Evaluation of the Early Intervention Physiotherapist Framework for Injured Workers in Victoria, Australia: Data Analysis Follow-Up
Abstract
1. Introduction
1.1. Aims
- Specifically, the type and number of services as well as the frequency of claims.
- Specifically, any difference between the time taken from the injury date to the RTW date, adjusting for explanatory variables (age, gender, type of injury, and occupation) as required.
1.2. Definitions
- EIPF—Early Intervention Physiotherapy Framework program (the intervention)
- EP—Physiotherapists who completed the EIPF program
- RP—Regular physiotherapists who did not complete the EIPF program
- WSV—WorkSafe Victoria.
2. Materials and Methods
2.1. Data
- Claims that had at least one day of wage compensation payment (standard time loss claims) with the injury date on or after the first of January 2010,
- Claims that had physiotherapy services provided either by EP or RP,
- Claims that had their initial physiotherapy consultation on or after the first of August 2014,
- If claims resulted in RTW, only claims with RTW on or after the date of initial consultation were included.
2.2. Outcomes
2.3. Analysis
3. Results
3.1. Descriptive Statistics
3.1.1. Description of Dataset
3.1.2. Services and Claims
3.1.3. Time to Achieving RTW
3.1.4. Proportion Achieving RTW
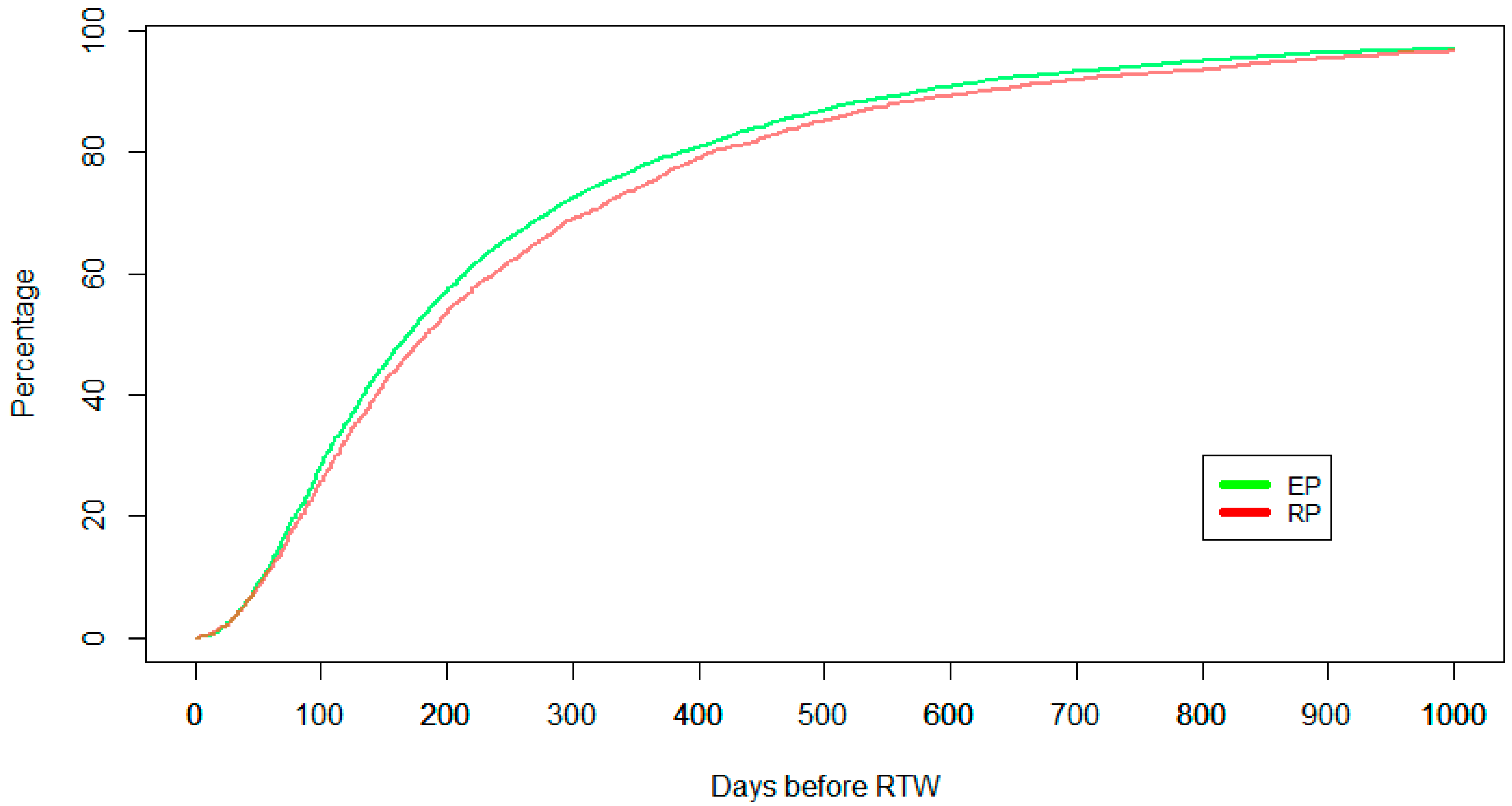
3.2. Survival Analysis
3.3. Regression Analysis
3.3.1. Univariate Analysis
3.3.2. Multivariate Analysis
4. Discussion
- Physiotherapists in the EP group visited more WSV clients per physiotherapist (average of 10.2 claims) than those in the RP group (average of 4.6 claims) over the three-year period.
- Injured workers returned to work on average 25 days sooner when treated by EP compared with RP. This could be a direct result of EIPF by motivating physiotherapists (EP group) for earlier post-injury intervention.
- Survival analysis showed that the clients of the EP group returned to work significantly faster than the RP group. After two years, this difference became statistically significant, as shown by the log-rank test, confirming the necessity of a three-year follow-up analysis such as that performed in this study.
- The time to return to work was significantly associated with age and injury type in both physiotherapy groups. Younger injured workers (between 15 and 24 years old) with fractures had returned to work faster, and the injured workers between 45 and 54 years old with musculoskeletal injuries had taken more time to get back to work.
- After adjusting age and injury type variables, injured workers in the EP group still returned to work significantly faster than those treated in the RP group (by 21 days). These results show that the difference between these two groups was substantially associated with the early intervention by EP physiotherapists post-injury.
Strengths and Limitations
5. Conclusions
Author Contributions
Funding
Institutional Review Board Statement
Informed Consent Statement
Data Availability Statement
Acknowledgments
Conflicts of Interest
References
- Berecki-Gisolf, J.; Collie, A.; McClure, R.J. Determinants of physical therapy use by compensated workers with musculoskeletal disorders. J. Occup. Rehabil. 2013, 23, 63–73. [Google Scholar] [PubMed]
- Centre, T.S.R. Return to Work Survey—2016 (Australia and New Zealand). 2016. Available online: https://www.safeworkaustralia.gov.au/system/files/documents/1703/return-to-work-survey-2016-summary-research-report_0.pdf (accessed on 1 January 2023).
- Park, J.; Roberts, M.R.; Esmail, S.; Rayani, F.; Norris, C.M.; Gross, D.P. Validation of the readiness for return-to-work scale in outpatient occupational rehabilitation in Canada. J. Occup. Rehabil. 2018, 28, 332–345. [Google Scholar] [CrossRef] [PubMed]
- Pransky, G.; Gatchel, R.; Linton, S.J.; Loisel, P. Improving return to work research. J. Occup. Rehabil. 2005, 15, 453–457. [Google Scholar] [CrossRef] [PubMed]
- Khorshidi, H.A.; Haffari, G.; Aickelin, U.; Hassani-Mahmooei, B. Early identification of undesirable outcomes for transport accident injured patients using semi-supervised clustering. Stud. Health Technol. Inform. 2019, 266, 1–6. [Google Scholar] [PubMed]
- Nicholas, M.K.; Costa, D.S.J.; Linton, S.J.; Main, C.J.; Shaw, W.S.; Pearce, G.; Gleeson, M.; Pinto, R.Z.; Blyth, F.M.; McAuley, J.H.; et al. Implementation of Early Intervention Protocol in Australia for ‘High Risk’ Injured Workers is Associated with Fewer Lost Work Days over 2 Years Than Usual (Stepped) Care. J. Occup. Rehabil. 2020, 30, 93–104. [Google Scholar] [CrossRef] [PubMed]
- Association, A.P. The Physiotherapists’ Role in Occupational Rehabilitation. 2012. Available online: https://www.physiotherapy.asn.au/DocumentsFolder/APAWCM/Advocacy/PositionStatement_2017_Thephysiotherapist%E2%80%99s_role_occ_rehabilitation.pdf (accessed on 1 January 2023).
- Donovan, M.; Khan, A.; Johnston, V. The Contribution of Onsite Physiotherapy to an Integrated Model for Managing Work Injuries: A Follow Up Study. J. Occup. Rehabil. 2021, 31, 207–218. [Google Scholar] [CrossRef] [PubMed]
- St-Georges, M.; Hutting, N.; Hudon, A. Competencies for Physiotherapists Working to Facilitate Rehabilitation, Work Participation and Return to Work for Workers with Musculoskeletal Disorders: A Scoping Review. J. Occup. Rehabil. 2022, 32, 637–651. [Google Scholar] [CrossRef] [PubMed]
- Campbell, P.; Pope, R.; Simas, V.; Canetti, E.; Schram, B.; Orr, R. The Effects of Early Physiotherapy Treatment on Musculoskeletal Injury Outcomes in Military Personnel: A Narrative Review. Int. J. Environ. Res. Public Health 2022, 19, 13416. [Google Scholar] [CrossRef] [PubMed]
- Victoria, W. Early Intervention Physiotherapy Framework (EIPF). 2020. Available online: https://www.worksafe.vic.gov.au/early-intervention-physiotherapy-framework-eipf (accessed on 1 January 2023).
- Gosling, C.; Keating, J.; Iles, R.; Morgan, P.; Hopmans, R. Strategies to Enable Physiotherapists to Promote Timely Return to Work Following Injury. 2015. Available online: https://research.monash.edu/en/publications/strategies-to-enable-physiotherapists-to-promote-timely-return-to (accessed on 1 January 2023).
- Awang, H.; Mansor, N. Predicting Employment Status of Injured Workers Following a Case Management Intervention. Saf. Health Work 2017, 9, 347–351. [Google Scholar] [CrossRef] [PubMed]
- Choi, K.; Maas, E.T.; Koehoorn, M.; McLeod, C. Time to return to work following workplace violence among direct healthcare and social workers. Occup. Environ. Med. 2020, 77, 160–167. [Google Scholar] [CrossRef] [PubMed]
- Collins, G.S.; Reitsma, J.B.; Altman, D.G.; Moons, K.G. Transparent reporting of a multivariable prediction model for individual prognosis or diagnosis (TRIPOD): The TRIPOD Statement. BMC Med. 2015, 13, 1. [Google Scholar] [CrossRef] [PubMed]
- Khorshidi, H.A.; Hassani-Mahmooei, B.; Haffari, G. An Interpretable Algorithm on Post-injury Health Service Utilization Patterns to Predict Injury Outcomes. J. Occup. Rehabil. 2020, 30, 331–342. [Google Scholar] [CrossRef] [PubMed]
- Prang, K.H.; Hassani-Mahmooei, B.; Collie, A. Compensation Research Database: Population-based injury data for surveillance, linkage and mining. BMC Res. Notes 2016, 9, 456. [Google Scholar] [CrossRef] [PubMed]
- Stel, V.S.; Dekker, F.W.; Tripepi, G.; Zoccali, C.; Jager, K.J. Survival Analysis I: The Kaplan-Meier Method. Nephron Clin. Pract. 2011, 119, c83–c88. [Google Scholar] [CrossRef] [PubMed]
- Martinez, M.C.; Fischer, F.M. Work ability and job survival: Four-year follow-up. Int. J. Environ. Res. Public Health 2019, 16, 3143. [Google Scholar] [CrossRef] [PubMed]
- Noor, A.K.C.M.; Tai, E.L.M.; Kueh, Y.C.; Siti-Azrin, A.H.; Noordin, Z.; Shatriah, I. Survival time of visual gains after diabetic vitrectomy and its relationship with ischemic heart disease. Int. J. Environ. Res. Public Health 2020, 17, 310. [Google Scholar] [CrossRef] [PubMed]
- Damato, B.; Taktak, A. Chapter 2—Survival after Treatment of Intraocular Melanoma. In Outcome Prediction in Cancer; Taktak, A.F.G., Fisher, A.C., Eds.; Elsevier: Amsterdam, The Netherlands, 2007; pp. 27–41. [Google Scholar]
- Khorshidi, H.A.; Marembo, M.; Aickelin, U. Predictors of Return to Work for Occupational Rehabilitation Users in Work-Related Injury Insurance Claims: Insights from Mental Health. J. Occup. Rehabil. 2019, 29, 740–753. [Google Scholar] [CrossRef] [PubMed]

| Title and Abstract | ||
| 1 | Title | Our paper includes a title which reflects the aim of the study |
| 2 | Abstract | Our paper includes an abstract which provides a summary of background, objectives, study design, participants, predictors, outcomes, statistical analysis, results and conclusions. |
| Introduction | ||
| 3 | Background and objectives | Our paper specifies the objectives, explains the background of the study and refers to existing studies. |
| Methods | ||
| 4 | Source of data | Our paper describes the source of data and specifies the selection criteria. |
| 5 | Participants | Our paper specifies who participated in the study. |
| 6 | Outcome | Our paper defines the outcomes clearly. |
| 7 | Predictors | Our paper clearly explains all predictors used in analyses. |
| 8 | Sample size | Our paper mentions the sample size for both intervention and control groups. |
| 9 | Missing data | There were no missing data. |
| 10 | Statistical analysis methods | Our paper describes all the statistical analysis methods used in the study. |
| 11 | Risk groups | We did not have any risk group in our study. |
| 12 | Development vs validation | Our paper compares the distribution of categories in intervention and control groups. |
| Results | ||
| 13 | Participants | Our paper includes descriptive statistics about participants. |
| 14 | Model development | Our paper compares two groups using descriptive statistics, survival analysis and regression models. |
| 15 | Model specification | Our paper reports all parameters associated with the statistical analysis methods. |
| 16 | Model performance | Our paper presents the results of statistical tests for comparison. |
| 17 | Model updating | Our paper explains how we adjusted for the impact of other predictors on the comparison. |
| Discussion | ||
| 18 | Limitations | Our paper lists limitations and refers to potential future work to address these. |
| 19 | Interpretation | Our paper discusses the results and interprets the outcomes considering the research questions and goals. |
| 20 | Implications | Our paper discusses how the results provide insights on the performance of an early intervention program. |
| Other information | ||
| 21 | Supplementary Information | Our paper provides information about ethics. |
| 22 | Funding | Our paper acknowledges the source of funding for the study. |
| Claimant Characteristics | EP | RP | ||
|---|---|---|---|---|
| Number | Percentage | Number | Percentage | |
| Gender | ||||
| Male | 4909 | 66.67% | 2563 | 64.11% |
| Female | 2454 | 33.33% | 1435 | 35.89% |
| Age groups | ||||
| 15–24 | 552 | 7.50% | 298 | 7.45% |
| 25–34 | 1269 | 17.23% | 698 | 17.46% |
| 35–44 | 1610 | 21.87% | 803 | 20.09% |
| 45–54 | 2120 | 28.79% | 1104 | 27.61% |
| 55–64 | 1622 | 22.03% | 952 | 23.81% |
| Others | 190 | 2.58% | 143 | 3.58% |
| Injury type | ||||
| Fractures | 1090 | 14.80% | 594 | 14.86% |
| Joints | 1887 | 25.63% | 1062 | 26.56% |
| Mental | 35 | 0.48% | 16 | 0.40% |
| Musculoskeletal | 3442 | 46.75% | 1902 | 47.57% |
| Wounds | 606 | 8.23% | 241 | 6.03% |
| Other injuries | 142 | 1.93% | 98 | 2.45% |
| Other diseases | 161 | 2.19% | 85 | 2.13% |
| Occupation groups | ||||
| Managers | 224 | 3.04% | 161 | 4.03% |
| Professionals | 659 | 8.95% | 432 | 10.81% |
| Associate professionals | 604 | 8.20% | 387 | 9.68% |
| Tradespersons | 1403 | 19.05% | 694 | 17.36% |
| Advanced clerical and Service workers | 84 | 1.14% | 68 | 1.70% |
| Intermediate clerical, sales, and Service workers | 817 | 11.10% | 479 | 11.98% |
| Intermediate production and transport workers | 1677 | 22.78% | 741 | 18.53% |
| Elementary clerical, sales, and Service workers | 288 | 3.91% | 179 | 4.48% |
| Laborers | 1607 | 21.83% | 857 | 21.44% |
| Measures | EP | RP | ||
|---|---|---|---|---|
| Mean | 95% CI | Mean | 95% CI | |
| Number of claims treated per physiotherapist | 10.2 * | [9.6, 10.8] | 4.6 | [4.3, 4.9] |
| Physiotherapy services per claim | 29.6 | [28.9, 30.4] | 28.5 | [24.4, 29.6] |
| Measures | EP | RP | Difference (EP-RP) | p-Value * | ||
|---|---|---|---|---|---|---|
| Mean | 95% CI | Mean | 95% CI | |||
| Days from date of Injury to RTW | 267.7 | [259.3, 276.2] | 289.1 | [277.0, 301.2] | −25.4 | <0.01 |
| RTW Status/Proportion | EP | RP |
|---|---|---|
| Three years | ||
| RTW | 70.4% | 68.8% |
| RTW—full-time | 55.8% | 56.0% |
| RTW—part-time | 14.6% | 12.7% |
| No RTW | 29.6% | 31.2% |
| Six months | ||
| RTW | 37.5% | 34.2% |
| RTW—full-time | 30.9% | 29.2% |
| RTW—part-time | 6.7% | 5.0% |
| No RTW | 62.5% | 65.8% |
| Time Period (Months) | RTW Percentage | Log-Rank Test | ||
|---|---|---|---|---|
| EP | RP | Chi-Square Stat | p-Value | |
| 3 | 23.90% | 22.23% | 0.25 | 0.62 |
| 6 | 53.31% | 49.72% | 0.22 | 0.64 |
| 12 | 78.53% | 75.30% | 2.83 | 0.09 |
| 24 | 93.69% | 92.54% | 6.94 | <0.001 |
| 36 | 96.93% | 96.51% | 12.11 | <0.001 |
| Univariate | Multivariate | |||
|---|---|---|---|---|
| Coefficient | Variable p-Value | Coefficient | Model p-Value | |
| Physiotherapy group | <0.0001 | |||
| RP | Ref | <0.01 | Ref | |
| EP | −21.38 | −21.57 | ||
| Gender | ||||
| Male | Ref | n.s. | - | |
| Female | 4.77 | - | ||
| Age groups | ||||
| 15–24 | Ref | <0.0001 | Ref | |
| 25–34 | 26.39 | 14.60 | ||
| 35–44 | 87.84 | 68.55 | ||
| 45–54 | 93.62 | 78.58 | ||
| 55–64 | 59.63 | 49.33 | ||
| Others | 9.33 | 0.77 | ||
| Injury type | ||||
| Fractures | Ref | <0.0001 | Ref | |
| Joints | 53.34 | 51.80 | ||
| Musculoskeletal | 179.22 | 159.78 | ||
| Mental | 97.92 | 94.63 | ||
| Other Diseases | −22.47 | −16.13 | ||
| Other Injuries | 61.83 | 62.05 | ||
| Wounds | 144.06 | 130.42 | ||
| Occupation | ||||
| Managers | Ref | n.s. | - | |
| Professionals | 303.68 | - | ||
| Associate professionals | −35.51 | - | ||
| Tradespersons | −31.52 | - | ||
| Advanced clerical and service workers | −29.55 | - | ||
| Intermediate clerical, sales, and service workers | 1.37 | - | ||
| Intermediate production and transport workers | −43.97 | - | ||
| Elementary clerical, sales, and service workers | −36.85 | - | ||
| Laborers | −8.73 | - | ||
Disclaimer/Publisher’s Note: The statements, opinions and data contained in all publications are solely those of the individual author(s) and contributor(s) and not of MDPI and/or the editor(s). MDPI and/or the editor(s) disclaim responsibility for any injury to people or property resulting from any ideas, methods, instructions or products referred to in the content. |
© 2023 by the authors. Licensee MDPI, Basel, Switzerland. This article is an open access article distributed under the terms and conditions of the Creative Commons Attribution (CC BY) license (https://creativecommons.org/licenses/by/4.0/).
Share and Cite
Akbarzadeh Khorshidi, H.; Aickelin, U.; de Silva, A. Evaluation of the Early Intervention Physiotherapist Framework for Injured Workers in Victoria, Australia: Data Analysis Follow-Up. Healthcare 2023, 11, 2205. https://doi.org/10.3390/healthcare11152205
Akbarzadeh Khorshidi H, Aickelin U, de Silva A. Evaluation of the Early Intervention Physiotherapist Framework for Injured Workers in Victoria, Australia: Data Analysis Follow-Up. Healthcare. 2023; 11(15):2205. https://doi.org/10.3390/healthcare11152205
Chicago/Turabian StyleAkbarzadeh Khorshidi, Hadi, Uwe Aickelin, and Andrea de Silva. 2023. "Evaluation of the Early Intervention Physiotherapist Framework for Injured Workers in Victoria, Australia: Data Analysis Follow-Up" Healthcare 11, no. 15: 2205. https://doi.org/10.3390/healthcare11152205
APA StyleAkbarzadeh Khorshidi, H., Aickelin, U., & de Silva, A. (2023). Evaluation of the Early Intervention Physiotherapist Framework for Injured Workers in Victoria, Australia: Data Analysis Follow-Up. Healthcare, 11(15), 2205. https://doi.org/10.3390/healthcare11152205

