Dose-Response Relationship between Gestational Weight Gain and Neonatal Birthweight in Chinese Women with Excess Weight/Obesity and Gestational Diabetes Mellitus
Abstract
:1. Introduction
2. Materials and Methods
2.1. Procedures and Participants
2.2. Data Collection Procedures
2.3. Diagnosis and Definitions
2.4. Statistical Analysis
2.5. Ethical Consideration
3. Results
3.1. Participant Characteristics
3.2. The Impact of Total GWG on Neonatal Birthweight
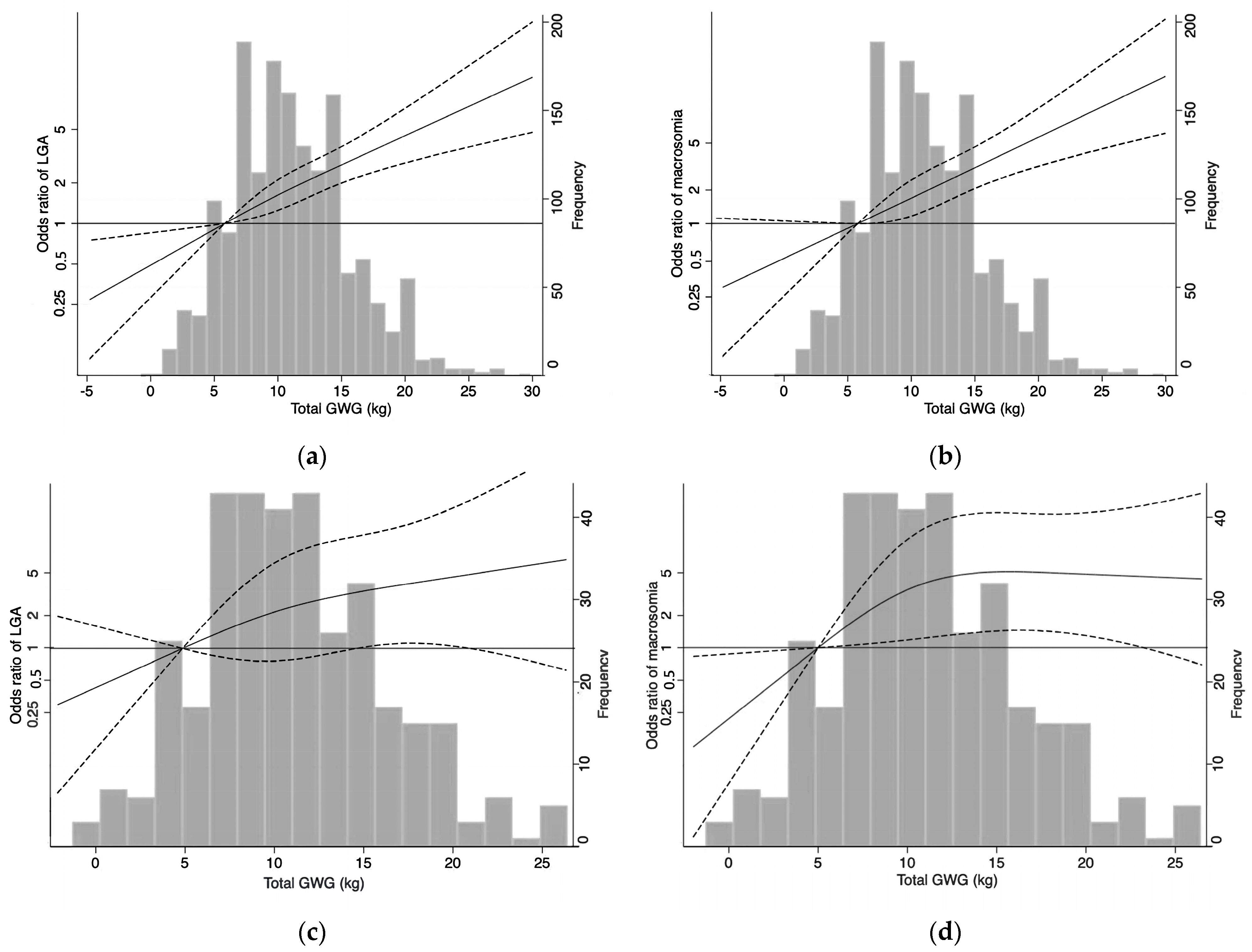
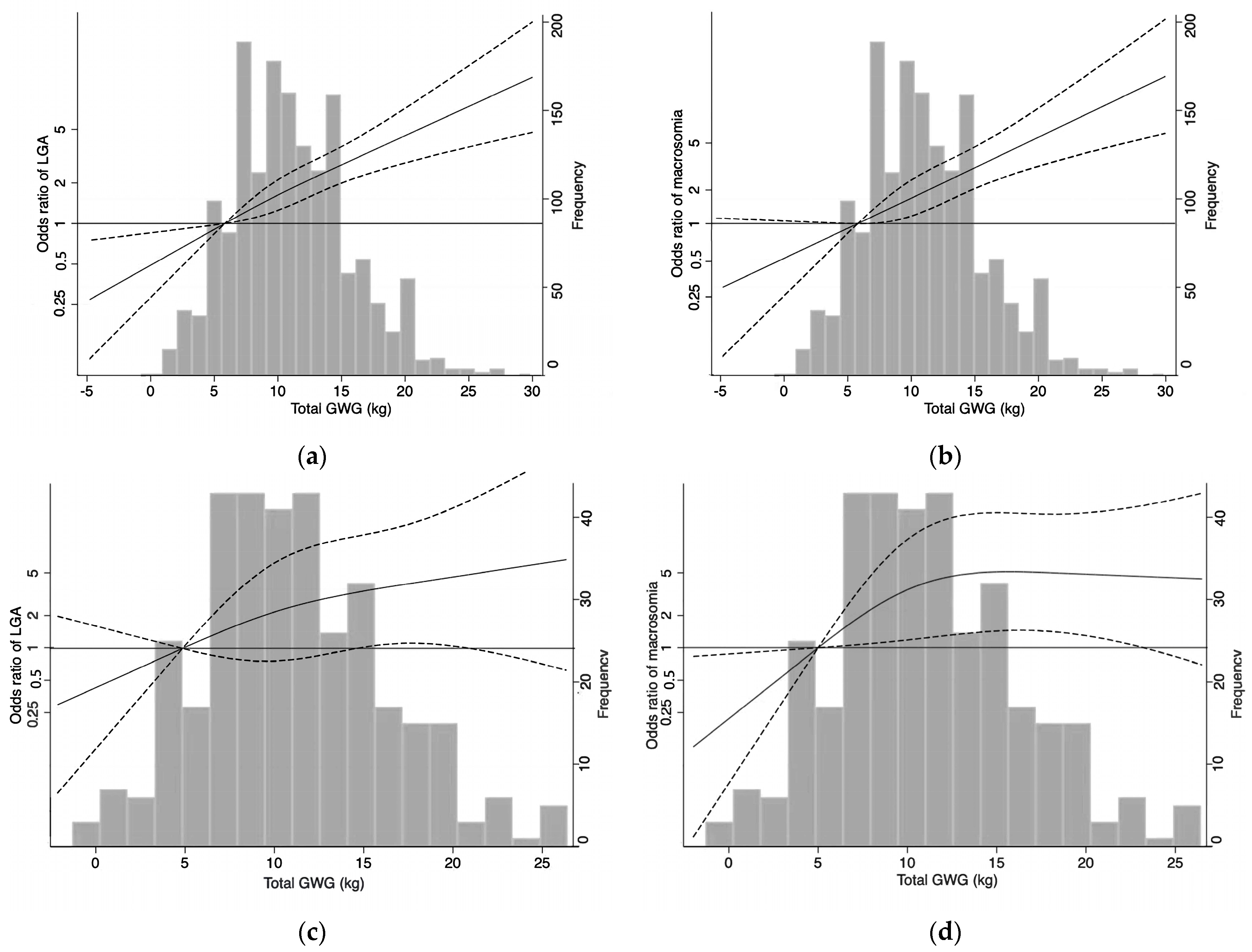
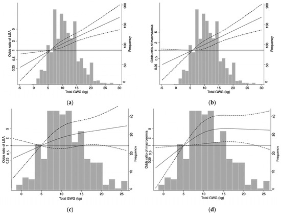
3.3. Dose-Response Relationship between Total GWG and Risk of Neonatal Birthweight
4. Discussion
5. Conclusions
Author Contributions
Funding
Institutional Review Board Statement
Informed Consent Statement
Data Availability Statement
Acknowledgments
Conflicts of Interest
References
- Najafi, F.; Hasani, J.; Izadi, N.; Hashemi-Nazari, S.-S.; Namvar, Z.; Mohammadi, S.; Sadeghi, M. The effect of prepregnancy body mass index on the risk of gestational diabetes mellitus: A systematic review and dose-response meta-analysis. Obes. Rev. 2019, 20, 472–486. [Google Scholar] [CrossRef]
 - Bogdanet, D.; Egan, A.; Reddin, C.; Kirwan, B.; Carmody, L.; Dunne, F. ATLANTIC DIP: Despite insulin therapy in women with IADPSG diagnosed GDM, desired pregnancy outcomes are still not achieved. What are we missing? Diabetes Res. Clin. Pract. 2018, 136, 116–123. [Google Scholar] [CrossRef]
 - McIntyre, H.D.; Catalano, P.; Zhang, C.; Desoye, G.; Mathiesen, E.R.; Damm, P. Gestational diabetes mellitus. Nat. Rev. Dis. Primers 2019, 5, 48. [Google Scholar] [CrossRef]
 - ElSayed, N.A.; Aleppo, G.; Aroda, V.R.; Bannuru, R.R.; Brown, F.M.; Bruemmer, D.; Collins, B.S.; Hilliard, M.E.; Isaacs, D.; Johnson, E.L.; et al. 2. Classification and Diagnosis of Diabetes: Standards of Care in Diabetes-2023. Diabetes Care 2023, 46, S19–S40. [Google Scholar] [CrossRef]
 - Landon, M.B.; Spong, C.Y.; Thom, E.; Carpenter, M.W.; Ramin, S.M.; Casey, B.; Wapner, R.J.; Varner, M.W.; Rouse, D.J.; Thorp, J.M., Jr.; et al. A multicenter, randomized trial of treatment for mild gestational diabetes. N. Engl. J. Med. 2009, 361, 1339–1348. [Google Scholar] [CrossRef]
 - Crowther, C.A.; Samuel, D.; McCowan, L.M.E.; Edlin, R.; Tran, T.; McKinlay, C.J. Lower versus Higher Glycemic Criteria for Diagnosis of Gestational Diabetes. N. Engl. J. Med. 2022, 387, 587–598. [Google Scholar] [CrossRef]
 - He, J.; Chen, X.; Wang, Y.; Liu, Y.; Bai, J. The experiences of pregnant women with gestational diabetes mellitus: A systematic review of qualitative evidence. Rev. Endocr. Metab. Disord. 2021, 22, 777–787. [Google Scholar] [CrossRef]
 - Benhalima, K.; Robyns, K.; Van Crombrugge, P.; Deprez, N.; Seynhave, B.; Devlieger, R.; Verhaeghe, J.; Mathieu, C.; Nobels, F. Differences in pregnancy outcomes and characteristics between insulin- and diet-treated women with gestational diabetes. BMC Pregnancy Childbirth 2015, 15, 271. [Google Scholar] [CrossRef]
 - Barnes, R.A.; Wong, T.; Ross, G.P.; Griffiths, M.M.; Smart, C.E.; Collins, C.E.; MacDonald-Wicks, L.; Flack, J.R. Excessive Weight Gain Before and During Gestational Diabetes Mellitus Management: What Is the Impact? Diabetes Care 2020, 43, 74–81. [Google Scholar] [CrossRef]
 - Poppe, K. Management of endocrine diseases: Thyroid and female infertility: More questions than answers?! Eur. J. Endocrinol. 2021, 184, R123–R135. [Google Scholar] [CrossRef]
 - Goldstein, R.F.; Abell, S.K.; Ranasinha, S.; Misso, M.; Boyle, J.A.; Black, M.H.; Li, N.; Hu, G.; Corrado, F.; Rode, L.; et al. Association of Gestational Weight Gain with Maternal and Infant Outcomes: A Systematic Review and Meta-analysis. JAMA 2017, 317, 2207–2225. [Google Scholar] [CrossRef] [PubMed]
 - Ionescu, R.F.; Enache, R.M.; Cretoiu, S.M.; Gaspar, B.S. Gut Microbiome Changes in Gestational Diabetes. Int. J. Mol. Sci. 2022, 23, 12839. [Google Scholar] [CrossRef] [PubMed]
 - Komem, D.; Salman, L.; Krispin, E.; Arbib, N.; Bardin, R.; Wiznitzer, A.; Hadar, E. Gestational weight gain and weight loss among women with gestational diabetes mellitus. Diabetes Res. Clin. Pract. 2018, 141, 88–97. [Google Scholar] [CrossRef]
 - Hedderson, M.M.; Brown, S.D.; Ehrlich, S.F.; Tsai, A.L.; Zhu, Y.; Quesenberry, C.P.; Crites, Y.; Ferrara, A. A Tailored Letter Based on Electronic Health Record Data Improves Gestational Weight Gain Among Women With Gestational Diabetes Mellitus: The Gestational Diabetes’ Effects on Moms (GEM) Cluster-Randomized Controlled Trial. Diabetes Care 2018, 41, 1370–1377. [Google Scholar] [CrossRef] [PubMed]
 - Institute of Medicine; National Research Council Committee to Reexamine. Pregnancy Weight Guidelines: The National Academies Collection: Reports funded by National Institutes of Health; National Academies Press: Washington, DC, USA, 2009. [Google Scholar]
 - Wong, T.; Barnes, R.A.; Ross, G.P.; Cheung, N.W.; Flack, J.R. Are the Institute of Medicine weight gain targets applicable in women with gestational diabetes mellitus? Diabetologia 2017, 60, 416–423. [Google Scholar] [CrossRef]
 - Harper, L.M.; Tita, A.; Biggio, J.R. The institute of medicine guidelines for gestational weight gain after a diagnosis of gestational diabetes and pregnancy outcomes. Am. J. Perinatol. 2015, 32, 239–246. [Google Scholar]
 - Minschart, C.; Lammertyn, A.; Van Crombrugge, P.; Moyson, C.; Verhaeghe, J.; Vandeginste, S.; Verlaenen, H.; Vercammen, C.; Maes, T.; Dufraimont, E.; et al. Low Gestational Weight Gain in Women with Gestational Diabetes Is Safe with Better Metabolic Profile Postpartum. J. Clin. Endocrinol. Metab. 2023, 108, 665–679. [Google Scholar] [CrossRef]
 - He, J.; Hu, K.; Xing, C.; Wang, B.; Zeng, T.; Wang, H. Puerperium experience and lifestyle in women with gestational diabetes mellitus and overweight/obesity in China: A qualitative study. Front. Psychol. 2023, 14, 1043319. [Google Scholar] [CrossRef]
 - Mustaniemi, S.; Nikkinen, H.; Bloigu, A.; Pouta, A.; Kaaja, R.; Eriksson, J.G.; Laivuori, H.; Gissler, M.; Kajantie, E.; Vaarasmaki, M. Normal Gestational Weight Gain Protects from Large-for-Gestational-Age Birth among Women with Obesity and Gestational Diabetes. Front. Public Health 2021, 9, 550860. [Google Scholar] [CrossRef]
 - Luo, X.; Gao, J.; He, Z.; Ji, J.; Zhang, W.; Wu, P.; Guo, X.; Cao, D.; Xu, Z.; Li, C.; et al. What is an appropriate gestational weight gain for women with gestational diabetes mellitus: Based on the adverse pregnancy outcomes of over 12 thousand participants? Diabetol. Metab. Syndr. 2022, 14, 166. [Google Scholar] [CrossRef]
 - Shi, X.; Wang, D.; Lin, M.; Su, W.; Wang, L.; Xiao, F.; Huang, P.; Liu, W.; Zeng, J.; Song, H.; et al. Maternal gestational diabetes mellitus and offspring body mass index frm 1 to 4 years. Endocr. Pract. 2020, 26, 619–626. [Google Scholar] [CrossRef] [PubMed]
 - von Elm, E.; Altman, D.G.; Egger, M.; Pocock, S.J.; Gøtzsche, P.C.; Vandenbroucke, J.P. The Strengthening the Reporting of Observational Studies in Epidemiology (STROBE) Statement: Guidelines for reporting observational studies. Int. J. Surg. 2014, 12, 1495–1499. [Google Scholar] [CrossRef]
 - Group of Obstetrics Chinese Society of Obstetrics and Gynecology; Gestational Diabetes Mellitus Collaborative Group Chinese Perinatal Medicine Society. Guidelines for Diagnosis and treatment of gestational Diabetes Mellitus (2014). Chin. J. Obstetr. Gynecol. 2014, 49, 561–569. [Google Scholar]
 - Working Group on Obesity in China. Guidelines for Prevention and Control of Overweight and Obesity in Chinese Adults (Excerpt). Acta Nutr. Sin. 2004, 17, 1–4. [Google Scholar]
 - Zhu, L.; Zhang, R.; Zhang, S.; Shi, W.; Yan, W.; Wang, X.; Lyu, Q.; Liu, L.; Zhou, Q.; Qiu, Q. Chinese neonatal birth weight curve for different gestational age. Chin. J. Pediatr. 2015, 53, 97–103. [Google Scholar]
 - Wackernagel, D.; Gustafsson, A.; Edstedt Bonamy, A.K.; Reims, A.; Ahlsson, F.; Elfving, M.; Domellöf, M.; Hansen Pupp, I. Swedish national guideline for prevention and treatment of neonatal hypoglycaemia in newborn infants with gestational age ≥35 weeks. Acta Paediatr. 2020, 109, 31–44. [Google Scholar] [CrossRef] [PubMed]
 - Textor, J.; Hardt, J.; Knüppel, S. DAGitty: A Graphical Tool for Analyzing Causal Diagrams. Epidemiology 2011, 22, 745. [Google Scholar] [CrossRef] [PubMed]
 - Luo, J.; Jin, H.; Li, B. The Application of Restricted Cubic Spline in Nonlinear Re-gression. Chin. J. Health Stat. 2010, 27, 229–232. [Google Scholar]
 - Zhang, X.; Yu, D.; Zou, G.; Liang, H. Optimal Model Averaging Estimation for Generalized Linear Models and Generalized Linear Mixed-Effects Models. J. Am. Stat. Assoc. 2016, 111, 1775–1790. [Google Scholar] [CrossRef]
 - Wu, S.; Jin, J.; Hu, K.-L.; Wu, Y.; Zhang, D. Prevention of Gestational Diabetes Mellitus and Gestational Weight Gain Restriction in Overweight/Obese Pregnant Women: A Systematic Review and Network Meta-Analysis. Nutrients 2022, 14, 2383. [Google Scholar] [CrossRef]
 - Ke, J.-F.; Liu, S.; Ge, R.-L.; Ma, L.; Li, M.-F. Associations of maternal pre-pregnancy BMI and gestational weight gain with the risks of adverse pregnancy outcomes in Chinese women with gestational diabetes mellitus. BMC Pregnancy Childbirth 2023, 23, 414. [Google Scholar] [CrossRef] [PubMed]
 - Shi, P.; Liu, A.; Yin, X. Association between gestational weight gain in women with gestational diabetes mellitus and adverse pregnancy outcomes: A retrospective cohort study. BMC Pregnancy Childbirth 2021, 21, 508. [Google Scholar] [CrossRef] [PubMed]
 - Vats, H.; Saxena, R.; Sachdeva, M.P.; Walia, G.K.; Gupta, V. Impact of maternal pre-pregnancy body mass index on maternal, fetal and neonatal adverse outcomes in the worldwide populations: A systematic review and meta-analysis. Obes. Res. Clin. Pract. 2021, 15, 536–545. [Google Scholar] [CrossRef] [PubMed]
 - Sun, Y.; Shen, Z.; Zhan, Y.; Wang, Y.; Ma, S.; Zhang, S.; Liu, J.; Wu, S.; Feng, Y.; Chen, Y.; et al. Effects of pre-pregnancy body mass index and gestational weight gain on maternal and infant complications. BMC Pregnancy Childbirth 2020, 20, 390. [Google Scholar] [CrossRef]
 - Kurtzhals, L.L.; Nørgaard, S.K.; Secher, A.L.; Nichum, V.L.; Ronneby, H.; Tabor, A.; McIntyre, H.D.; Damm, P.; Mathiesen, E.R. The impact of restricted gestational weight gain by dietary intervention on fetal growth in women with gestational diabetes mellitus. Diabetologia 2018, 61, 2528–2538. [Google Scholar] [CrossRef]
 - Ahmed, B.; Sultana, R.; Greene, M.W. Adipose tissue and insulin resistance in obese. Biomed. Pharmacother. 2021, 137, 111315. [Google Scholar] [CrossRef]
 - Catov, J.M.; Sun, B.; Lewis, C.E.; Bertolet, M.; Gunderson, E.P. Prepregnancy weight change associated with high gestational weight gain. Obesity 2022, 30, 524–534. [Google Scholar] [CrossRef]
 - Xu, Q.; Ge, Z.; Hu, J.; Shen, S.; Bi, Y.; Zhu, D. The association of gestational weight gain and adverse pregnancy outcomes in women with gestational diabetes mellitus. Endocr. Pract. 2019, 25, 1137–1150. [Google Scholar] [CrossRef]
 - Hong, M.; Liang, F.; Zheng, Z.; Chen, H.; Guo, Y.; Li, K.; Liu, X. Weight gain rate in the second and third trimesters and fetal growth in women with gestational diabetes mellitus: A retrospective cohort study. BMC Pregnancy Childbirth 2022, 22, 424. [Google Scholar] [CrossRef]
 - Lima Ferreira, J.; Voss, G.; Dória, M.; Couto, A.S.; Príncipe, R.M. Benefit of insufficient gestational weight gain in obese women with gestational diabetes mellitus: A multicenter study in Portugal. Diabetes Metab. Syndr. 2021, 15, 419–424. [Google Scholar] [CrossRef]
 - Yuanmei, L.; Qian, Z.; Fengsen, X.; Yankui, W. Restricted gestational weight gain in overweight/obese women with gestational diabetes mellitus and pregnancy outcomes. CEOG 2019, 46, 763–769. [Google Scholar] [CrossRef]
 - Huang, D.; Liang, M.; Xu, B.; Chen, S.; Xiao, Y.; Liu, H.; Yin, D.; Yang, J.; Wang, L.; Pan, P.; et al. The association of insufficient gestational weight gain in women with gestational diabetes mellitus with adverse infant outcomes: A case-control study. Front. Public Health 2023, 11, 1054626. [Google Scholar] [CrossRef] [PubMed]
 - Drever, H.J.J.; Davidson, S.J.J.; Callaway, L.K.K.; Sekar, R.; de Jersey, S.J.J. Factors associated with higher risk of small-for-gestational-age infants in women treated for gestational diabetes. Aust. N. Z. J. Obstet. Gynaecol. 2023. [Google Scholar] [CrossRef] [PubMed]
 - Monteiro, S.S.; Santos, T.S.; Fonseca, L.; Saraiva, M.; Pichel, F.; Pinto, C.; Pereira, M.T.T.; Vilaverde, J.; Almeida, M.C.C.; Dores, J. Inappropriate gestational weight gain impact on maternofetal outcomes in gestational diabetes. Ann. Med. 2023, 55, 207–214. [Google Scholar] [CrossRef]
 - Miao, M.; Dai, M.; Zhang, Y.; Sun, F.; Guo, X.; Sun, G. Influence of maternal overweight, obesity and gestational weight gain on the perinatal outcomes in women with gestational diabetes mellitus. Sci. Rep. 2017, 7, 305. [Google Scholar] [CrossRef]
 - Lai, M.; Weng, J.; Yang, J.; Gong, Y.; Fang, F.; Li, N.; Kang, M.; Xu, X.; Wang, Y. Effect of continuous glucose monitoring compared with self-monitoring of blood glucose in gestational diabetes patients with HbA1c < 6%: A randomized controlled trial. Front. Endocrinol. 2023, 14, 1174239. [Google Scholar]
 - Aiken, C.E.M.; Hone, L.; Murphy, H.R.; Meek, C.L. Improving outcomes in gestational diabetes: Does gestational weight gain matter? Diabet. Med. 2019, 36, 167–176. [Google Scholar] [CrossRef]
 


| Characteristic | Classification | No. (%) | 
|---|---|---|
| Age, years | 18–24 | 63 (3.24) | 
| 25–29 | 516 (26.53) | |
| 30–34 | 829 (42.62) | |
| 35–39 | 427 (21.95) | |
| 40–44 | 98 (5.04) | |
| ≥45 | 12 (0.62) | |
| Pregestational BMI, kg/m2 | 24.0–27.9 | 1597 (82.11) | 
| ≥28.0 | 348 (17.89) | |
| Gestational age at delivery,  weeks + days  | 37–37+6 | 207 (10.64) | 
| 38–38+6 | 679 (34.91) | |
| 39–39+6 | 696 (35.78) | |
| 40–40+6 | 351 (18.05) | |
| 41–41+6 | 12 (0.62) | |
| Gravidae | 1 | 546 (28.07) | 
| 2 | 515 (26.48) | |
| 3 | 397 (20.41) | |
| 4 | 250 (12.85) | |
| ≥5 | 236 (12.13) | |
| Unknown | 1 (0.05) | |
| Parity | 0 | 1019 (52.39) | 
| 1 | 845 (43.44) | |
| 2 | 75 (3.86) | |
| 3 | 4 (0.21) | |
| ≥4 | 1 (0.05) | |
| Unknown | 1 (0.05) | |
| Delivery mode | Spontaneous delivery | 703 (36.14) | 
| Cesarean section | 1242 (63.86) | 
| Variables | Below (n = 331) | Within (n = 580) | Above (n = 686) | p | 
|---|---|---|---|---|
| Age, year | 32.33 4.57 | 32.24 4.37 | 31.69 4.49 | 0.051 | 
| Gestational age, weeks | 38.61 0.91 | 38.70 0.92 | 38.62 0.92 | 0.262 | 
| Gravida, times | 2.72 1.56 | 2.61 1.62 | 2.58 1.54 | 0.294 | 
| Parity, times | 0.56 0.59 | 0.53 0.60 | 0.49 0.58 | 0.151 | 
| Family history of T2DM | 54 (16.31) | 82 (14.14) | 85 (12.39) | 0.229 | 
| OGTT fasting, mmol/L | 5.05 0.67 | 5.01 0.81 | 5.00 0.65 | 0.298 | 
| OGTT 1-h, mmol/L | 10.63 1.75 | 10.37 1.68 | 10.15 1.80 | <0.001 * | 
| OGTT 2-h, mmol/L | 9.01 1.67 | 8.64 1.73 | 8.50 1.79 | <0.001 * | 
| Insulin | 40 (12.08) | 70 (12.07) | 69 (10.06) | 0.450 | 
| Preeclampsia | 11 (3.32) | 28 (4.83) | 38 (5.54) | 0.303 | 
| Caesarean section | 197 (59.52) | 335 (54.76) | 474 (69.10) | <0.001 * | 
| Neonatal gender, male | 178 (53.78) | 294 (50.69) | 373 (54.37) | 0.399 | 
| Macrosomia | 12 (3.63) | 46 (7.93) | 81 (11.81) | <0.001 * | 
| NH | 16 (4.83) | 34 (5.86) | 56 (8.16) | 0.087 | 
| LGA | 24/348 (6.90) | 83/602 (13.79) | 136/710 (19.15) | <0.001 * | 
| SGA | 17/348 (4.89) | 22/602 (3.65) | 24/710 (3.38) | 0.477 | 
| NHB | 9 (2.72) | 20 (3.45) | 36 (5.25) | 0.102 | 
| Variables | Below (n = 56) | Within (n = 88) | Above (n = 204) | p | 
|---|---|---|---|---|
| Age, year | 31.48 4.20 | 32.34 4.67 | 31.72 4.51 | 0.400 | 
| Gestational age, weeks | 38.44 1.00 | 38.52 0.93 | 38.62 0.91 | 0.705 | 
| Gravida, times | 2.82 1.62 | 2.55 1.58 | 2.75 1.53 | 0.446 | 
| Parity, times | 0.51 0.57 | 0.52 0.55 | 0.55 0.62 | 0.926 | 
| Family history of T2DM | 6 (10.71) | 15 (17.05) | 34 (16.67) | 0.520 | 
| OGTT fasting, mmol/L | 5.16 0.58 | 5.24 0.75 | 5.11 0.58 | 0.450 | 
| OGTT 1-h, mmol/L | 10.45 1.61 | 10.50 1.93 | 10.51 1.60 | 0.830 | 
| OGTT 2-h, mmol/L | 8.52 1.73 | 8.72 1.88 | 8.57 1.55 | 0.813 | 
| Insulin | 11 (19.64) | 13 (14.77) | 31 (15.20) | 0.688 | 
| Preeclampsia | 3 (5.36) | 8 (9.09) | 28 (13.73) | 0.163 | 
| Caesarean section | 32 (57.14) | 61 (69.32) | 143 (70.10) | 0.174 | 
| Neonatal gender, male | 24 (42.86) | 42 (47.73) | 96 (47.06) | 0.828 | 
| Macrosomia | 2 (3.57) | 7 (7.95) | 29 (14.22) | 0.045 * | 
| NH | 4 (7.14) | 10 (11.36) | 17 (8.33) | 0.621 | 
| LGA | 9/61 (14.75) | 11/92 (11.96) | 52/212 (24.53) | 0.022 * | 
| SGA | 5/61 (8.20) | 4/92 (4.35) | 8/212 (3.77) | 0.197 | 
| NHB | 1 (1.79) | 4 (4.55) | 12 (5.88) | 0.213 | 
| Neonatal Birthweight | Pre-BMI and Total GWG | aOR (95% CI) | p | OR (95% CI) | p | 
|---|---|---|---|---|---|
| LGA | Excess weight for below IOM | 0.465 (0.287–0.755) | 0.002 * | 0.468 (0.291–0.753) | 0.002 * | 
| Excess weight for above IOM | 1.658 (0.812–3.517) | 0.331 | 1.340 (0.517–3.475) | 0.547 | |
| Obesity for below IOM | 1.470 (1.077–2.006) | 0.015 * | 1.481 (1.098–1.996) | 0.010 * | |
| Obesity for above IOM | 2.920 (1.331–6.406) | 0.008 * | 2.395 (1.182–4.851) | 0.015 * | |
| Macrosomia | Excess weight for below IOM | 0.444 (0.230–0.858) | 0.016 * | 0.437 (0.228–0.837) | 0.013 * | 
| Excess weight for above IOM | 1.707 (0.822–3.546) | 0.547 | 0.429 (0.086–2.141) | 0.302 | |
| Obesity for below IOM | 1.550 (1.043–2.305) | 0.030 * | 1.554 (1.063–2.273) | 0.023 * | |
| Obesity for above IOM | 2.825 (1.034–7.716) | 0.043 * | 1.918 (0.806–5.561) | 0.141 | 
Disclaimer/Publisher’s Note: The statements, opinions and data contained in all publications are solely those of the individual author(s) and contributor(s) and not of MDPI and/or the editor(s). MDPI and/or the editor(s) disclaim responsibility for any injury to people or property resulting from any ideas, methods, instructions or products referred to in the content.  | 
© 2023 by the authors. Licensee MDPI, Basel, Switzerland. This article is an open access article distributed under the terms and conditions of the Creative Commons Attribution (CC BY) license (https://creativecommons.org/licenses/by/4.0/).
Share and Cite
He, J.; Hu, K.; Wang, B.; Chen, Z.; Wang, H. Dose-Response Relationship between Gestational Weight Gain and Neonatal Birthweight in Chinese Women with Excess Weight/Obesity and Gestational Diabetes Mellitus. Healthcare 2023, 11, 2358. https://doi.org/10.3390/healthcare11162358
He J, Hu K, Wang B, Chen Z, Wang H. Dose-Response Relationship between Gestational Weight Gain and Neonatal Birthweight in Chinese Women with Excess Weight/Obesity and Gestational Diabetes Mellitus. Healthcare. 2023; 11(16):2358. https://doi.org/10.3390/healthcare11162358
Chicago/Turabian StyleHe, Jing, Kaili Hu, Binghua Wang, Zhen Chen, and Hui Wang. 2023. "Dose-Response Relationship between Gestational Weight Gain and Neonatal Birthweight in Chinese Women with Excess Weight/Obesity and Gestational Diabetes Mellitus" Healthcare 11, no. 16: 2358. https://doi.org/10.3390/healthcare11162358
APA StyleHe, J., Hu, K., Wang, B., Chen, Z., & Wang, H. (2023). Dose-Response Relationship between Gestational Weight Gain and Neonatal Birthweight in Chinese Women with Excess Weight/Obesity and Gestational Diabetes Mellitus. Healthcare, 11(16), 2358. https://doi.org/10.3390/healthcare11162358
        
