-nodal, over all nodes. It measures the mean local efficiency of the network. | |
| Eglob | The global efficiency of a network that is the inverse of the harmonic mean of the minimum path length between any two nodes. It measures the extent of information propagation through the whole network. | |
| S, K | The sparsity or the cost to build a network. | |
| Degree distribution | a | A scalar parameter, which reflects the extent that the node degree spans within a network. |
| kc | A cutoff value, which evaluates the extent of an exponential decay. | |
| Nodal properties | knodal | The number of edges linking a single node. |
| Cp-nodal | The nodal clustering coefficient that measures the extent of inter-connectivity among the neighbors of the node. | |
| Eloc-nodal | The nodal local efficiency that measures the extent of information transmission among the neighbors of the node. | |
| Enodal | The nodal global efficiency that measures the extent of information transmission of the node with all other nodes in the network. |
| Tai Chi Group | Walking Group | T | p | Cohen’s d | |||
|---|---|---|---|---|---|---|---|
| M | SD | M | SD | ||||
| Lp | 3.131 | 0.215 | 3.051 | 0.255 | 1.071 | 0.291 | 0.339 |
| Cp | 0.31 | 0.035 | 0.295 | 0.04 | 1.236 | 0.224 | 0.399 |
| sigma | 5.021 | 0.345 | 4.503 | 0.33 | 4.835 | 0.000 * | 1.534 |
| λ | 1.151 | 0.036 | 1.137 | 0.037 | 1.207 | 0.235 | 0.384 |
| γ | 5.774 | 0.373 | 5.125 | 0.448 | 4.951 | 0.000 * | 1.574 |
| Eloc | 0.395 | 0.054 | 0.384 | 0.062 | 0.609 | 0.546 | 0.189 |
| Eglob | 0.321 | 0.021 | 0.33 | 0.026 | −1.233 | 0.225 | −0.38 |
© 2020 by the authors. Licensee MDPI, Basel, Switzerland. This article is an open access article distributed under the terms and conditions of the Creative Commons Attribution (CC BY) license (http://creativecommons.org/licenses/by/4.0/).
Share and Cite
Yue, C.; Zou, L.; Mei, J.; Moore, D.; Herold, F.; Müller, P.; Yu, Q.; Liu, Y.; Lin, J.; Tao, Y.; et al. Tai Chi Training Evokes Significant Changes in Brain White Matter Network in Older Women. Healthcare 2020, 8, 57. https://doi.org/10.3390/healthcare8010057
Yue C, Zou L, Mei J, Moore D, Herold F, Müller P, Yu Q, Liu Y, Lin J, Tao Y, et al. Tai Chi Training Evokes Significant Changes in Brain White Matter Network in Older Women. Healthcare. 2020; 8(1):57. https://doi.org/10.3390/healthcare8010057
Chicago/Turabian StyleYue, Chunlin, Liye Zou, Jian Mei, Damien Moore, Fabian Herold, Patrick Müller, Qian Yu, Yang Liu, Jingyuan Lin, Yuliu Tao, and et al. 2020. "Tai Chi Training Evokes Significant Changes in Brain White Matter Network in Older Women" Healthcare 8, no. 1: 57. https://doi.org/10.3390/healthcare8010057
APA StyleYue, C., Zou, L., Mei, J., Moore, D., Herold, F., Müller, P., Yu, Q., Liu, Y., Lin, J., Tao, Y., Loprinzi, P., & Zhang, Z. (2020). Tai Chi Training Evokes Significant Changes in Brain White Matter Network in Older Women. Healthcare, 8(1), 57. https://doi.org/10.3390/healthcare8010057

