Slow Breathing Reduces Biomarkers of Stress in Response to a Virtual Reality Active Shooter Training Drill
Abstract
:1. Introduction
2. Materials and Methods
2.1. Subjects and Experimental Design
2.2. Experimental Procedures
2.3. Virtual Reality Study Procedure and Active Shooter Drill
2.4. Breathing Interventions
2.5. State-Anxiety Inventory Assessment and Heart Rate
2.6. Saliva Collection and Analysis
2.7. Statistical Analysis
3. Results
3.1. Saliva Data
3.2. SIgA
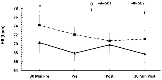
3.3. Heart Rate
3.4. State Anxiety Inventory
4. Discussion
5. Conclusions
Author Contributions
Funding
Institutional Review Board Statement
Informed Consent Statement
Data Availability Statement
Acknowledgments
Conflicts of Interest
References
- Kent, S.; Devonport, T.J.; Lane, A.M.; Nicholls, W.; Friesen, A.P. The Effects of Coping Interventions on Ability to Perform under Pressure. J. Sports Sci. Med. 2018, 17, 40–55. [Google Scholar] [PubMed]
- Brisinda, D.; Venuti, A.; Cataldi, C.; Efremov, K.; Intorno, E.; Fenici, R. Real-time imaging of stress-induced cardiac autonomic adaptation during realistic force-on-force police scenarios. J. Police Crim. Psychol. 2015, 30, 71–86. [Google Scholar] [CrossRef]
- Delaney, J.; Brodie, D. Effects of short-term psychological stress on the time and frequency domains of heart-rate variability. Percept. Mot. Ski. 2000, 91, 515–524. [Google Scholar] [CrossRef] [PubMed]
- Kreibig, S.D.; Wilhelm, F.H.; Roth, W.T.; Gross, J.J. Cardiovascular, electrodermal, and respiratory response patterns to fear-and sadness-inducing films. Psychophysiology 2007, 44, 787–806. [Google Scholar] [CrossRef] [PubMed]
- Smith, S.M.; Vale, W.W. The role of the hypothalamic-pituitary-adrenal axis in neuroendocrine responses to stress. Dialogues Clin. Neurosci. 2022, 8, 383–395. [Google Scholar] [CrossRef]
- Goldstein, D.S. Adrenal responses to stress. Cell. Mol. Neurobiol. 2010, 30, 1433–1440. [Google Scholar] [CrossRef]
- Huang, C.-J.; Webb, H.E.; Zourdos, M.C.; Acevedo, E.O. Cardiovascular reactivity, stress, and physical activity. Front. Physiol. 2013, 4, 314. [Google Scholar] [CrossRef]
- Rohleder, N. Stress and inflammation–The need to address the gap in the transition between acute and chronic stress effects. Psychoneuroendocrinology 2019, 105, 164–171. [Google Scholar] [CrossRef]
- Aschbacher, K.; O’Donovan, A.; Wolkowitz, O.M.; Dhabhar, F.S.; Su, Y.; Epel, E. Good stress, bad stress and oxidative stress: Insights from anticipatory cortisol reactivity. Psychoneuroendocrinology 2013, 38, 1698–1708. [Google Scholar] [CrossRef]
- Soteriades, E.S.; Smith, D.L.; Tsismenakis, A.J.; Baur, D.M.; Kales, S.N. Cardiovascular disease in US firefighters: A systematic review. Cardiol. Rev. 2011, 19, 202–215. [Google Scholar] [CrossRef]
- Kales, S.N.; Soteriades, E.S.; Christophi, C.A.; Christiani, D.C. Emergency duties and deaths from heart disease among firefighters in the United States. N. Engl. J. Med. 2007, 356, 1207–1215. [Google Scholar] [CrossRef]
- Zimmerman, F.H. Cardiovascular disease and risk factors in law enforcement personnel: A comprehensive review. Cardiol. Rev. 2012, 20, 159–166. [Google Scholar] [CrossRef] [PubMed]
- Hartley, T.A.; Burchfiel, C.M.; Fekedulegn, D.; Andrew, M.E.; Violanti, J.M. Health disparities in police officers: Comparisons to the U.S. general population. Int. J. Emerg. Ment. Health 2011, 13, 211–220. [Google Scholar]
- McAllister, M.J.; Martaindale, M.H.; Rentería, L.I. Active shooter training drill increases blood and salivary markers of stress. Int. J. Environ. Res. Public Health 2020, 17, 5042. [Google Scholar] [CrossRef] [PubMed]
- Groer, M.; Murphy, R.; Bunnell, W.; Salomon, K.; Van Eepoel, J.; Rankin, B.; White, K.; Bykowski, C. Salivary measures of stress and immunity in police officers engaged in simulated critical incident scenarios. J. Occup. Environ. Med. 2010, 52, 595–602. [Google Scholar] [CrossRef] [PubMed]
- McAllister, M.J.; Martaindale, M.H.; Gonzalez, A.E.; Case, M.J. Virtual Reality Based Active Shooter Training Drill Increases Salivary and Subjective Markers of Stress. Yale J. Biol. Med. 2022, 95, 105–113. [Google Scholar]
- Regehr, C.; LeBlanc, V.; Jelley, R.B.; Barath, I. Acute stress and performance in police recruits. Stress Health J. Int. Soc. Investig. Stress 2008, 24, 295–303. [Google Scholar] [CrossRef]
- Martaindale, M.H.; Sandel, W.L.; Duron, A.; McAllister, M.J. Can a Virtual Reality Training Scenario Elicit Similar Stress Response as a Realistic Scenario-Based Training Scenario? Police Q. 2023, 10986111231182729. [Google Scholar] [CrossRef]
- Maglione, M.A.; Chen, C.; Bialas, A.; Motala, A.; Chang, J.; Akinniranye, G.; Hempel, S. Stress Control for Military, Law Enforcement, and First Responders: A Systematic Review. Rand Health Q. 2022, 9, 20. [Google Scholar]
- Pallavicini, F.; Argenton, L.; Toniazzi, N.; Aceti, L.; Mantovani, F. Virtual reality applications for stress management training in the military. Aerosp. Med. Hum. Perform. 2016, 87, 1021–1030. [Google Scholar] [CrossRef]
- Critchley, H.D.; Nicotra, A.; Chiesa, P.A.; Nagai, Y.; Gray, M.A.; Minati, L.; Bernardi, L. Slow breathing and hypoxic challenge: Cardiorespiratory consequences and their central neural substrates. PLoS ONE 2015, 10, e0127082. [Google Scholar] [CrossRef] [PubMed]
- Del Negro, C.A.; Funk, G.D.; Feldman, J.L. Breathing matters. Nat. Rev. Neurosci. 2018, 19, 351–367. [Google Scholar] [CrossRef] [PubMed]
- Grossman, D.; Christensen, L.W. On Combat: The Psychology and Physiology of Deadly Conflict in War and Peace; Open Road Media: New York, NY, USA, 2022. [Google Scholar]
- Balban, M.Y.; Cafaro, E.; Saue-Fletcher, L.; Washington, M.J.; Bijanzadeh, M.; Lee, A.M.; Chang, E.F.; Huberman, A.D. Human responses to visually evoked threat. Curr. Biol. 2021, 31, 601–612.e603. [Google Scholar] [CrossRef]
- Röttger, S.; Theobald, D.A.; Abendroth, J.; Jacobsen, T. The effectiveness of combat tactical breathing as compared with prolonged exhalation. Appl. Psychophysiol. Biofeedback 2021, 46, 19–28. [Google Scholar] [CrossRef]
- Laude, D.; Goldman, M.; Escourrou, P.; Elghozi, J.L. Effect of breathing pattern on blood pressure and heart rate oscillations in humans. Clin. Exp. Pharmacol. Physiol. 1993, 20, 619–626. [Google Scholar] [CrossRef] [PubMed]
- Russo, M.A.; Santarelli, D.M.; O’Rourke, D. The physiological effects of slow breathing in the healthy human. Breathe 2017, 13, 298–309. [Google Scholar] [CrossRef]
- Cappo, B.M.; Holmes, D.S. The utility of prolonged respiratory exhalation for reducing physiological and psychological arousal in non-threatening and threatening situations. J. Psychosom. Res. 1984, 28, 265–273. [Google Scholar] [CrossRef]
- Chang, Q.; Liu, R.; Shen, Z. Effects of slow breathing rate on blood pressure and heart rate variabilities. Int. J. Cardiol. 2013, 169, e6–e8. [Google Scholar] [CrossRef]
- Zhang, P.Z.; Tapp, W.N.; Reisman, S.S.; Natelson, B.H. Respiration response curve analysis of heart rate variability. IEEE Trans. Biomed. Eng. 1997, 44, 321–325. [Google Scholar] [CrossRef]
- Dick, T.E.; Mims, J.R.; Hsieh, Y.H.; Morris, K.F.; Wehrwein, E.A. Increased cardio-respiratory coupling evoked by slow deep breathing can persist in normal humans. Respir. Physiol. Neurobiol. 2014, 204, 99–111. [Google Scholar] [CrossRef]
- Pramanik, T.; Sharma, H.O.; Mishra, S.; Mishra, A.; Prajapati, R.; Singh, S. Immediate effect of slow pace bhastrika pranayama on blood pressure and heart rate. J. Altern. Complement. Med. 2009, 15, 293–295. [Google Scholar] [CrossRef] [PubMed]
- Ben-Tal, A.; Shamailov, S.S.; Paton, J.F. Evaluating the physiological significance of respiratory sinus arrhythmia: Looking beyond ventilation-perfusion efficiency. J. Physiol. 2012, 590, 1989–2008. [Google Scholar] [CrossRef]
- Komori, T. The relaxation effect of prolonged expiratory breathing. Ment. Illn. 2018, 10, 7669. [Google Scholar] [CrossRef]
- Migliaccio, G.M.; Russo, L.; Maric, M.; Padulo, J. Sports Performance and Breathing Rate: What Is the Connection? A Narrative Review on Breathing Strategies. Sports 2023, 11, 103. [Google Scholar] [CrossRef] [PubMed]
- Laborde, S.; Zammit, N.; Iskra, M.; Mosley, E.; Borges, U.; Allen, M.S.; Javelle, F. The influence of breathing techniques on physical sport performance: A systematic review and meta-analysis. Int. Rev. Sport Exerc. Psychol. 2022, 1–56. [Google Scholar] [CrossRef]
- Bae, D.; Matthews, J.J.L.; Chen, J.J.; Mah, L. Increased exhalation to inhalation ratio during breathing enhances high-frequency heart rate variability in healthy adults. Psychophysiology 2021, 58, e13905. [Google Scholar] [CrossRef]
- Lin, I.M.; Tai, L.Y.; Fan, S.Y. Breathing at a rate of 5.5 breaths per minute with equal inhalation-to-exhalation ratio increases heart rate variability. Int. J. Psychophysiol. 2014, 91, 206–211. [Google Scholar] [CrossRef]
- Bellissimo, G.; Leslie, E.; Maestas, V.; Zuhl, M. The Effects of Fast and Slow Yoga Breathing on Cerebral and Central Hemodynamics. Int. J. Yoga 2020, 13, 207–212. [Google Scholar] [CrossRef] [PubMed]
- McAllister, M.J.; Martaindale, M.H. Women demonstrate lower markers of stress and oxidative stress during active shooter training drill. Compr. Psychoneuroendocrinol. 2021, 6, 100046. [Google Scholar] [CrossRef]
- Houtveen, J.H.; Rietveld, S.; De Geus, E.J. Contribution of tonic vagal modulation of heart rate, central respiratory drive, respiratory depth, and respiratory frequency to respiratory sinus arrhythmia during mental stress and physical exercise. Psychophysiology 2002, 39, 427–436. [Google Scholar] [CrossRef]
- Marteau, T.M.; Bekker, H. “The development of a six-item short-form of the state scale of the Spielberger State—Trait Anxiety Inventory (STAI)”: Correction. Br. J. Clin. Psychol. 2020, 59, 276. [Google Scholar] [CrossRef] [PubMed]
- Tluczek, A.; Henriques, J.B.; Brown, R.L. Support for the reliability and validity of a six-item state anxiety scale derived from the State-Trait Anxiety Inventory. J. Nurs. Meas. 2009, 17, 19. [Google Scholar] [CrossRef]
- Nattie, E. CO2, brainstem chemoreceptors and breathing. Prog. Neurobiol. 1999, 59, 299–331. [Google Scholar] [CrossRef] [PubMed]
- Jerath, R.; Edry, J.W.; Barnes, V.A.; Jerath, V. Physiology of long pranayamic breathing: Neural respiratory elements may provide a mechanism that explains how slow deep breathing shifts the autonomic nervous system. Med. Hypotheses 2006, 67, 566–571. [Google Scholar] [CrossRef]
- Paprika, D.; Gingl, Z.; Rudas, L.; Zöllei, E. Hemodynamic effects of slow breathing: Does the pattern matter beyond the rate? Acta Physiol. Hung. 2014, 101, 273–281. [Google Scholar] [CrossRef] [PubMed]
- Vadhan, J.; Tadi, P. Physiology, Herring Breuer Reflex; StatPearls Publishing: Treasure Island, FL, USA, 2023. [Google Scholar]
- Matsumoto, S.; Ikeda, M.; Nishikawa, T.; Tanimoto, T.; Yoshida, S.; Saiki, C. Inhibitory mechanism of slowly adapting pulmonary stretch receptors after release from hyperinflation in anesthetized rabbits. Life Sci. 2000, 67, 1423–1433. [Google Scholar] [CrossRef]
- Newberg, A.B.; Iversen, J. The neural basis of the complex mental task of meditation: Neurotransmitter and neurochemical considerations. Med. Hypotheses 2003, 61, 282–291. [Google Scholar] [CrossRef]
- Schumacher, S.; Kirschbaum, C.; Fydrich, T.; Ströhle, A. Is salivary alpha-amylase an indicator of autonomic nervous system dysregulations in mental disorders?—A review of preliminary findings and the interactions with cortisol. Psychoneuroendocrinology 2013, 38, 729–743. [Google Scholar] [CrossRef]
- Nater, U.M.; Rohleder, N. Salivary alpha-amylase as a non-invasive biomarker for the sympathetic nervous system: Current state of research. Psychoneuroendocrinology 2009, 34, 486–496. [Google Scholar] [CrossRef]
- Nater, U.M.; La Marca, R.; Florin, L.; Moses, A.; Langhans, W.; Koller, M.M.; Ehlert, U. Stress-induced changes in human salivary alpha-amylase activity—Associations with adrenergic activity. Psychoneuroendocrinology 2006, 31, 49–58. [Google Scholar] [CrossRef]
- Mcewen, B.S. Stress, Adaptation, and Disease: Allostasis and Allostatic Load. Ann. N. Y. Acad. Sci. 1998, 840, 33–44. [Google Scholar] [CrossRef] [PubMed]
- Jafari, A.; Pouramir, M.; Shirzad, A.; Motallebnejad, M.; Bijani, A.; Moudi, S.; Abolghasem-Zade, F.; Dastan, Z. Evaluation of salivary alpha amylase as a biomarker for dental anxiety. Iran. J. Psychiatry Behav. Sci. 2018, 12, e9350. [Google Scholar] [CrossRef]
- Antonino, D.; Teixeira, A.L.; Maia-Lopes, P.M.; Souza, M.C.; Sabino-Carvalho, J.L.; Murray, A.R.; Deuchars, J.; Vianna, L.C. Non-invasive vagus nerve stimulation acutely improves spontaneous cardiac baroreflex sensitivity in healthy young men: A randomized placebo-controlled trial. Brain Stimul. 2017, 10, 875–881. [Google Scholar] [CrossRef] [PubMed]
- Joseph, C.N.; Porta, C.; Casucci, G.; Casiraghi, N.; Maffeis, M.; Rossi, M.; Bernardi, L. Slow breathing improves arterial baroreflex sensitivity and decreases blood pressure in essential hypertension. Hypertension 2005, 46, 714–718. [Google Scholar] [CrossRef] [PubMed]
- Jalife, J.; Slenter, V.; Salata, J.J.; Michaels, D.C. Dynamic vagal control of pacemaker activity in the mammalian sinoatrial node. Circ. Res. 1983, 52, 642–656. [Google Scholar] [CrossRef]
- Giessing, L.; Frenkel, M.O.; Zinner, C.; Rummel, J.; Nieuwenhuys, A.; Kasperk, C.; Brune, M.; Engel, F.A.; Plessner, H. Effects of coping-related traits and psychophysiological stress responses on police recruits’ shooting behavior in reality-based scenarios. Front. Psychol. 2019, 10, 1523. [Google Scholar] [CrossRef]
- Bernardi, L.; Porta, C.; Spicuzza, L.; Bellwon, J.; Spadacini, G.; Frey, A.W.; Yeung, L.Y.; Sanderson, J.E.; Pedretti, R.; Tramarin, R. Slow breathing increases arterial baroreflex sensitivity in patients with chronic heart failure. Circulation 2002, 105, 143–145. [Google Scholar] [CrossRef]
- Gallagher, S.; Phillips, A.C.; Evans, P.; Der, G.; Hunt, K.; Carroll, D. Caregiving is associated with low secretion rates of immunoglobulin A in saliva. Brain Behav. Immun. 2008, 22, 565–572. [Google Scholar] [CrossRef]
- Phillips, A.C.; Carroll, D.; Evans, P.; Bosch, J.A.; Clow, A.; Hucklebridge, F.; Der, G. Stressful life events are associated with low secretion rates of immunoglobulin A in saliva in the middle aged and elderly. Brain Behav. Immun. 2006, 20, 191–197. [Google Scholar] [CrossRef]
- Ring, C.; Harrison, L.K.; Winzer, A.; Carroll, D.; Drayson, M.; Kendall, M. Secretory immunoglobulin A and cardiovascular reactions to mental arithmetic, cold pressor, and exercise: Effects of alpha-adrenergic blockade. Psychophysiology 2000, 37, 634–643. [Google Scholar] [CrossRef]
- Hucklebridge, F.; Lambert, S.; Clow, A.; Warburton, D.M.; Evans, P.D.; Sherwood, N. Modulation of secretory immunoglobulin A in saliva; response to manipulation of mood. Biol. Psychol. 2000, 53, 25–35. [Google Scholar] [CrossRef]
- Fan, Y.; Tang, Y.; Lu, Q.; Feng, S.; Yu, Q.; Sui, D.; Zhao, Q.; Ma, Y.; Li, S. Dynamic changes in salivary cortisol and secretory immunoglobulin A response to acute stress. Stress Health J. Int. Soc. Investig. Stress 2009, 25, 189–194. [Google Scholar] [CrossRef]
- Willemsen, G.; Ring, C.; McKeever, S.; Carroll, D. Secretory immunoglobulin A and cardiovascular activity during mental arithmetic: Effects of task difficulty and task order. Biol. Psychol. 2000, 52, 127–141. [Google Scholar] [CrossRef]
- Ivković, N.; Božović, Đ.; Račić, M.; Popović-Grubač, D.; Davidović, B. Biomarkers of stress in saliva. Acta Fac. Medicae Naissensis 2015, 32, 91–99. [Google Scholar] [CrossRef]
- Ring, C.; Carroll, D.; Willemsen, G.; Cooke, J.; Ferraro, A.; Drayson, M. Secretory immunoglobulin A and cardiovascular activity during mental arithmetic and paced breathing. Psychophysiology 1999, 36, 602–609. [Google Scholar] [CrossRef] [PubMed]
- Carpenter, G.H.; Garrett, J.R.; Hartley, R.H.; Proctor, G.B. The influence of nerves on the secretion of immunoglobulin A into submandibular saliva in rats. J. Physiol. 1998, 512 (Pt. 2), 567–573. [Google Scholar] [CrossRef]
- Suess, W.M.; Alexander, A.B.; Smith, D.D.; Sweeney, H.W.; Marion, R.J. The effects of psychological stress on respiration: A preliminary study of anxiety and hyperventilation. Psychophysiology 1980, 17, 535–540. [Google Scholar] [CrossRef]
- Hernando, A.; Lazaro, J.; Gil, E.; Arza, A.; Garzón, J.M.; Lopez-Anton, R.; De La Camara, C.; Laguna, P.; Aguiló, J.; Bailón, R. Inclusion of respiratory frequency information in heart rate variability analysis for stress assessment. IEEE J. Biomed. Health Inform. 2016, 20, 1016–1025. [Google Scholar] [CrossRef]
- Brugnera, A.; Zarbo, C.; Tarvainen, M.P.; Marchettini, P.; Adorni, R.; Compare, A. Heart rate variability during acute psychosocial stress: A randomized cross-over trial of verbal and non-verbal laboratory stressors. Int. J. Psychophysiol. 2018, 127, 17–25. [Google Scholar] [CrossRef]
- Sakakibara, M.; Hayano, J. Effect of slowed respiration on cardiac parasympathetic response to threat. Psychosom. Med. 1996, 58, 32–37. [Google Scholar] [CrossRef]





| Height (cm) | Mass (kg) | BMI (kg/m2) | |
|---|---|---|---|
| Slow breathing 1 | 168.8 ± 9.5 | 74.8 ± 16.0 | 26.2 ± 5.4 |
| Slow breathing 2 | 167.8 ± 12.3 | 70.9 ± 18.6 | 24.7 ± 3.6 |
Disclaimer/Publisher’s Note: The statements, opinions and data contained in all publications are solely those of the individual author(s) and contributor(s) and not of MDPI and/or the editor(s). MDPI and/or the editor(s) disclaim responsibility for any injury to people or property resulting from any ideas, methods, instructions or products referred to in the content. |
© 2023 by the authors. Licensee MDPI, Basel, Switzerland. This article is an open access article distributed under the terms and conditions of the Creative Commons Attribution (CC BY) license (https://creativecommons.org/licenses/by/4.0/).
Share and Cite
Dillard, C.C.; Martaindale, H.; Hunter, S.D.; McAllister, M.J. Slow Breathing Reduces Biomarkers of Stress in Response to a Virtual Reality Active Shooter Training Drill. Healthcare 2023, 11, 2351. https://doi.org/10.3390/healthcare11162351
Dillard CC, Martaindale H, Hunter SD, McAllister MJ. Slow Breathing Reduces Biomarkers of Stress in Response to a Virtual Reality Active Shooter Training Drill. Healthcare. 2023; 11(16):2351. https://doi.org/10.3390/healthcare11162351
Chicago/Turabian StyleDillard, Courtney C., Hunter Martaindale, Stacy D. Hunter, and Matthew J. McAllister. 2023. "Slow Breathing Reduces Biomarkers of Stress in Response to a Virtual Reality Active Shooter Training Drill" Healthcare 11, no. 16: 2351. https://doi.org/10.3390/healthcare11162351
APA StyleDillard, C. C., Martaindale, H., Hunter, S. D., & McAllister, M. J. (2023). Slow Breathing Reduces Biomarkers of Stress in Response to a Virtual Reality Active Shooter Training Drill. Healthcare, 11(16), 2351. https://doi.org/10.3390/healthcare11162351

