A Unifying Framework for Perturbative Exponential Factorizations
Abstract
1. Introduction
2. A Sequence of Transformations: The General Case
3. Wilcox Expansion
3.1. Recurrences
3.2. Explicit Expressions for
3.3. Convergence of Wilcox Expansion
4. Fer–Like Expansions
4.1. Standard Fer Expansion
4.2. Intermediate Fer-Like Expansions
5. Applications
5.1. Wilcox Expansion as the Continuous Analogue of Zassenhaus Formula
5.2. Expanding the Exponential
5.3. Illustrative Examples
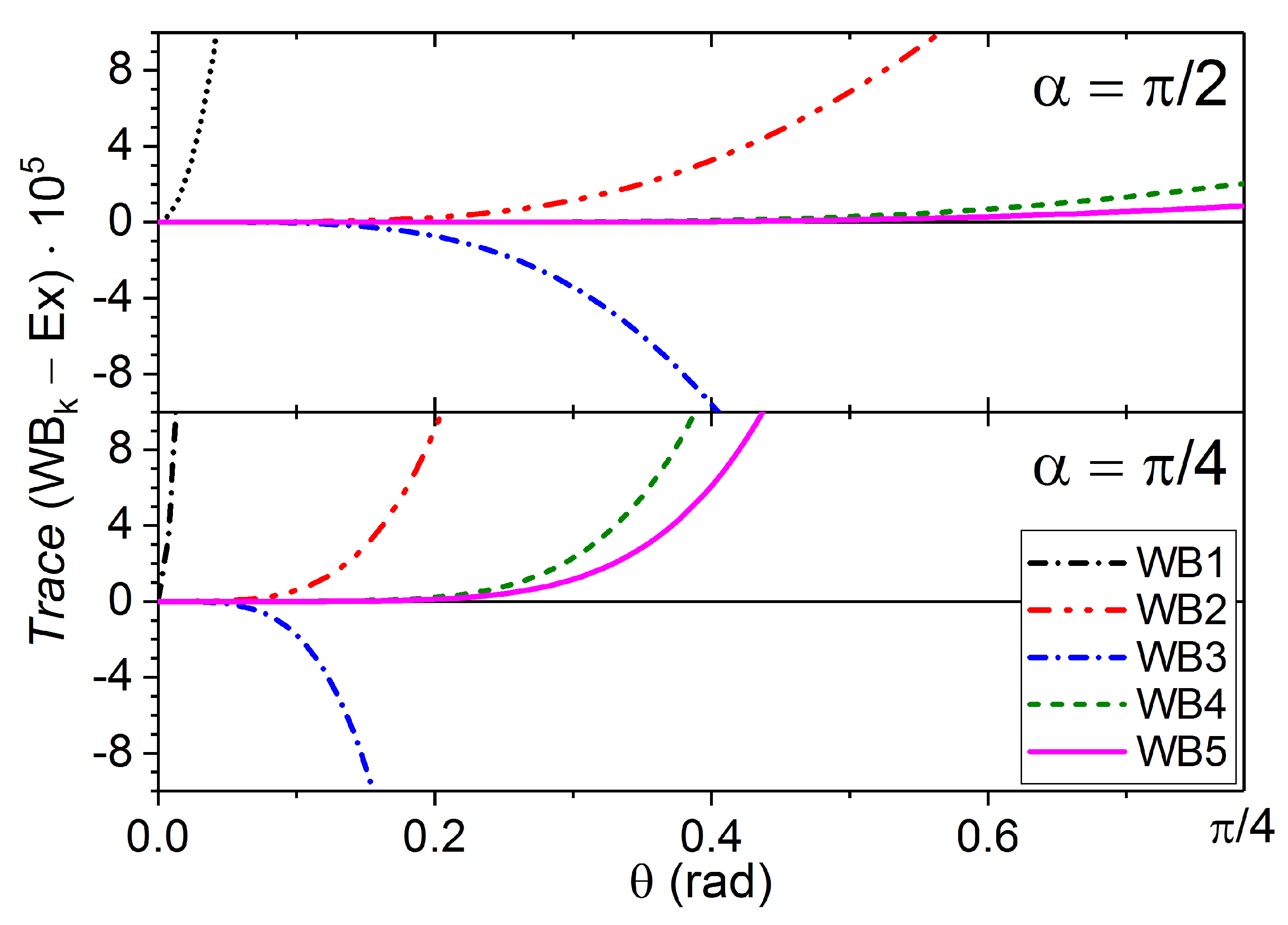
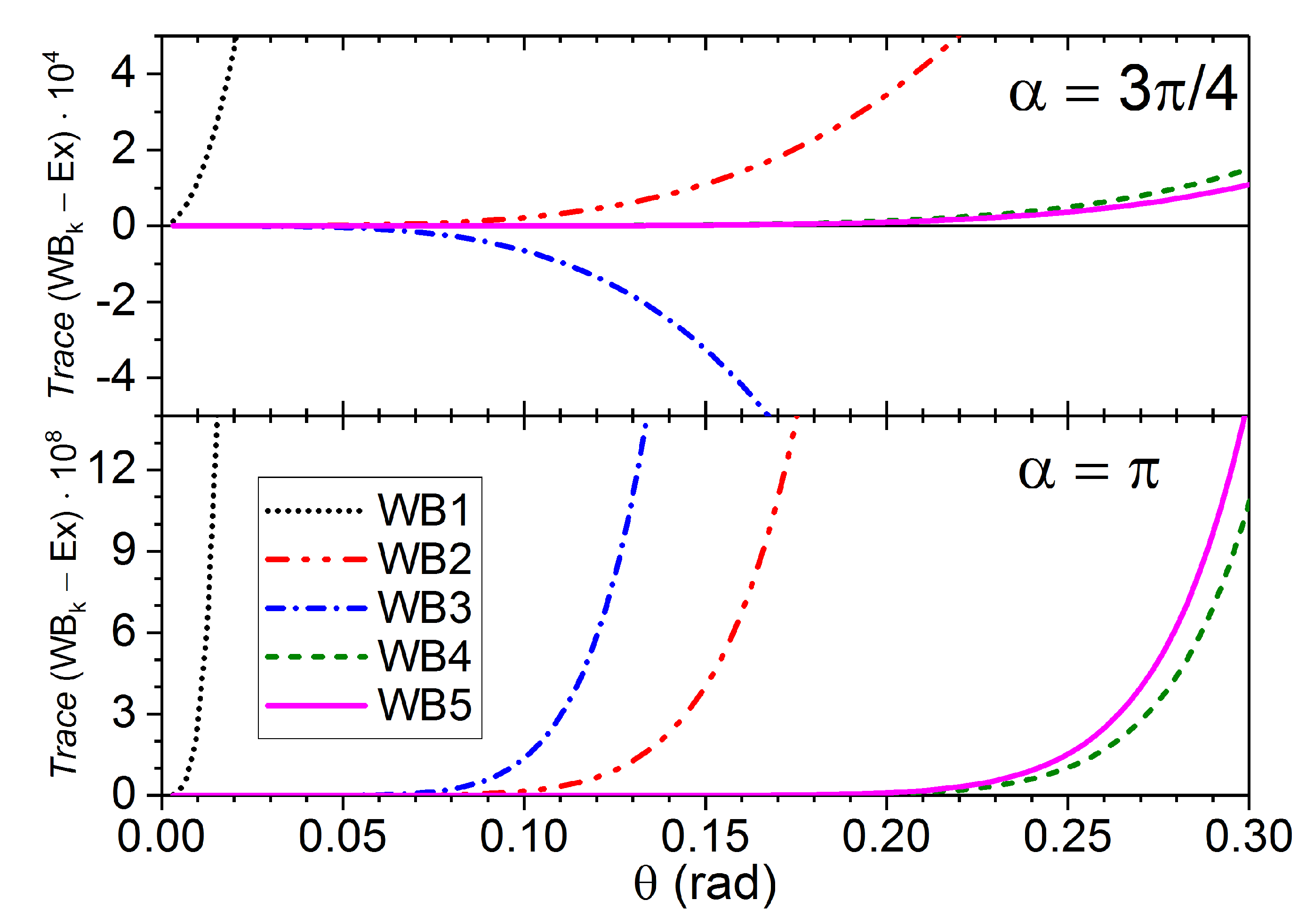
5.3.1. Matrices X and Y in
5.3.2. Matrices X and Y in
6. Conclusions
Author Contributions
Funding
Institutional Review Board Statement
Informed Consent Statement
Data Availability Statement
Conflicts of Interest
References
- Wilcox, R. Exponential operators and parameter differentiation in quantum physics. J. Math. Phys. 1967, 8, 962–982. [Google Scholar] [CrossRef]
- Oteo, J.; Ros, J. From time-ordered products to Magnus expansion. J. Math. Phys. 2000, 41, 3268–3277. [Google Scholar] [CrossRef]
- Hale, J. Ordinary Differential Equations; Krieger Publishing Company: Malabar, FL, USA, 1980. [Google Scholar]
- Maricq, M.M. Application of average Hamiltonian theory to the NMR of solids. Phys. Rev. B 1982, 25, 6622–6632. [Google Scholar] [CrossRef]
- Casas, F.; Oteo, J.A.; Ros, J. Floquet theory: Exponential perturbative treatment. J. Phys. A Math. Gen. 2001, 34, 3379–3388. [Google Scholar] [CrossRef]
- Mananga, E.; Charpentier, T. On the Floquet–Magnus expansion: Applications in solid-state nuclear magnetic resonance and physics. Phys. Rep. 2016, 609, 1–50. [Google Scholar] [CrossRef]
- Magnus, W. On the Exponential Solution of Differential Equations for a Linear Operator. Comm. Pure Appl. Math. 1954, VII, 649–673. [Google Scholar] [CrossRef]
- Blanes, S.; Casas, F.; Oteo, J.; Ros, J. The Magnus expansion and some of its applications. Phys. Rep. 2009, 470, 151–238. [Google Scholar] [CrossRef]
- Casas, F.; Chartier, P.; Murua, A. Continuous changes of variables and the Magnus expansion. J. Phys. Commun. 2019, 3, 095014. [Google Scholar] [CrossRef]
- Blanes, S.; Casas, F.; Oteo, J.; Ros, J. Magnus and Fer expansions for matrix differential equations: The convergence problem. J. Phys. A Math. Gen. 1998, 22, 259–268. [Google Scholar] [CrossRef]
- Fer, F. Résolution de l’equation matricielle U˙= pU par produit infini d’exponentielles matricielles. Bull. Classe Sci. Acad. R. Bel. 1958, 44, 818–829. [Google Scholar]
- Bellman, R. Introduction to Matrix Analysis, 2nd ed.; McGraw-Hill: New York, NY, USA, 1970. [Google Scholar]
- Iserles, A. Solving Linear Ordinary Differential Equations by Exponentials of Iterated Commutators. Numer. Math. 1984, 45, 183–199. [Google Scholar] [CrossRef]
- Klarsfeld, S.; Oteo, J. Exponential infinite-product representations of the time displacement operator. J. Phys. A Math. Gen. 1989, 22, 2687–2694. [Google Scholar] [CrossRef]
- Mananga, E. On the Fer expansion: Applications in solid-state nuclear magnetic resonance and physics. Phys. Rep. 2016, 608, 1–41. [Google Scholar] [CrossRef]
- Casas, F. Fer’s Factorization as a Symplectic Integrator. Numer. Math. 1996, 74, 283–303. [Google Scholar] [CrossRef]
- Zanna, A. Collocation and Relaxed Collocation for the Fer and the Magnus Expansions. SIAM J. Numer. Anal. 1999, 36, 1145–1182. [Google Scholar] [CrossRef][Green Version]
- Iserles, A.; Munthe-Kaas, H.; Nørsett, S.; Zanna, A. Lie-Group Methods. Acta Numer. 2000, 9, 215–365. [Google Scholar] [CrossRef]
- Huillet, T.; Monin, A.; Salut, G. Lie algebraic canonical representation in nonlinear control systems. Math. Syst. Theory 1987, 20, 193–213. [Google Scholar] [CrossRef]
- Zagury, N.; Aragão, A.; Casanova, J.; Solano, E. Unitary expansion of the time evolution operator. Phys. Rev. A 2010, 82, 042110. [Google Scholar] [CrossRef]
- Casas, F.; Murua, A.; Nadinic, M. Efficient computation of the Zassenhaus formula. Comput. Phys. Commun. 2012, 183, 2386–2391. [Google Scholar] [CrossRef]
- Galindo, A.; Pascual, P. Quantum Mechanics; Springer: Berlin/Heidelberg, Germany, 1990. [Google Scholar]
- Arnal, A.; Casas, F.; Chiralt, C. A general formula for the Magnus expansion in terms of iterated integrals of right-nested commutators. J. Phys. Commun. 2018, 2, 035024. [Google Scholar] [CrossRef]
- Dragt, A.; Forest, E. Computation of nonlinear behavior of Hamiltonian systems using Lie algebraic methods. J. Math. Phys. 1983, 24, 2734–2744. [Google Scholar] [CrossRef]
- Agrachev, A.; Gamkrelidze, R. The shuffle product and symmetric groups. In Differential Equations, Dynamical Systems, and Control Science; Elworthy, K., Everitt, W., Lee, E., Eds.; Marcel Dekker: New York, NY, USA, 1994; pp. 365–382. [Google Scholar]
- Hazewinkel, M.; Gubareni, N.; Kirichenko, V. Algebras, Rings and Modules. Lie Algebras and Hopf Algebras; AMS: Providence, RI, USA, 2010. [Google Scholar]
- Malvenuto, C.; Reutenauer, C. Duality between quasi-symmetric functions and the Solomon descent algebra. J. Algebra 1995, 177, 967–982. [Google Scholar] [CrossRef]
- Strichartz, R.S. The Campbell–Baker–Hausdorff–Dynkin Formula and Solutions of Differential Equations. J. Funct. Anal. 1987, 72, 320–345. [Google Scholar] [CrossRef]
- Geometric Integration Research Group. 2021. Available online: http://www.gicas.uji.es/Research/Wilcox.html (accessed on 18 February 2021).
- Bayen, F. On the convergence of the Zassenhaus formula. Lett. Math. Phys. 1979, 3, 161–167. [Google Scholar] [CrossRef]
- Arnal, A.; Casas, F.; Chiralt, C. On the structure and convergence of the symmetric Zassenhaus formula. Comput. Phys. Commun. 2017, 217, 58–65. [Google Scholar] [CrossRef]
- Moan, P.; Oteo, J. Convergence of the exponential Lie series. J. Math. Phys. 2001, 42, 501–508. [Google Scholar] [CrossRef]
- Casas, F.; Murua, A. An efficient algorithm for computing the Baker–Campbell–Hausdorff series and some of its applications. J. Math. Phys. 2009, 50, 033513. [Google Scholar] [CrossRef]
- Suzuki, M. On the convergence of exponential operators—The Zassenhaus formula, BCH formula and systematic approximants. Commun. Math. Phys. 1977, 57, 193–200. [Google Scholar] [CrossRef]
- Weyrauch, M.; Scholz, D. Computing the Baker–Campbell–Hausdorff series and the Zassenhaus product. Comput. Phys. Commun. 2009, 180, 1558–1565. [Google Scholar] [CrossRef]
- Bellman, R. Perturbation Techniques in Mathematics, Engineering & Physics; Dover Publications: Mineola, NY, USA, 1972. [Google Scholar]
- Arnal, A.; Casas, F.; Chiralt, C. Exponential perturbative expansions and coordinate transformations. Math. Comput. Appl. 2020, 25, 50. [Google Scholar] [CrossRef]





| k | |
|---|---|
| 1 | |
| 2 | |
| 3 | |
| 4 | |
| 5 | |
Publisher’s Note: MDPI stays neutral with regard to jurisdictional claims in published maps and institutional affiliations. |
© 2021 by the authors. Licensee MDPI, Basel, Switzerland. This article is an open access article distributed under the terms and conditions of the Creative Commons Attribution (CC BY) license (http://creativecommons.org/licenses/by/4.0/).
Share and Cite
Arnal, A.; Casas, F.; Chiralt, C.; Oteo, J.A. A Unifying Framework for Perturbative Exponential Factorizations. Mathematics 2021, 9, 637. https://doi.org/10.3390/math9060637
Arnal A, Casas F, Chiralt C, Oteo JA. A Unifying Framework for Perturbative Exponential Factorizations. Mathematics. 2021; 9(6):637. https://doi.org/10.3390/math9060637
Chicago/Turabian StyleArnal, Ana, Fernando Casas, Cristina Chiralt, and José Angel Oteo. 2021. "A Unifying Framework for Perturbative Exponential Factorizations" Mathematics 9, no. 6: 637. https://doi.org/10.3390/math9060637
APA StyleArnal, A., Casas, F., Chiralt, C., & Oteo, J. A. (2021). A Unifying Framework for Perturbative Exponential Factorizations. Mathematics, 9(6), 637. https://doi.org/10.3390/math9060637

