The Role of Self-Compassion and Shame-Proneness Among Anorexia and Bulimia Nervosa
Abstract
1. Introduction
2. Materials and Methods
2.1. Sample
2.2. Instruments
2.3. Data Analysis
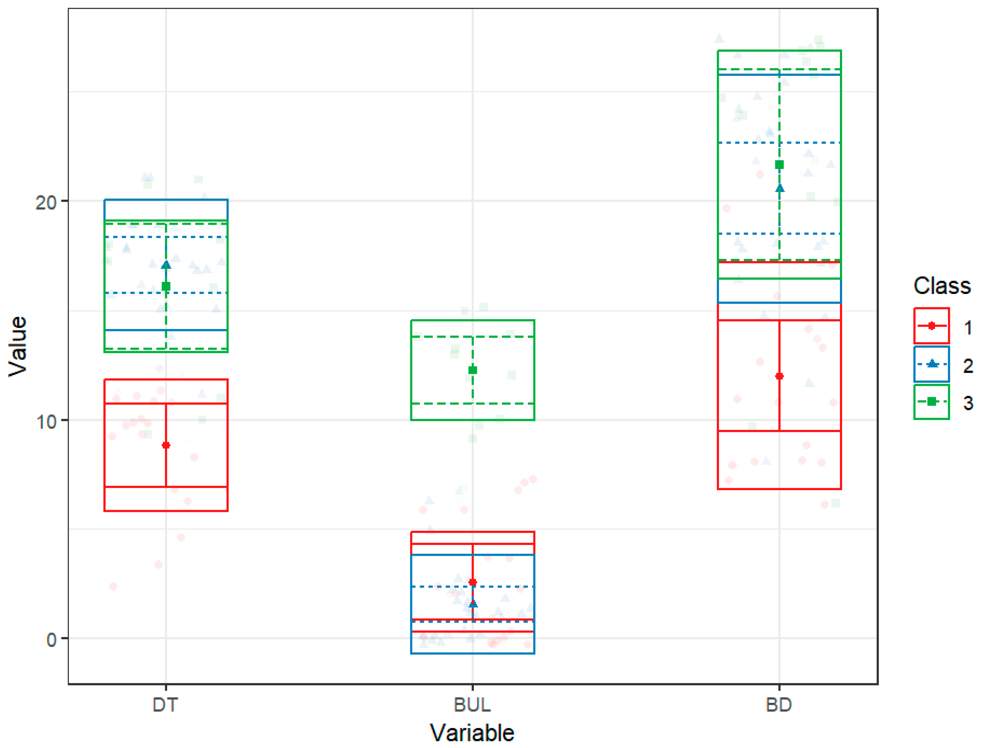
3. Results
4. Discussion
4.1. Limitations
4.2. Future Directions
5. Conclusions
Author Contributions
Funding
Institutional Review Board Statement
Informed Consent Statement
Data Availability Statement
Conflicts of Interest
Abbreviations
| SC | Self-Compassion |
| SP | Shame-Proneness |
| BD | Body Dissatisfaction |
| EDs | Eating Disorders |
| AN | Anorexia Nervosa |
| BN | Bulimia Nervosa |
| DT | Drive for Thinness |
| BUL | Bulimia |
| LPA | Latent Profile Analysis |
References
- Aparicio-Martinez, P.; Perea-Moreno, A.J.; Martinez-Jimenez, M.P.; Redel-Macías, M.D.; Pagliari, C.; Vaquero-Abellan, M. Social media, thin-ideal, body dissatisfaction and disordered eating attitudes: An exploratory analysis. Int. J. Environ. Res. Public Health 2019, 16, 4177. [Google Scholar] [CrossRef]
- Cassin, S.E.; von Ranson, K.M. Personality and eating disorders: A decade in review. Clin. Psychol. Rev. 2005, 25, 895–916. [Google Scholar] [CrossRef] [PubMed]
- Klump, K.L.; Miller, K.B.; Keel, P.K.; McGue, M.; Iacono, W.G. Genetic and environmental influences on anorexia nervosa syndromes in a population-based twin sample. Psychol. Med. 2001, 31, 737–740. [Google Scholar] [CrossRef]
- Treasure, J.; Schmidt, U. The cognitive-interpersonal maintenance model of anorexia nervosa revisited. J. Eat. Disord. 2013, 1, 13. [Google Scholar] [CrossRef] [PubMed]
- Neff, K.D. The development and validation of a scale to measure self-compassion. Self Identity 2003, 2, 223–250. [Google Scholar] [CrossRef]
- Turk, F.; Waller, G. Is self-compassion relevant to the pathology and treatment of eating and body image concerns? A systematic review and meta-analysis. Clin. Psychol. Rev. 2020, 79, 101856. [Google Scholar] [CrossRef]
- Braun, T.D.; Park, C.L.; Gorin, A. Self-compassion, body image, and disordered eating: A review of the literature. Body Image 2016, 17, 117–131. [Google Scholar] [CrossRef]
- Morgan-Lowes, K.L.; Thøgersen-Ntoumani, C.; Howell, J.; Khossousi, V.; Egan, S.J. Self-compassion and clinical eating disorder symptoms: A systematic review. Clin. Psychol. 2023, 27, 269–283. [Google Scholar] [CrossRef]
- Paranjothy, S.M.; Wade, T.D. A meta-analysis of disordered eating and its association with self-criticism and self-compassion. Int. J. Eat. Disord. 2024, 57, 473–536. [Google Scholar] [CrossRef] [PubMed]
- Fresnics, A.A.; Wang, S.B.; Borders, A. The unique associations between self-compassion and eating disorder psychopathology and the mediating role of rumination. Psychiatry Res. 2019, 274, 91–97. [Google Scholar] [CrossRef]
- Ferreira, C.; Matos, M.; Duarte, C.; Pinto-Gouveia, J. Shame memories and eating psychopathology: The buffering effect of self-compassion. Eur. Eat. Disord. Rev. 2014, 22, 487–494. [Google Scholar] [CrossRef] [PubMed]
- Marques, C.; Simão, M.; Guiomar, R.; Castilho, P. Self-disgust and urge to be thin in eating disorders: How can self-compassion help? Eat. Weight Disord. 2021, 26, 2317–2324. [Google Scholar] [CrossRef] [PubMed]
- Geller, J.; Srikameswaran, S.; Zelichowska, J. Resilience to shape and weight concerns and disordered eating: The role of self-compassion. Adv. Eat. Disord. 2015, 3, 4–12. [Google Scholar] [CrossRef]
- Neff, K.D.; Dahm, K.A. Self-compassion: What it is, what it does, and how it relates to mindfulness. In Handbook of Mindfulness and Self-Regulation; Brown, K.W., Creswell, J.D., Ryan, R.M., Eds.; Springer: New York, NY, USA, 2015; pp. 121–137. [Google Scholar]
- Tangney, J.P.; Dearing, R.L. Shame and Guilt; Guilford Press: New York, NY, USA, 2003. [Google Scholar]
- Nechita, D.M.; Bud, S.; David, D. Shame and eating disorders symptoms: A meta-analysis. Int. J. Eat. Disord. 2021, 54, 1899–1945. [Google Scholar] [CrossRef]
- Porter, A.C.; Zelkowitz, R.L.; Cole, D.A. The unique associations of self-criticism and shame-proneness to symptoms of disordered eating and depression. Eat. Behav. 2018, 29, 64–67. [Google Scholar] [CrossRef]
- Cavalera, C.; Pagnini, F.; Zurloni, V.; Diana, B.; Realdon, O.; Castelnuovo, G.; Todisco, P.; Molinari, E. Shame proneness and eating disorders: A comparison between clinical and non-clinical samples. Eat. Weight Disord. 2016, 21, 701–707. [Google Scholar] [CrossRef]
- O’Loghlen, E.; Galligan, R.; Grant, S. A latent profile analysis of the functions of binge eating. J. Eat. Disord. 2025, 13, 13. [Google Scholar] [CrossRef]
- Manjrekar, E.; Schoenleber, M.; Mu, W. Shame aversion and maladaptive eating-related attitudes and behaviors. Eat. Behav. 2013, 14, 456–459. [Google Scholar] [CrossRef]
- Mendes, A.L.; Ferreira, C.; Marta-Simões, J.; Trindade, I.A. The effects of shame, self-compassion and perfectionistic self-presentation of body image on eating psychopathology. Eur. Psychiatry 2016, 33, S428. [Google Scholar] [CrossRef]
- Matos, M.; Coimbra, M.; Ferreira, C. When body dysmorphia symptomatology meets disordered eating: The role of shame and self-criticism. Appetite 2023, 186, 106552. [Google Scholar] [CrossRef] [PubMed]
- Cannavò, M.; Cella, S.; Gullo, J.; Barberis, N. Self-compassion and body shame: Observing different pathways from body surveillance to eating disorders symptoms. J. Affect. Disord. Rep. 2024, 17, 100816. [Google Scholar] [CrossRef]
- Castellini, G.; Fioravanti, G.; Lo Sauro, C.; Rotella, F.; Lelli, L.; Ventura, L.; Faravelli, C.; Ricca, V. Latent profile and latent transition analyses of eating disorder phenotypes in a clinical sample: A 6-year follow-up study. Psychiatry Res. 2013, 207, 92–99. [Google Scholar] [CrossRef]
- Dakanalis, A.; Timko, C.A.; Clerici, M.; Zanetti, M.A.; Riva, G. Comprehensive models of risk factors for eating disorders in adolescence: Possible clinical implications. Eat. Weight Disord. 2017, 22, 341–351. [Google Scholar]
- Garner, D.M.; Olmstead, M.P.; Polivy, J. Development and validation of a multidimensional eating disorder inventory for anorexia nervosa and bulimia. Int. J. Eat. Disord. 1983, 2, 15–34. [Google Scholar] [CrossRef]
- Papežová, H. Spektrum Poruch Příjmu Potravy: Interdisciplinární Přístup; Grada Publishing: Prague, Czech Republic, 2010. [Google Scholar]
- Benda, J.; Reichová, A. Psychometrické charakteristiky české verze Self-Compassion Scale (SCS-CZ). Českoslov. Psychol. 2016, 60, 120–136. [Google Scholar]
- Swami, V.; Tran, U.S.; Voracek, M.; Aavik, T.; Ranjbar, H.A.; Adebayo, S.O.; Afhami, R.; Ahmed, O.; Aimé, A.; Akel, M.; et al. Self-compassion around the world: Measurement invariance of the short form of the Self-Compassion Scale (SCS-SF) across 65 nations, 40 languages, gender identities, and age groups. Mindfulness 2025, 16, 1569–1596. [Google Scholar] [CrossRef]
- Muris, P.; Otgaar, H.; Pfattheicher, S. Stripping the forest from the rotten trees: Compassionate self-responding is a way of coping, but reduced uncompassionate self-responding mainly reflects psychopathology. Mindfulness 2019, 10, 196–199. [Google Scholar] [CrossRef]
- Halamová, J.; Kanovský, M.; Petrocchi, N.; Moreira, H.; López, A.; Barnett, M.D.; Yang, E.; Benda, J.; Brähler, E.; Zeng, X.; et al. Factor structure of the Self-Compassion Scale in 11 international samples. Meas. Eval. Couns. Dev. 2021, 54, 1–23. [Google Scholar] [CrossRef]
- Büchner, A.; Ewert, C.; Hoffmann, C.F.A.; Schröder-Abé, M.; Horstmann, K.T. On the importance of being clear about the level of analysis of interest: An illustration using the case of self-compassion. J. Pers. 2025, 93, 197–215. [Google Scholar] [CrossRef] [PubMed]
- Dvořáková, P. Tendence k Prožívání Studu a Tendence k Prožívání Viny Jako Moderátory Vztahu Mezi Interpersonální Závislostí a Vyhledáváním Sociální Opory. Bachelor’s thesis, Fakulta Sociálních Studií Masarykovy Univerzity, Brno, Czechia, 2013. [Google Scholar]
- Weller, B.E.; Bowen, N.K.; Faubert, S.J. Latent class analysis: A guide to best practice. J. Black Psychol. 2020, 46, 287–311. [Google Scholar] [CrossRef]
- Spurk, D.; Hirschi, A.; Wang, M.; Valero, D.; Kauffeld, S. Latent profile analysis: A review and “how to” guide of its application within vocational behavior research. J. Vocat. Behav. 2020, 120, 103445. [Google Scholar] [CrossRef]
- Rosenberg, J.M.; van Lissa, C.J.; Beymer, P.N.; Anderson, D.J.; Schell, M.J.; Schmidt, J.A. tidyLPA: Easily Carry out Latent Profile Analysis (LPA) Using Open-Source or Commercial Software. Available online: https://data-edu.github.io/tidyLPA/ (accessed on 7 November 2025).
- Fox, J.; Weisberg, S. An R Companion to Applied Regression, 3rd ed.; Sage: Thousand Oaks, CA, USA, 2019. [Google Scholar]
- Harrell, F.E., Jr. Hmisc: Harrell Miscellaneous. R Package Version 5.2-3. Available online: https://CRAN.R-project.org/package=Hmisc (accessed on 25 May 2025).
- Rohde, P.; Stice, E.; Marti, C.N. Development and predictive effects of eating disorder risk factors during adolescence: Implications for prevention efforts. Int. J. Eat. Disord. 2015, 48, 187–193. [Google Scholar] [CrossRef]
- Trolio, V.; Racine, S.E. Exploring latent profiles of disordered eating using an indicator of dietary restriction in an undergraduate sample of men and women. Int. J. Eat. Disord. 2023, 56, 1603–1613. [Google Scholar] [CrossRef] [PubMed]
- Haynos, A.F.; Wang, S.B.; Lipson, S.; Peterson, C.B.; Mitchell, J.E.; Halmi, K.A.; Agras, W.S.; Crow, S.J. Machine learning enhances prediction of illness course: A longitudinal study in eating disorders. Psychol. Med. 2021, 51, 1392–1402. [Google Scholar] [CrossRef] [PubMed]
- Holland, L.A.; Bodell, L.P.; Keel, P.K. Psychological factors predict eating disorder onset and maintenance at 10-year follow-up. Eur. Eat. Disord. Rev. 2013, 21, 405–410. [Google Scholar] [CrossRef] [PubMed]




| Variable | Category | N (%) | M (SD) | Skewness | Kurtosis |
|---|---|---|---|---|---|
| Diagnosis | F50.0 (Anorexia nervosa) | 30 (54.5) | |||
| F50.2 (Bulimia nervosa) | 25 (45.5) | ||||
| Sex | Female | 55 (100.0) | |||
| Marital status | Single | 48 (87.3) | |||
| Married | 5 (9.1) | ||||
| Divorced | 2 (3.6) | ||||
| Children | No | 45 (81.8) | |||
| Yes | 10 (18.2) | ||||
| Education | Primary education (1st–9th grade) | 3 (5.5) | |||
| Secondary education (apprenticeship) | 16 (29.1) | ||||
| Secondary education (maturity exam) | 13 (23.6) | ||||
| Tertiary education | 23 (41.8) | ||||
| Age | 55 | 26.18 (9.10) | 1.60 | 2.52 | |
| SC | 55 | 40.16 (10.19) | 0.79 | 0.57 | |
| SP | 55 | 39.85 (7.26) | −0.38 | −0.37 | |
| DT | 55 | 14.15 (4.82) | −0.60 | −0.44 | |
| BUL | 55 | 4.11 (4.79) | 1.07 | −0.18 | |
| BD | 55 | 17.96 (6.74) | −0.25 | −1.22 |
| Model | Classes | LogLik | AIC | BIC | H | Pmin | Pmax | Nmin | Nmax | BLRT p |
|---|---|---|---|---|---|---|---|---|---|---|
| Model 1 | 3 | −480.91 | 989.83 | 1017.93 | 0.90 | 0.95 | 0.97 | 0.20 | 0.47 | 0.01 |
| Model 2 | 3 | −469.60 | 979.21 | 1019.36 | 0.90 | 0.95 | 1.00 | 0.13 | 0.53 | 0.02 |
| Model 3 | 2 | −484.98 | 995.96 | 1022.05 | 0.94 | 0.94 | 0.99 | 0.20 | 0.80 | 0.01 |
| Model 5 | 2 | −470.37 | 978.74 | 1016.88 | 0.87 | 0.95 | 0.97 | 0.40 | 0.60 | 0.01 |
| Profile | DT | BUL | BD | SP | SC | N | % of Sample | AvePP |
|---|---|---|---|---|---|---|---|---|
| 1—Low symptom | 8.67 | 2.67 | 11.90 | 37.50 | 46.70 | 18 | 32.70 | 0.96 |
| 2—Restrictive | 17.20 | 1.58 | 20.60 | 41.60 | 37.40 | 26 | 47.30 | 0.96 |
| 3—Multisymptomatic | 16.00 | 12.50 | 21.60 | 39.60 | 35.90 | 11 | 20.00 | 0.99 |
| Outcome | Predictor | B | SE | t | p | R2/Adj. R2 | F (df) | p (Model) | Residual SE |
|---|---|---|---|---|---|---|---|---|---|
| DT | SC_Low (Intercept) | 10.98 | 5.64 | 1.95 | 0.057 | 0.18/0.13 | 3.61 (3, 51) | 0.019 | 4.51 |
| SP | 0.12 | 0.13 | 0.87 | 0.389 | |||||
| SC_High | −5.23 | 7.26 | −0.72 | 0.474 | |||||
| SP × SC_High | 0.06 | 0.18 | 0.35 | 0.731 | |||||
| BUL | SC_Low (Intercept) | 8.96 | 5.98 | 1.50 | 0.140 | 0.06/0.00 | 1.05 (3, 51) | 0.380 | 4.78 |
| SP | −0.09 | 0.14 | −0.65 | 0.521 | |||||
| SC_High | −7.12 | 7.70 | −0.93 | 0.360 | |||||
| SP × SC_High | 0.12 | 0.19 | 0.65 | 0.520 | |||||
| BD | SC_Low (Intercept) | 33.38 | 7.40 | 4.51 | 0.000 | 0.27/0.23 | 6.33 (3, 51) | 0.001 | 5.92 |
| SP | −0.30 | 0.17 | −1.70 | 0.095 | |||||
| SC_High | −26.30 | 9.53 | −2.76 | 0.008 | |||||
| SP × SC_High | 0.50 | 0.23 | 2.15 | 0.036 |
Disclaimer/Publisher’s Note: The statements, opinions and data contained in all publications are solely those of the individual author(s) and contributor(s) and not of MDPI and/or the editor(s). MDPI and/or the editor(s) disclaim responsibility for any injury to people or property resulting from any ideas, methods, instructions or products referred to in the content. |
© 2025 by the authors. Licensee MDPI, Basel, Switzerland. This article is an open access article distributed under the terms and conditions of the Creative Commons Attribution (CC BY) license.
Share and Cite
Antichi, L.; Rossi, C.; Scerrati, E.; Kořínek, D.; Benda, J.; Riva, G. The Role of Self-Compassion and Shame-Proneness Among Anorexia and Bulimia Nervosa. Healthcare 2026, 14, 47. https://doi.org/10.3390/healthcare14010047
Antichi L, Rossi C, Scerrati E, Kořínek D, Benda J, Riva G. The Role of Self-Compassion and Shame-Proneness Among Anorexia and Bulimia Nervosa. Healthcare. 2026; 14(1):47. https://doi.org/10.3390/healthcare14010047
Chicago/Turabian StyleAntichi, Lorenzo, Chiara Rossi, Elisa Scerrati, Daniel Kořínek, Jan Benda, and Giuseppe Riva. 2026. "The Role of Self-Compassion and Shame-Proneness Among Anorexia and Bulimia Nervosa" Healthcare 14, no. 1: 47. https://doi.org/10.3390/healthcare14010047
APA StyleAntichi, L., Rossi, C., Scerrati, E., Kořínek, D., Benda, J., & Riva, G. (2026). The Role of Self-Compassion and Shame-Proneness Among Anorexia and Bulimia Nervosa. Healthcare, 14(1), 47. https://doi.org/10.3390/healthcare14010047

