Protocol for Community-Based Exercise Training after Discharge from Hospital-Based Stroke Rehabilitation: A Multicenter, Randomized, Parallel-Group, Double-Blind Controlled Pilot and Feasibility Trial
Abstract
1. Introduction
2. Materials and Methods
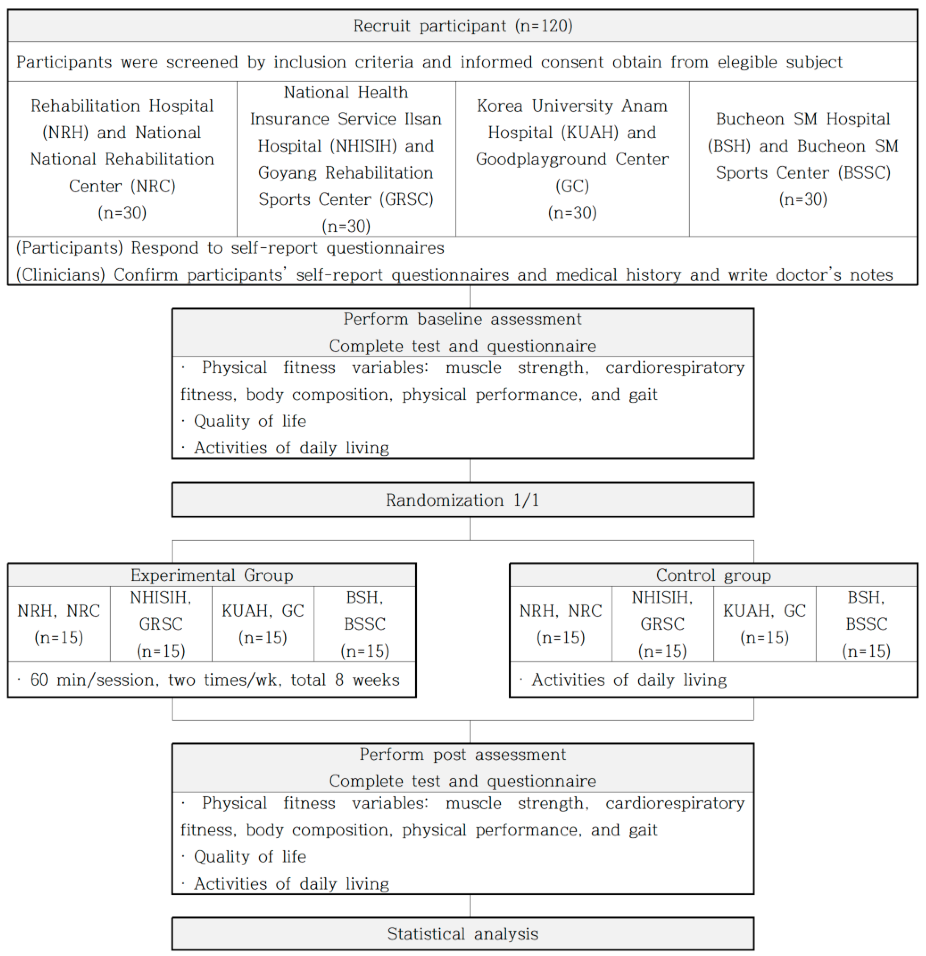
2.1. Study Design and Setting
2.2. Participants
2.3. Randomization of the Participants
2.4. Intervention Protocol/Procedure
2.5. Exercise Trainers and Training
2.6. Intervention
2.7. Outcomes
2.7.1. Muscle Strength—Isokinetic Muscle Strength
2.7.2. Muscle Strength—Grip Strength
2.7.3. Cardiorespiratory Fitness—Peak Oxygen Consumption
2.7.4. Body Composition—Whole-Body Dual-Energy X-ray Absorptiometry
2.7.5. Body Composition—Bioelectrical Impedance Analysis
2.7.6. Physical Performance—Short Physical Performance Battery
2.7.7. Static Balance—Berg Balance Scale
2.7.8. Dynamic Balance—Timed up and Go
2.7.9. Gait—10 m Walk Test
2.7.10. Secondary Outcomes
2.8. Participant Timeline
2.9. Blinding
2.10. Data Collection Methods
2.11. Data Management and Statistical Analysis
3. Discussion
4. Conclusions
Author Contributions
Funding
Institutional Review Board Statement
Informed Consent Statement
Data Availability Statement
Acknowledgments
Conflicts of Interest
References
- Huang, P.; Chen, C.H.; Lin, W.C.; Lin, R.T.; Khor, G.T.; Liu, C.K. Clinical applications of susceptibility weighted imaging in patients with major stroke. J. Neurol. 2012, 259, 1426–1432. [Google Scholar] [CrossRef] [PubMed]
- Katan, M.; Luft, A. Global burden of stroke. Semin. Neurol. Proc. Semin. Neurol. 2018, 38, 208–211. [Google Scholar] [CrossRef]
- Feigin, V.L.; Forouzanfar, M.H.; Krishnamurthi, R.; Mensah, G.A.; Connor, M.; Bennett, D.A.; Moran, A.E.; Sacco, R.L.; Anderson, L.; Truelsen, T.; et al. Global and regional burden of stroke during 1990–2010: Findings from the Global Burden of Disease Study 2010. Lancet 2014, 383, 245–254. [Google Scholar] [CrossRef] [PubMed]
- Statistics Korea. Statistical Report by Cause of Death in 2017. 2018. Available online: kostat.go.kr/portal/eng/pressReleases/8/10/index.board?bmode=read&bSeq=&aSeq=371140&pageno=1&rownum=10&navCount=10&currPg=&searchInfo=&sTarget=title&sTxt= (accessed on 17 December 2021).
- Lee, S.J.; Lee, E.C.; Kim, M.; Ko, S.H.; Huh, S.; Choi, W.; Shin, Y.I.; Min, J.H. Feasibility of dance therapy using telerehabilitation on trunk control and balance training in patients with stroke: A pilot study. Medicine 2022, 101, e30286. [Google Scholar] [CrossRef] [PubMed]
- Alvarez-Sabín, J.; Quintana, M.; Masjuan, J.; Oliva-Moreno, J.; Mar, J.; Gonzalez-Rojas, N.; Becerra, V.; Torres, C.; Yebenes, M.; CONOCES Investigators Group. Economic impact of patients admitted to stroke units in Spain. Eur. J. Health Econ. 2017, 18, 449–458. [Google Scholar] [CrossRef]
- Go, A.S.; Mozaffarian, D.; Roger, V.L.; Benjamin, E.J.; Berry, J.D.; Borden, W.B.; Bravata, D.M.; Dai, S.; Ford, E.S.; Fox, C.S.; et al. Heart disease and stroke statistics—2013 update: A report from the American Heart Association. Circulation 2013, 127, e6–e245. [Google Scholar] [CrossRef]
- Choi, H.L.; Yang, K.; Han, K.; Kim, B.; Chang, W.H.; Kwon, S.; Jung, W.; Yoo, J.E.; Jeon, H.J.; Shin, D.W.; et al. Increased risk of developing depression in disability after stroke: A Korean nationwide study. Int. J. Environ. Res. Public Health 2023, 20, 842. [Google Scholar] [CrossRef]
- Van Mierlo, M.L.; Van Heugten, C.M.; Post, M.W.; Hajós, T.R.; Kappelle, L.J.; Visser-Meily, J.M. Quality of life during the first two years post stroke: The Restore4Stroke cohort study. Cerebrovasc. Dis. 2016, 41, 19–26. [Google Scholar] [CrossRef]
- English, C.; McLennan, H.; Thoirs, K.; Coates, A.; Bernhardt, J. Loss of skeletal muscle mass after stroke: A systematic review. Int. J. Stroke 2010, 5, 395–402. [Google Scholar] [CrossRef]
- Flansbjer, U.B.; Downham, D.; Lexell, J. Knee muscle strength, gait performance, and perceived participation after stroke. Arch. Phys. Med. Rehabil. 2006, 87, 974–980. [Google Scholar] [CrossRef]
- Ivey, F.M.; Macko, R.F.; Ryan, A.S.; Hafer-Macko, C.E. Cardiovascular health and fitness after stroke. Top. Stroke Rehabil. 2005, 12, 1–16. [Google Scholar] [CrossRef] [PubMed]
- Spahillari, A.; Mukamal, K.J.; DeFilippi, C.; Kizer, J.R.; Gottdiener, J.S.; Djoussé, L.; Lyles, M.F.; Bartz, T.M.; Murthy, V.L.; Shah, R.V.; et al. The association of lean and fat mass with all-cause mortality in older adults: The cardiovascular Health Study. Nutr. Metab. Cardiovasc. Dis. 2016, 26, 1039–1047. [Google Scholar] [CrossRef] [PubMed]
- Srikanthan, P.; Horwich, T.B.; Tseng, C.H. Relation of muscle mass and fat mass to cardiovascular disease mortality. Am. J. Cardiol. 2016, 117, 1355–1360. [Google Scholar] [CrossRef]
- Artero, E.G.; Lee, D.C.; Ruiz, J.R.; Sui, X.; Ortega, F.B.; Church, T.S.; Lavie, C.J.; Castillo, M.J.; Blair, S.N.; Castillo, M.J.; et al. A prospective study of muscular strength and all-cause mortality in men with hypertension. J. Am. Coll. Cardiol. 2011, 57, 1831–1837. [Google Scholar] [CrossRef] [PubMed]
- FitzGerald, S.J.; Barlow, C.E.; Kampert, J.B.; Morrow, J.R.; Jackson, A.W.; Blair, S.N. Muscular fitness and all-cause mortality: Prospective observations. J. Phys. Act. Health 2004, 1, 7–18. [Google Scholar] [CrossRef]
- Ruiz, J.R.; Sui, X.; Lobelo, F.; Morrow, J.R.; Jackson, A.W.; Sjöström, M.; Blair, S.N. Association between muscular strength and mortality in men: Prospective cohort study. BMJ 2008, 337, a439. [Google Scholar] [CrossRef] [PubMed]
- Swallow, E.B.; Reyes, D.; Hopkinson, N.S.; Man, W.D.; Porcher, R.; Cetti, E.J.; Moore, A.J.; Moxham, J.; Polkey, M.I.; Moxham, J.; et al. Quadriceps strength predicts mortality in patients with moderate to severe chronic obstructive pulmonary disease. Thorax 2007, 62, 115–120. [Google Scholar] [CrossRef]
- Blair, S.N.; Kohl, H.W.; Barlow, C.E.; Paffenbarger, R.S.; Gibbons, L.W.; Macera, C.A. Changes in physical fitness and all-cause mortality: A prospective study of healthy and unhealthy men. JAMA 1995, 273, 1093–1098. [Google Scholar] [CrossRef]
- Kavanagh, T.; Mertens, D.J.; Hamm, L.F.; Beyene, J.; Kennedy, J.; Corey, P.; Shephard, R.J. Prediction of long-term prognosis in 12 169 men referred for cardiac rehabilitation. Circulation 2002, 106, 666–671. [Google Scholar] [CrossRef]
- Myers, J.; Prakash, M.; Froelicher, V.; Do, D.; Partington, S.; Atwood, J.E. Exercise capacity and mortality among men referred for exercise testing. N. Engl. J. Med. 2002, 346, 793–801. [Google Scholar] [CrossRef]
- Laukkanen, J.A.; Kurl, S.; Salonen, R.; Rauramaa, R.; Salonen, J.T. The predictive value of cardiorespiratory fitness for cardiovascular events in men with various risk profiles: A prospective population-based cohort study. Eur. Heart J. 2004, 25, 1428–1437. [Google Scholar] [CrossRef] [PubMed]
- Kodama, S.; Saito, K.; Tanaka, S.; Maki, M.; Yachi, Y.; Asumi, M.; Sugawara, A.; Totsuka, K.; Shimano, H.; Ohashi, Y.; et al. Cardiorespiratory fitness as a quantitative predictor of all-cause mortality and cardiovascular events in healthy men and women: A meta-analysis. JAMA 2009, 301, 2024–2035. [Google Scholar] [CrossRef] [PubMed]
- Kurl, S.; Laukkanen, J.A.; Rauramaa, R.; Lakka, T.A.; Sivenius, J.; Salonen, J.T. Cardiorespiratory fitness and the risk for stroke in men. Arch. Intern. Med. 2003, 163, 1682–1688. [Google Scholar] [CrossRef] [PubMed]
- Lee, C.D.; Blair, S.N. Cardiorespiratory fitness and stroke mortality in men. Med. Sci. Sports Exerc. 2002, 34, 592–595. [Google Scholar] [CrossRef]
- Lee, J.; Stone, A.J. Combined aerobic and resistance training for cardiorespiratory fitness, muscle strength, and walking capacity after stroke: A systematic review and meta-analysis. J. Stroke Cerebrovasc. Dis. 2020, 29, 104498. [Google Scholar] [CrossRef]
- Marzolini, S.; Brooks, D.; Oh, P.; Jagroop, D.; MacIntosh, B.J.; Anderson, N.D.; Alter, D.; Corbett, D.; Corbett, D. Aerobic with resistance training or aerobic training alone poststroke: A secondary analysis from a randomized clinical trial. Neurorehab. Neural Repair. 2018, 32, 209–222. [Google Scholar] [CrossRef]
- Physical Activity Guidelines Advisory Committee. Physical Activity Guidelines Advisory Committee Report; United States Department of Health and Human Services: Washington, DC, USA, 2008.
- Gebruers, N.; Vanroy, C.; Truijen, S.; Engelborghs, S.; De Deyn, P.P. Monitoring of physical activity after stroke: A systematic review of accelerometry-based measures. Arch. Phys. Med. Rehabil. 2010, 91, 288–297. [Google Scholar] [CrossRef]
- Langhorne, P.; Bernhardt, J.; Kwakkel, G. Stroke rehabilitation. Lancet 2011, 377, 1693–1702. [Google Scholar] [CrossRef]
- French, B.; Thomas, L.H.; Leathley, M.J.; Sutton, C.J.; McAdam, J.; Forster, A.; Langhorne, P.; Price, C.; Walker, A.; Watkins, C.L.; et al. Does repetitive task training improve functional activity after stroke? A Cochrane systematic review and meta-analysis. J. Rehabil. Med. 2010, 42, 9–14. [Google Scholar] [CrossRef]
- Galvin, R.; Murphy, B.; Cusack, T.; Stokes, E. The impact of increased duration of exercise therapy on functional recovery following stroke—What is the evidence? Top. Stroke Rehabil. 2008, 15, 365–377. [Google Scholar] [CrossRef]
- Kwakkel, G.; van Peppen, R.; Wagenaar, R.C.; Wood Dauphinee, S.; Richards, C.; Ashburn, A.; Miller, K.; Lincoln, N.; Partridge, C.; Wellwood, I.; et al. Effects of augmented exercise therapy time after stroke: A meta-analysis. Stroke 2004, 35, 2529–2539. [Google Scholar] [CrossRef] [PubMed]
- Kwakkel, G. Impact of intensity of practice after stroke: Issues for consideration. Disabil. Rehabil. 2006, 28, 823–830. [Google Scholar] [CrossRef] [PubMed]
- Veerbeek, J.M.; Koolstra, M.; Ket, J.C.; van Wegen, E.E.; Kwakkel, G. Effects of augmented exercise therapy on outcome of gait and gait-related activities in the first 6 months after stroke: A meta-analysis. Stroke 2011, 42, 3311–3315. [Google Scholar] [CrossRef]
- Lohse, K.R.; Lang, C.E.; Boyd, L.A. Is more better? Using metadata to explore dose-response relationships in stroke rehabilitation. Stroke 2014, 45, 2053–2058. [Google Scholar] [CrossRef]
- Pogrebnoy, D.; Dennett, A. Exercise programs delivered according to guidelines improve mobility in people with stroke: A systematic review and meta-analysis. Arch. Phys. Med. Rehabil. 2020, 101, 154–165. [Google Scholar] [CrossRef]
- Macko, R.F.; Ivey, F.M.; Forrester, L.W.; Hanley, D.; Sorkin, J.D.; Katzel, L.I.; Silver, K.H.; Goldberg, A.P.; Goldberg, A.P. Treadmill exercise rehabilitation improves ambulatory function and cardiovascular fitness in patients with chronic stroke: A randomized, controlled trial. Stroke 2005, 36, 2206–2211. [Google Scholar] [CrossRef]
- Marzolini, S.; Oh, P.I.; Brooks, D. Effect of combined aerobic and resistance training versus aerobic training alone in individuals with coronary artery disease: A meta-analysis. Eur. J. Prev. Cardiol. 2012, 19, 81–94. [Google Scholar] [CrossRef]
- Marzolini, S.; Oh, P.I.; Thomas, S.G.; Goodman, J.M. Aerobic and resistance training in coronary disease: Single versus multiple sets. Med. Sci. Sports Exerc. 2008, 40, 1557–1564. [Google Scholar] [CrossRef] [PubMed]
- Morris, S.L.; Dodd, K.J.; Morris, M.E. Outcomes of progressive resistance strength training following stroke: A systematic review. Clin. Rehabil. 2004, 18, 27–39. [Google Scholar] [CrossRef]
- Gordon, N.F.; Gulanick, M.; Costa, F.; Fletcher, G.; Franklin, B.A.; Roth, E.J.; Shephard, T. Physical Activity and Exercise Recommendations for Stroke Survivors. Circulation 2004, 109, 2031–2041. [Google Scholar] [CrossRef]
- Bernhardt, J.; Dewey, H.; Thrift, A.; Donnan, G. Inactive and alone: Physical activity within the first 14 days of acute stroke unit care. Stroke 2004, 35, 1005–1009. [Google Scholar] [CrossRef] [PubMed]
- Smith, P.; Galea, M.; Woodward, M.; Said, C.; Dorevitch, M. Physical activity by elderly patients undergoing inpatient rehabilitation is low: An observational study. Aust. J. Physiother. 2008, 54, 209–213. [Google Scholar] [CrossRef]
- West, T.; Bernhardt, J. Physical activity in hospitalised stroke patients. Stroke Res. Treat. 2012, 2012, 813765. [Google Scholar] [CrossRef] [PubMed]
- Otterman, N.M.; van der Wees, P.J.; Bernhardt, J.; Kwakkel, G. Physical therapists’ guideline adherence on early mobilization and intensity of practice at Dutch acute stroke units: A country-wide survey. Stroke 2012, 43, 2395–2401. [Google Scholar] [CrossRef] [PubMed]
- Chan, A.W.; Tetzlaff, J.M.; Altman, D.G.; Laupacis, A.; Gøtzsche, P.C.; Krleža-Jerić, K.; Hróbjartsson, A.; Mann, H.; Dickersin, K.; Berlin, J.A.; et al. SPIRIT 2013 statement: Defining standard protocol items for clinical trials. Ann. Intern. Med. 2013, 158, 200–207. [Google Scholar] [CrossRef] [PubMed]
- Borg, G. Perceived exertion as an indicator of somatic stress. Scand. J. Rehabil. Med. 1970, 2, 92–98. [Google Scholar] [CrossRef]
- Colado, J.C.; Garcia-Masso, X.; Triplett, N.T.; Calatayud, J.; Flandez, J.; Behm, D.; Rogers, M.E. Construct and concurrent validation of a new resistance intensity scale for exercise with thera-band® elastic bands. J. Sports Sci. Med. 2014, 13, 758–766. [Google Scholar]
- Kang, D.; Park, J.; Jeong, I.; Eun, S.D. Comparing the effects of multicomponent exercise with or without power training on the cardiorespiratory fitness, physical function, and muscular strength of patients with stroke: A randomized controlled trial. J. Sports Med. Phys. Fit. 2021, 62, 722–731. [Google Scholar] [CrossRef]
- Yoon, D.H.; Kang, D.; Kim, H.J.; Kim, J.S.; Song, H.S.; Song, W. Effect of elastic band-based high-speed power training on cognitive function, physical performance, and muscle strength in older women with mild cognitive impairment. Geriatr. Gerontol. Int. 2017, 17, 765–772. [Google Scholar] [CrossRef]
- Kim, H.J.; So, B.; Choi, M.; Kang, D.; Song, W. Resistance exercise training increases the expression of irisin concomitant with improvement of muscle function in aging mice and humans. Exp. Gerontol. 2015, 70, 11–17. [Google Scholar] [CrossRef]
- Bertrand, A.M.; Mercier, C.; Bourbonnais, D.; Desrosiers, J.; Gravel, D. Reliability of maximal static strength measurements of the arms in subjects with hemiparesis. Clin. Rehabil. 2007, 21, 248–257. [Google Scholar] [CrossRef]
- Boissy, P.; Bourbonnais, D.; Carlotti, M.M.; Gravel, D.; Arsenault, B.A. Maximal grip force in chronic stroke subjects and its relationship to global upper extremity function. Clin. Rehabil. 1999, 13, 354–362. [Google Scholar] [CrossRef] [PubMed]
- American College of Sports Medicine. acSM’s Guidelines for Exercise Testing and Prescription, 10th ed.; Wolters Kluwer: Riverwoods, IL, USA, 2018. [Google Scholar]
- Pang, M.Y.; Eng, J.J.; Dawson, A.S.; McKay, H.A.; Harris, J.E. A community-based fitness and mobility exercise program for older adults with chronic stroke: A randomized, controlled trial. J. Am. Geriatr. Soc. 2005, 53, 1667–1674. [Google Scholar] [CrossRef]
- Guralnik, J.M.; Ferrucci, L.; Simonsick, E.M.; Salive, M.E.; Wallace, R.B. Lower-extremity function in persons over the age of 70 years as a predictor of subsequent disability. N. Engl. J. Med. 1995, 332, 556–561. [Google Scholar] [CrossRef] [PubMed]
- Downs, S. The Berg balance scale. J. Physiother. 2015, 61, 46. [Google Scholar] [CrossRef]
- Chan, P.P.; Si Tou, J.I.; Tse, M.M.; Ng, S.S. Reliability and validity of the timed up and go test with a motor task in people with chronic stroke. Arch. Phys. Med. Rehabil. 2017, 98, 2213–2220. [Google Scholar] [CrossRef] [PubMed]
- Flansbjer, U.B.; Holmbäck, A.M.; Downham, D.; Patten, C.; Lexell, J. Reliability of gait performance tests in men and women with hemiparesis after stroke. J. Rehabil. Med. 2005, 37, 75–82. [Google Scholar] [CrossRef]
- Perera, S.; Mody, S.H.; Woodman, R.C.; Studenski, S.A. Meaningful change and responsiveness in common physical performance measures in older adults. J. Am. Geriatr. Soc. 2006, 54, 743–749. [Google Scholar] [CrossRef]
- Dolan, P. Modeling valuations for EuroQol health states. Med. Care 1997, 35, 1095–1108. [Google Scholar] [CrossRef]
- Collin, C.; Wade, D.T.; Davies, S.; Horne, V. The Barthel ADL Index: A reliability study. Int. Disabil. Stud. 1988, 10, 61–63. [Google Scholar] [CrossRef]
- Faul, F.; Erdfelder, E.; Lang, A.G.; Buchner, A. G*Power 3: A flexible statistical power analysis program for the social, behavioral, and biomedical sciences. Behav. Res. Methods 2007, 39, 175–191. [Google Scholar] [CrossRef] [PubMed]
- Health Quality Ontario; Ministry of Health and Long-Term Care. Quality-Based Procedures: Clinical Handbook for Stroke (Acute and Postacute); Health Quality Ontario: Toronto, ON, Canada, 2016.
- Kostka, J.; Niwald, M.; Guligowska, A.; Kostka, T.; Miller, E. Muscle power, contraction velocity and functional performance after stroke. Brain Behav. 2019, 9, e01243. [Google Scholar] [CrossRef] [PubMed]
- Sharp, S.A.; Brouwer, B.J. Isokinetic strength training of the hemiparetic knee: Effects on function and spasticity. Arch. Phys. Med. Rehabil. 1997, 78, 1231–1236. [Google Scholar] [CrossRef] [PubMed]
- Kostka, J.; Czernicki, J.; Pruszyńska, M.; Miller, E. Strength of knee flexors of the paretic limb as an important determinant of functional status in post-stroke rehabilitation. Neurol Neurochir. Pol. 2017, 51, 227–233. [Google Scholar] [CrossRef]
- Mandic, S.; Tymchak, W.; Kim, D.; Daub, B.; Quinney, H.A.; Taylor, D.; Al-Kurtass, S.; Haykowsky, M.J. Effects of aerobic or aerobic and resistance training on cardiorespiratory and skeletal muscle function in heart failure: A randomized controlled pilot trial. Clin. Rehabil. 2009, 23, 207–216. [Google Scholar] [CrossRef]
- Brogårdh, C.; Lexell, J. Effects of cardiorespiratory fitness and muscle-resistance training after stroke. PM&R 2012, 4, 901–907, quiz 907. [Google Scholar] [CrossRef]
- Liu, M.; Tsuji, T.; Hase, K.; Hara, Y.; Fujiwara, T. Physical fitness in persons with hemiparetic stroke. Keio J. Med. 2003, 52, 211–219. [Google Scholar] [CrossRef] [PubMed]
- Saunders, D.H.; Sanderson, M.; Hayes, S.; Kilrane, M.; Greig, C.A.; Brazzelli, M.; Mead, G.E. Physical fitness training for stroke patients. Cochrane Database Syst. Rev. 2016, 3, CD003316. [Google Scholar] [CrossRef] [PubMed]
- Kang, D.; Park, J.; Park, H.; Kim, S.J.; Lee, H.J.; Eun, S.D. Effects of a multimodal exercise program on muscle strength, physical performance, and cardiopulmonary endurance in patients with stroke: A randomized controlled pilot study. Med. Dello Sport 2020, 73, 312–326. [Google Scholar] [CrossRef]

| Warm-Up (10 min) | Main Exercise (40 min) | Cool-Down (5 min) | |||
|---|---|---|---|---|---|
| Aerobic | Flexibility | Resistance | Aerobic | Cardiovascular | Flexibility |
| Walking | Static/Dynamic Stretching | Lower Body | Jumping Jack High Knee Sidestep Front step Backstep Knee up Pogo jump | Walking | Static/Dynamic Stretching |
| Squat Lunge Bridge | |||||
| Trunk | |||||
| Leg Raise Reverse Crunch Sit-up Crunch Back Extension Superman Position Deadlift | |||||
| Upper Body | |||||
| Chest Press Back Row Shoulder Press Biceps Curl Triceps Extension | |||||
| Outcome Domain | Measures Instrument | T0 | T1 |
|---|---|---|---|
| Sociodemographic and descriptive data | Ad hoc questionnaire | X | |
| Primary outcomes | |||
| Muscle strength (Lower and upper extremities) | Isokinetic muscle strength | X | X |
| Grip strength | X | X | |
| Cardiorespiratory fitness | VO2peak | X | X |
| 6MWT | |||
| Body composition | Whole-body DEXA | X | X |
| BIA | X | X | |
| Physical performance | SPPB | X | X |
| Static balance | BBS | X | X |
| Dynamic balance and gait | TUG | X | X |
| 10 m walk test | X | X | |
| Secondary outcomes | |||
| Quality of life | EQ-5D | X | X |
| Activities of daily living | Barthel index | X | X |
| Adverse effects | Open questions |
| Study Period | ||||
|---|---|---|---|---|
| Enrollment | Allocation | Post-Allocation | Closeout | |
| Time point, baseline | t | 0 | T16 | tx |
| Enrollment | ||||
| Eligibility screening | X | |||
| Informed consent | X | |||
| (Participant) Self-report questionnaires | X | |||
| (Clinicians) Confirm participants’ self-report questionnaires and medical history and write doctor’s notes | X | |||
| Allocation | X | |||
| Assessments | ||||
| Baseline variables | X | |||
| Post-intervention variables | X | X | ||
| Intervention | ||||
| Experimental group | X | X | ||
| Self-reported questionnaire data | Age | Years |
| Sex | Male/female | |
| Diagnosis | Hemorrhagic/ischemic | |
| Hypertension | Yes/no | |
| Anemia | Yes/no | |
| Dyspnea or Asthma | Yes/no | |
| Orthostatic hypotension | Yes/no | |
| Diabetes | Yes/no | |
| Medications for heart disease | Yes/no | |
| Coronary stent | Yes/no | |
| Epilepsy | Yes/no | |
| Medications for anticoagulant | Yes/no | |
| Medications for depression | Yes/no | |
| Acute low back pain within 4 weeks | Yes/no | |
| Walking due to joint pain | Yes/no | |
| Medications for osteoporosis | Yes/no | |
| Spine, hip, or femur fractures due to osteoporosis | Yes/no | |
| Hip or femur fractures due to falls | Yes/no | |
| Sociodemographic and descriptive data | Blood pressure | mmHg |
| Height | cm | |
| Weight | kg | |
| Body mass index | Underweight/normal weight/overweight | |
| Number of cigarettes per day | Number | |
| Number of drinks per day | Number | |
| Days of discharge from the hospital | Number of days |
Disclaimer/Publisher’s Note: The statements, opinions and data contained in all publications are solely those of the individual author(s) and contributor(s) and not of MDPI and/or the editor(s). MDPI and/or the editor(s) disclaim responsibility for any injury to people or property resulting from any ideas, methods, instructions or products referred to in the content. |
© 2023 by the authors. Licensee MDPI, Basel, Switzerland. This article is an open access article distributed under the terms and conditions of the Creative Commons Attribution (CC BY) license (https://creativecommons.org/licenses/by/4.0/).
Share and Cite
Kang, D.; Park, J.; Eun, S.-D. Protocol for Community-Based Exercise Training after Discharge from Hospital-Based Stroke Rehabilitation: A Multicenter, Randomized, Parallel-Group, Double-Blind Controlled Pilot and Feasibility Trial. Healthcare 2023, 11, 2275. https://doi.org/10.3390/healthcare11162275
Kang D, Park J, Eun S-D. Protocol for Community-Based Exercise Training after Discharge from Hospital-Based Stroke Rehabilitation: A Multicenter, Randomized, Parallel-Group, Double-Blind Controlled Pilot and Feasibility Trial. Healthcare. 2023; 11(16):2275. https://doi.org/10.3390/healthcare11162275
Chicago/Turabian StyleKang, Dongheon, Jiyoung Park, and Seon-Deok Eun. 2023. "Protocol for Community-Based Exercise Training after Discharge from Hospital-Based Stroke Rehabilitation: A Multicenter, Randomized, Parallel-Group, Double-Blind Controlled Pilot and Feasibility Trial" Healthcare 11, no. 16: 2275. https://doi.org/10.3390/healthcare11162275
APA StyleKang, D., Park, J., & Eun, S.-D. (2023). Protocol for Community-Based Exercise Training after Discharge from Hospital-Based Stroke Rehabilitation: A Multicenter, Randomized, Parallel-Group, Double-Blind Controlled Pilot and Feasibility Trial. Healthcare, 11(16), 2275. https://doi.org/10.3390/healthcare11162275

