Pre- and Post-Operative Education and Health-Related Quality of Life for Patients with Hip/Knee Replacement and Hip Fracture
Abstract
1. Introduction
2. Materials and Methods
2.1. Participants
2.2. Procedure
2.3. Educational Programs
2.4. Instrument
2.4.1. VAS
2.4.2. BAI
2.4.3. SF-36
2.5. Data Management and Statistical Analyses
3. Results
3.1. Participant Demographics
3.2. Health-Related Quality of Life (HRQOL)
3.3. Pain/Anxiety and Associations with HRQOL
4. Discussion
4.1. Education Program
4.2. The Change in HRQOL after Surgery
4.3. Pain/Anxiety and Association with HRQOL
4.4. Limitations
4.5. Conclusions
Author Contributions
Funding
Institutional Review Board Statement
Informed Consent Statement
Data Availability Statement
Conflicts of Interest
References
- Manning, L.; Davis, J.S.; Robinson, O.; Clark, B.; Lorimer, M.; de Steiger, R.; Graves, S.E. High prevalence of older Australians with one or more joint replacements: Estimating the population at risk for late complications of arthroplasty. ANZ J. Surg. 2020, 90, 846–850. [Google Scholar] [CrossRef] [PubMed]
- Maradit Kremers, H.; Larson, D.R.; Crowson, C.S.; Kremers, W.K.; Washington, R.E.; Steiner, C.A.; Jiranek, W.A.; Berry, D.J. Prevalence of total hip and knee replacement in the United States. J. Bone Joint Surg. Am. 2015, 97, 1386–1397. [Google Scholar] [CrossRef] [PubMed]
- Kumar, A.; Tsai, W.C.; Tan, T.S.; Kung, P.T.; Chiu, L.T.; Ku, M.C. Temporal trends in primary and revision total knee and hip replacement in Taiwan. J. Chin. Med. Assoc. 2015, 78, 538–544. [Google Scholar] [CrossRef]
- Oleske, D.M.; Bonafede, M.M.; Jick, S.; Ji, M.; Hall, J.A. Electronic health databases for epidemiological research on joint replacements: Considerations when making cross-national comparisons. Ann. Epidemiol. 2014, 24, 660–665. [Google Scholar] [CrossRef] [PubMed]
- Veronese, N.; Maggi, S. Epidemiology and social costs of hip fracture. Injury 2018, 49, 1458–1460. [Google Scholar] [CrossRef] [PubMed]
- Canovas, F.; Dagneaux, L. Quality of life after total knee arthroplasty. Orthop. Traumatol. Surg. Res. 2018, 104, S41–S46. [Google Scholar] [CrossRef]
- Kahlenberg, C.A.; Nwachukwu, B.U.; McLawhorn, A.S.; Cross, M.B.; Cornell, C.N.; Padgett, D.E. Patient satisfaction after total knee replacement: A systematic review. HSS J. 2018, 14, 192–201. [Google Scholar] [CrossRef]
- Curcio, N.; Philpot, L.; Bennett, M.; Felius, J.; Powers, M.B.; Edgerton, J.; Warren, A.M. Anxiety, depression, and healthcare utilization 1 year after cardiac surgery. Am. J. Surg. 2019, 218, 335–341. [Google Scholar] [CrossRef]
- Louw, A.; Diener, I.; Butler, D.S.; Puentedura, E.J. Preoperative education addressing postoperative pain in total joint arthroplasty: Review of content and educational delivery methods. Physiother. Theory Pract. 2013, 29, 175–194. [Google Scholar] [CrossRef]
- Alattas, S.A.; Smith, T.; Bhatti, M.; Wilson-Nunn, D.; Donell, S. Greater pre-operative anxiety, pain and poorer function predict a worse outcome of a total knee arthroplasty. Knee Surg. Sport. Traumatol. Arthrosc. 2017, 25, 3403–3410. [Google Scholar] [CrossRef]
- Duivenvoorden, T.; Vissers, M.M.; Verhaar, J.A.; Busschbach, J.J.; Gosens, T.; Bloem, R.M.; Bierma-Zeinstra, S.M.; Reijman, M. Anxiety and depressive symptoms before and after total hip and knee arthroplasty: A prospective multicentre study. Osteoarthr. Cartil. 2013, 21, 1834–1840. [Google Scholar] [CrossRef] [PubMed]
- Bond, M.R.; Pilowsky, I. Subjective assessment of pain and its relationship to the administration of analgesics in patients with advanced cancer. J. Psychosom. Res. 1966, 10, 203–208. [Google Scholar] [CrossRef] [PubMed]
- Boonstra, A.M.; Schiphorst Preuper, H.R.; Balk, G.A.; Stewart, R.E. Cut-off points for mild, moderate, and severe pain on the visual analogue scale for pain in patients with chronic musculoskeletal pain. Pain 2014, 155, 2545–2550. [Google Scholar] [CrossRef] [PubMed]
- Beck, A.R.; Epstein, N.; Brown, G.; Steer, R.A. An inventory for measuring clinical anxiety: Psychometric properties. J. Consult. Clin. Psychol. 1988, 56, 893–897. [Google Scholar] [CrossRef]
- Lennard, T.A.; Walkowski, S.; Singla, A.K.; Vivian, D.G. Pain Procedures in Clinical Practice, 3rd ed.; Elsevier Saunders: Philadelphia, PA, USA, 2011. [Google Scholar]
- Creamer, M.; Foran, J.; Bell, R. The Beck Anxiety Inventory in a non-clinical sample. Behav. Res. Ther. 1995, 33, 477–485. [Google Scholar] [CrossRef]
- Ware, J.E., Jr.; Kosinski, M.; Bayliss, M.S.; McHorney, C.A.; Rogers, W.H.; Raczek, A. Comparison of methods for the scoring and statistical analysis of SF-36 health profile and summary measures: Summary of results from the Medical Outcomes Study. Med. Care 1995, 33, AS264–AS279. [Google Scholar]
- Lu, J.F.R.; Tseng, H.M.; Tsai, Y.J. Assessment of health related quality of life in Taiwan (I): Development and psychometric testing of SF-36 Taiwan version. Taiwan J. Public Health 2003, 22, 501–513. [Google Scholar]
- Tseng, H.M.; Lu, J.F.R.; Tsai, Y.J. Assessment of health related quality of life in Taiwan (II): Norming and validation of SF-36 Taiwan version. Taiwan J. Public Health 2003, 22, 512–518. [Google Scholar]
- Lakens, D. Calculating and reporting effect sizes to facilitate cumulative science: A practical primer for t-tests and ANOVAs. Front. Psychol. 2013, 26, 863. [Google Scholar] [CrossRef]
- Fleiss, J.L. Statistical Methods for Rates and Proportions; Wiley: New York, NY, USA, 1981. [Google Scholar]
- Cohen, J. A power primer. Psychol. Bull. 1992, 112, 155–159. [Google Scholar] [CrossRef] [PubMed]
- Campbell, D.; Fiske, D.W. Convergent and discriminant validation by the multitrait-multimethod matrix. Psychol. Bull. 1959, 56, 81–105. [Google Scholar] [CrossRef] [PubMed]
- Liao, C.Y.; Chan, H.T.; Chao, E.; Yang, C.M.; Lu, T.C. Comparison of total hip and knee joint replacement in patients with rheumatoid arthritis and osteoarthritis: A nationwide, population-based study. Singap. Med. J. 2015, 56, 58–64. [Google Scholar] [CrossRef] [PubMed]
- McDonald, S.; Page, M.J.; Beringer, K.; Wasiak, J.; Sprowson, A. Preoperative education for hip or knee replacement. Cochrane Database Syst. Rev. 2014, 5, CD003526. [Google Scholar] [CrossRef] [PubMed]
- Sveinsdóttir, H.; Kristiansen, K.; Skúladóttir, H. Health related quality of life in patients having total knee replacement and associations with symptoms, recovery, and patient education: A six month follow up study. Int. J. Orthop. Trauma Nurs. 2021, 42, 100830. [Google Scholar] [CrossRef]
- Shi, H.Y.; Khan, M.; Culbertson, R.; Chang, J.K.; Wang, J.W.; Chiu, H.C. Health-related quality of life after total hip replacement: A Taiwan study. Int. Orthop. 2009, 33, 1217–1222. [Google Scholar] [CrossRef]
- Busija, L.; Osborne, R.H.; Nilsdotter, A.; Buchbinder, R.; Roos, E.M. Magnitude and meaningfulness of change in SF-36 scores in four types of orthopedic surgery. Health Qual. Life Outcomes 2008, 31, 55. [Google Scholar] [CrossRef]
- Nilsdotter, A.K.; Petersson, I.F.; Roos, E.M.; Lohmander, L.S. Predictors of patient relevant outcome after total hip replacement for osteoarthritis: A prospective study. Ann. Rheum. Dis. 2003, 62, 923–930. [Google Scholar] [CrossRef]
- Nilsdotter, A.K.; Isaksson, F. Patient relevant outcome 7 years after total hip replacement for OA—A prospective study. BMC Musculoskelet Disord. 2010, 11, 47. [Google Scholar] [CrossRef]
- Ng, C.Y.; Ballantyne, J.A.; Brenkel, I.J. Quality of life and functional outcome after primary total hip replacement. A five-year follow-up. J. Bone Joint Surg. Br. 2007, 89, 868–873. [Google Scholar] [CrossRef]
- Lavernia, C.J.; Alcerro, J.C.; Contreras, J.S.; Rossi, M.D. Patient perceived outcomes after primary hip arthroplasty: Does gender matter? Clin. Orthop. Relat. Res. 2011, 469, 348–354. [Google Scholar] [CrossRef]
- Shan, L.; Shan, B.; Graham, D.; Saxena, A. Total hip replacement: A systematic review and meta-analysis on mid-term quality of life. Osteoarthr. Cartil. 2014, 22, 389–406. [Google Scholar] [CrossRef] [PubMed]
- Qi, A.; Lin, C.; Zhou, A.; Du, J.; Jia, X.; Sun, L.; Zhang, G.; Zhang, L.; Liu, M. Negative emotions affect postoperative scores for evaluating functional knee recovery and quality of life after total knee replacement. Braz. J. Med. Biol. Res. 2016, 49, e4616. [Google Scholar] [CrossRef] [PubMed]

| Mean (SD)/Range | |
|---|---|
| Age (years, number) | 64.8 (13.9)/18–94 |
| (<65 years, 41; 65–79 years, 49; 80–94 years, 10) | |
| THR/TKR/Fracture | 56.3 (15.1)/70.3 (6.7)/63.5 (19.7) |
| VAS | 4.9 (3.0)/0–10 |
| THR/TKR/Fracture | 4.7 (3.1)/5.1 (3.0)/4.5 (3.0) |
| BAI | 7.8 (6.7)/0–37 |
| THR/TKR/Fracture | 7.5 (6.2)/7.2 (5.7)/10.3 (10.0) |
| Test score | 8.2 (2.5)/0–13 |
| THR/TKR/Fracture | 8.2 (2.9)/8.0 (2.2)/8.9 (2.6) |
| SF-36 | |
| PCS | 35.4 (8.1)/18.2–58.7 |
| THR/TKR/Fracture | 34.5 (8.4)/35.4 (6.6)/37.1 (11.6) |
| MCS | 48.2 (10.4)/27.8–71.8 |
| THR/TKR/Fracture | 47.5 (11.6)/48.7 (10.0)/48.2 (10.0) |
| Diagnosis | Number |
| THR | 31 |
| TKR | 52 |
| Hip fracture | 17 |
| Total (THR/TKR/Fracture) | |
| Sex | |
| Male | 36 (15/13/8) |
| Female | 64 (16/39/9) |
| Marital status | |
| Single/widowed | 17 (4/9/4) |
| Married | 83 (27/43/13) |
| Education | |
| Elementary school | 67 (14/43/10) |
| High school | 24 (11/7/6) |
| University | 9 (6/2/1) |
| Work status | |
| Retired or without work | 73 (22/42/9) |
| Work | 21 (9/7/5) |
| Student | 6 (0/3/3) |
| Norm (n = 100) | Pre-Operation (n = 100) | 6 Weeks (n = 84) | 6 Months (n = 55) | p | ES | |
|---|---|---|---|---|---|---|
| Summary Measures | Mean (SD) | |||||
| PCS | -- | 35.4 (8.1) | 38.2 (8.7) | 42.0 (11.0) #,§ | <0.001 | 0.81 |
| THR | 34.5 (8.4) | 41.9 (9.1) # | 45.4 (11.4) # | <0.001 | 1.30 | |
| TKR | 35.4 (6.5) | 36.8 (8.1) * | 39.4 (8.7) | 0.11 | 0.62 | |
| Fracture | 37.1 (11.6) | 34.4 (7.1) ** | 37.9 (17.5) | 0.75 | 0.07 | |
| MCS | -- | 48.2 (10.4) | 51.8 (12.4) # | 55.2 (9.6) #,§ | <0.001 | 0.67 |
| THR | 47.5 (11.6) | 48.4 (13.5) | 55.2 (7.7) #,§ | 0.04 | 0.66 | |
| TKR | 48.7 (10.0) | 54.4 (11.6) # | 56.0 (10.4) # | 0.009 | 0.73 | |
| Fracture | 48.2 (10.0) | 51.8 (11.0) | 51.3 (15.4) | 0.67 | 0.31 | |
| Subscales | ||||||
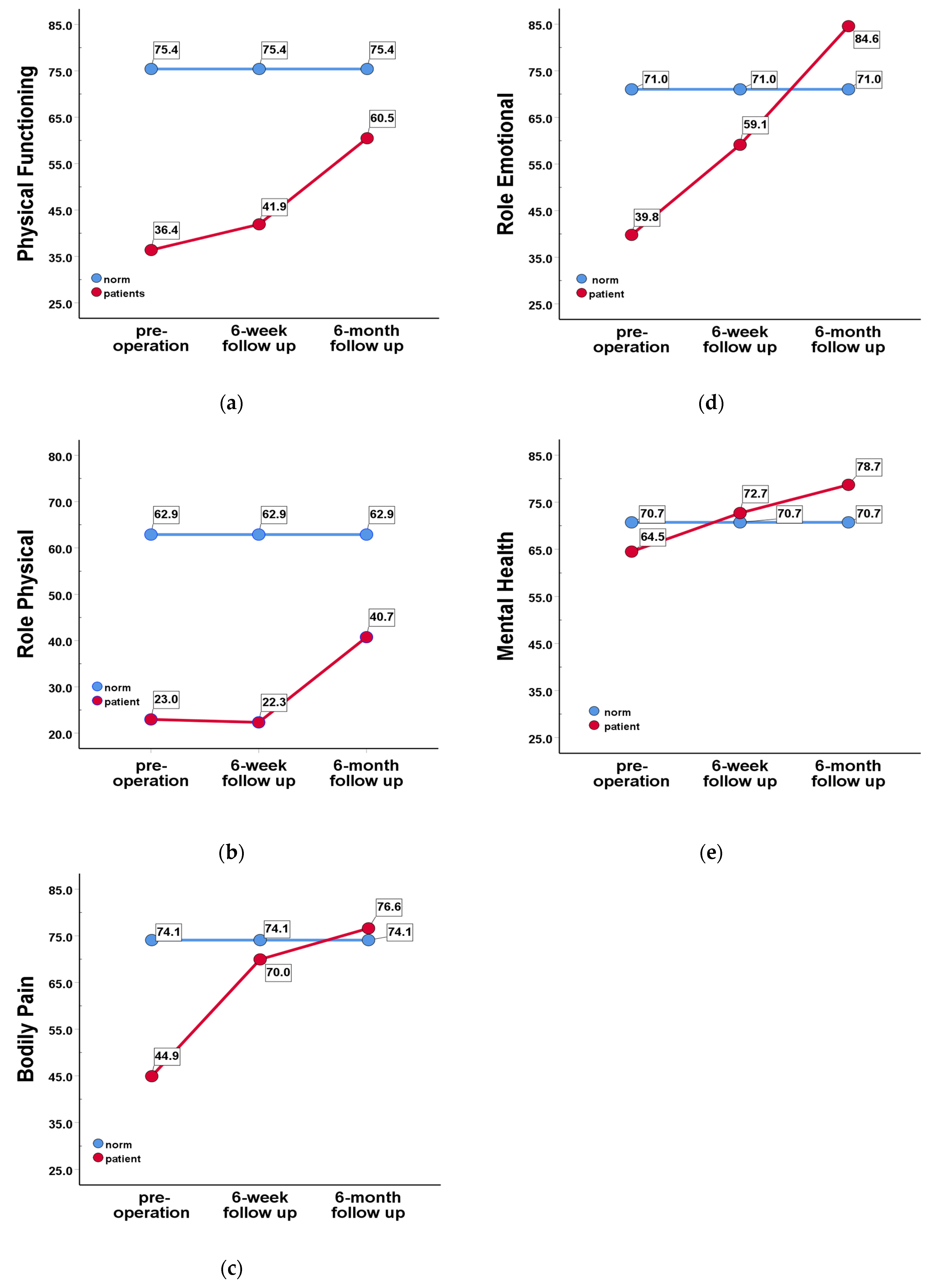
| PF | 75.4 (14.5) †,‡,& | 36.4 (23.7) | 41.9 (22.9) | 60.5 (24.5) #,§ | <0.001 | 1.02 |
| RP | 62.9 (17.5) †,‡,& | 23.0 (39.8) | 22.3 (39.0) | 40.7 (43.5) #,§ | <0.001 | 0.44 |
| BP | 74.1 (9.2) † | 44.9 (26.2) | 70.0 (20.9) # | 76.6 (27.8) # | <0.001 | 1.21 |
| GH | 56.9 (8.1) | 55.9 (21.1) | 59.4 (23.5) | 63.5 (26.2) | 0.12 | 0.36 |
| VT | 60.7 (6.5) ‡ | 62.8 (17.7) | 66.9 (18.8) | 62.6 (17.6) | 0.07 | −0.01 |
| SF | 80.9 (5.9) | 74.6 (25.7) | 75.4 (31.6) | 80.8 (29.0) | 0.18 | 0.24 |
| RE | 71.0 (10.5) †,‡,& | 39.8 (46.3) | 59.1 (45.8) # | 84.6 (30.2) #,§ | <0.001 | 0.96 |
| MH | 70.7 (3.8) †,& | 64.5 (18.3) | 72.7 (18.2) # | 78.7 (18.2) #,§,† | <0.001 | 0.78 |
| Pre-Operation (n = 100) | Discharge (n = 100) | 6 Weeks (n = 84) | 6 Months (n = 55) | p | ES | |
|---|---|---|---|---|---|---|
| Mean (SD) | ||||||
| VAS * | 4.9 (3.0) | 3.0 (2.5) † | 1.7 (2.3) †,# | 1.2 (2.5) †,# | <0.001 | 1.23 |
| THR | 4.7 (3.1) | 2.5 (2.3) † | 0.8 (1.5) †,# | 1.2 (2.7) † | <0.001 | 1.13 |
| TKR | 5.1 (3.0) | 3.2 (2.6) † | 2.2 (2.6)*,† | 0.9 (1.8) †,# | <0.001 | 1.40 |
| Fracture | 4.5 (3.0) | 3.0 (2.8) | 1.8 (2.4) | 2.8 (4.3) | 0.10 | 0.57 |
| BAI | 7.8 (6.7) | 5.2 (4.6) † | 4.4 (5.9) † | 1.9 (3.7) †,#,§ | <0.001 | 0.88 |
| THR | 7.5 (6.2) | 4.8 (5.1) † | 3.3 (4.8) † | 0.7 (1.3) †,# | <0.001 | 1.10 |
| TKR | 7.2 (5.7) | 4.8 (4.4) † | 5.3 (6.9) | 3.0 (5.0) † | 0.017 | 0.74 |
| Fracture | 10.3 (10.0) | 5.9 (4.4) | 3.3 (3.9) † | 1.0 (0.8) † | 0.019 | 1.02 |
| Summary Measure | VAS | BAI | VAS 6 Weeks | BAI 6 Weeks | VAS 6 Months | BAI 6 Months | ||
|---|---|---|---|---|---|---|---|---|
| Preoperation | 6 weeks | 6 months | ||||||
| PCS | −0.34 *** | ns | PCS | −0.46 *** | −0.44 *** | PCS | −0.69 *** | −0.46 *** |
| MCS | ns | −0.43 *** | MCS | ns | −0.55 *** | MCS | −0.70 *** | −0.74 *** |
| Subscales | ||||||||
| PF | ns | ns | PF | −0.30 ** | −0.37 *** | PF | −0.59 *** | −0.57 *** |
| RP | ns | ns | RP | ns | −0.24 ** | RP | −0.56 *** | −0.34 ** |
| BP | −0.45 *** | ns | BP | −0.62 *** | −0.45 *** | BP | −0.93 *** | −0.50 *** |
| GH | −0.37 *** | −0.35 *** | GH | −0.36 *** | −0.44 *** | GH | −0.61 *** | −0.49 *** |
| VT | −0.31 *** | −0.37 *** | VT | −0.43 *** | −0.59 *** | VT | −0.65 *** | −0.64 *** |
| SF | ns | ns | SF | ns | −0.45 *** | SF | −0.81 *** | −0.53 *** |
| RE | ns | ns | RE | ns | −0.32 ** | RE | −0.74 *** | −0.59 *** |
| MH | −0.22 * | −0.44 *** | MH | −0.28 * | −0.62 *** | MH | −0.61 *** | −0.74 *** |
Disclaimer/Publisher’s Note: The statements, opinions and data contained in all publications are solely those of the individual author(s) and contributor(s) and not of MDPI and/or the editor(s). MDPI and/or the editor(s) disclaim responsibility for any injury to people or property resulting from any ideas, methods, instructions or products referred to in the content. |
© 2023 by the authors. Licensee MDPI, Basel, Switzerland. This article is an open access article distributed under the terms and conditions of the Creative Commons Attribution (CC BY) license (https://creativecommons.org/licenses/by/4.0/).
Share and Cite
Lu, Y.-M.; Chang, J.-K.; Lin, P.-Y.; Lue, Y.-J. Pre- and Post-Operative Education and Health-Related Quality of Life for Patients with Hip/Knee Replacement and Hip Fracture. Healthcare 2023, 11, 329. https://doi.org/10.3390/healthcare11030329
Lu Y-M, Chang J-K, Lin P-Y, Lue Y-J. Pre- and Post-Operative Education and Health-Related Quality of Life for Patients with Hip/Knee Replacement and Hip Fracture. Healthcare. 2023; 11(3):329. https://doi.org/10.3390/healthcare11030329
Chicago/Turabian StyleLu, Yen-Mou, Je-Ken Chang, Pin-Yu Lin, and Yi-Jing Lue. 2023. "Pre- and Post-Operative Education and Health-Related Quality of Life for Patients with Hip/Knee Replacement and Hip Fracture" Healthcare 11, no. 3: 329. https://doi.org/10.3390/healthcare11030329
APA StyleLu, Y.-M., Chang, J.-K., Lin, P.-Y., & Lue, Y.-J. (2023). Pre- and Post-Operative Education and Health-Related Quality of Life for Patients with Hip/Knee Replacement and Hip Fracture. Healthcare, 11(3), 329. https://doi.org/10.3390/healthcare11030329
